Journal List > J Korean Assoc Oral Maxillofac Surg > v.51(6) > 1516094140

Park, Kim, Bae, Ryu, Moon, Choi, Song, Lee, Hwang, Kim, Shin, and Kim: A three-year retrospective study of pediatric and adolescent oral and maxillofacial trauma and infections at emergency department in a tertiary care medical hospital

Abstract

Objectives

Pediatric and adolescent oral and maxillofacial trauma and infections differ significantly from adults in anatomy, development, and immunity, making diagnosis and treatment challenging. This study retrospectively evaluated the etiology, clinical features, and management of oral and maxillofacial trauma and infections among patients aged 3 to 15 years.

Materials and Methods

A retrospective review was conducted of 824 pediatric and adolescent patients who presented to the emergency department of Pusan National University Yangsan Hospital from January 2022 to December 2024. Patients were categorized based on chief complaints into trauma, infection, or other conditions. Primary analyses focused on trauma and infections, and secondary analyses included etiology, diagnosis, treatment, and outcomes.

Results

Trauma accounted for 742 cases (90.0%) and infections for 44 cases (5.3%). Boys (65.7%) outnumbered girls (34.3%), and school-aged children (6-11 years) were most frequently affected (56.5%). Lacerations (49.2%) and abrasions (34.1%) were the most common traumas, followed by dental trauma (31.0%) and facial fractures (5.0%). Among fractures, the mandibular condyle (35.1%) was most commonly involved. Most fractures were managed non-surgically (54.0%), while 30.0% required surgery. Infections were mainly odontogenic abscesses (44.7%), cellulitis (36.4%), and sialadenitis (15.9%). Abscesses were treated with incision and drainage (57.1%) or antibiotics (19.1%), with 23.8% requiring hospitalization.

Conclusion

Trauma was the most frequent emergency cause in pediatric and adolescent patients, particularly among school-aged boys. Most cases were successfully managed with appropriate treatment. Early diagnosis and timely intervention are essential for favorable outcomes in pediatric maxillofacial emergencies.

I. Introduction

Oral and maxillofacial trauma and infections in children and adolescents differ markedly from adults in etiology, clinical features, and management. Pediatric facial trauma often shows unique patterns due to soft tissue elasticity and the presence of maxillofacial growth plates. Jawbones are still developing with ongoing tooth eruption, requiring special caution in emergency care. Consequently, children display different responses and recovery patterns after trauma, and recovery of injury courses vary with immune system maturity1.
Remarkably, school-aged boys show higher injury incidence owing to increased physical activity. Odontogenic infections, such as pulpitis or abscesses, are common during the primary and mixed dentition periods2-7. These infections, often caused by dental caries, are recognized as frequent dental emergencies worldwide. Nevertheless, retrospective clinical studies of pediatric maxillofacial trauma and infections remain limited. Especially, long-term emergency-based studies are still insufficient.
This study retrospectively analyzed cases of oral and maxillofacial trauma and infections among pediatric and adolescent patients who visited the emergency department of a tertiary medical institution located in southeastern Korea between 2022 and 2024 during COVID-19 pandemic period for study of epidemiology features. This study was approved by the Institutional Review Board (IRB) of the Pusan National University Dental Hospital (IRB No. PNUDH 2025-08-003).

II. Materials and Methods

1. Patients and methods

This study was a retrospective review of medical records from a single tertiary university hospital, focusing on pediatric and adolescent patients with oral and maxillofacial trauma or infections. The study included 824 pediatric and adolescent patients aged 3 to 15 years who visited the emergency center of Pusan National University Yangsan Hospital between January 1, 2022, and December 31, 2024.

2. Patient selection and data collection

Based on patients’ chief complaints, the reasons for emergency department visits were classified into three categories: trauma, infection, and others. Treatment methods were categorized as either conservative or surgical. Outpatient management and hospitalization status were also assessed. Descriptive statistics were primarily used for data analysis, and findings were compared with those of previously reported studies when applicable.

III. Results

1. Epidemiological characteristics

Among the total, trauma was observed in 742 patients (90.0%), infection in 44 patients (5.3%), and other causes in 38 patients (4.7%). Variables analyzed included age and sex distribution, specific types and causes of trauma and infection, diagnoses, treatment methods, clinical course, and prognosis.
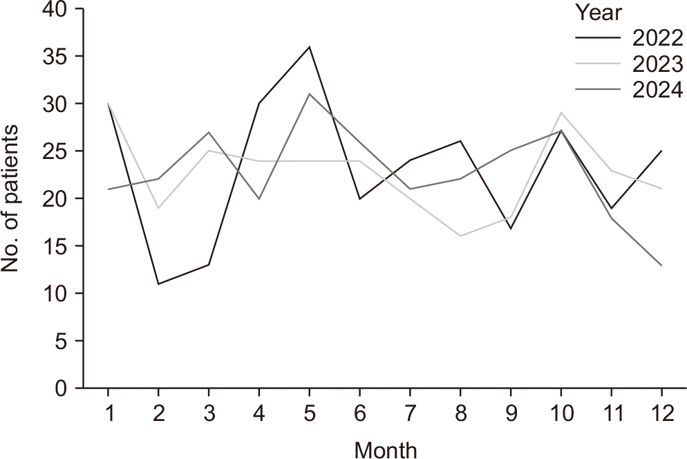
The number of patients by year was 278 (33.7%) in 2022, 273 (33.1%) in 2023, and 273 (33.1%) in 2024, showing no significant annual variation in visit frequency.(Fig. 1) Monthly distribution of visits showed a slight increase in May and October. February had the fewest visits.(Fig. 2) It showed a reproducible seasonal profile: volumes were lowest in February, increased through spring to a modest peak in May, plateaued or dipped slightly during midsummer (July-August), rose again with a second peak around October, and then tapered toward year-end; the amplitude of these fluctuations was modest and consistent across years, with no overarching upward or downward trend. These seasonal fluctuations may be explained by age-specific activity patterns. The lowest incidence in February likely reflects reduced outdoor activity during the winter vacation period, whereas the peaks in May and October correspond to increased school-related physical activities and favorable weather conditions that promote outdoor play. In contrast, the relative decline during midsummer may be associated with high temperatures limiting outdoor exposure, while the year-end decrease reflects reduced activity during the colder season.
Of the total 824 patients, 541 (65.7%) were male and 283 (34.3%) were female, with a male-to-female ratio of 1.93:1, indicating approximately twice the incidence in boys. In both trauma and infection groups, school-aged children (6-11 years) accounted for the largest proportion with 444 patients (56.5%), followed by preschool-aged children (3-5 years) with 200 patients (25.4%), and adolescents (12-15 years) with 142 patients (18.1%).
When examining the proportions of trauma and infection by age group, preschool children (age 3-5) presented with 198 cases of trauma (99.0%) and 2 cases of infection (1.0%) out of a total of 200. In the school-age group (age 6-11), trauma accounted for 417 cases (94.1%) and infection for 27 cases (5.9%) among 444 visits. Among adolescents (age 12-15), 128 cases (90.1%) were trauma and 14 cases (9.9%) were infection out of 142 total visits.

2. Trauma types and treatment

This trend may be attributed to the increasing prevalence of dental caries, pulpitis, and periodontal diseases as oral hygiene practices become more critical with age, together with the greater capacity of older children to perceive and report symptoms, thereby resulting in a higher proportion of infection-related emergency visits in adolescents compared with younger children.(Fig. 3)
Among the 742 patients with trauma, the majority sustained soft tissue injuries and dental trauma. Specifically, lacerations were the most common type, observed in 365 patients (49.2%), followed by abrasions in 253 patients (34.1%) and dental trauma in 230 patients (31.0%). Maxillofacial fractures were identified in 37 patients, accounting for approximately 5.0% of all trauma-related visits.(Table 1) In cases where multiple types of traumas occurred simultaneously, each type of trauma was classified and counted separately.
The main causes of trauma included falls or slips during daily activities; collisions arising from person-to-person contact, impacts with fixed structures, or unintentional strikes from moving objects; sports-related injuries; and traffic accidents (TA). When further subdivided by cause, collision accounted for the highest proportion of lacerations and abrasions, whereas the primary cause of fractures was slip down. However, the relatively higher proportions of sports trauma and TA suggest that outdoor activities play an important role in the occurrence of fractures.(Table 2)
Most soft tissue injury cases, such as lacerations and abrasions, were managed with local treatment including bleeding control and primary closure or wound care in the emergency department, followed by discharge. Dental trauma was treated with procedures such as teeth repositioning and splinting.
Among the 37 patients with facial bone fractures, mandibular condyle fractures were the most frequent (13 patients, 35.1%), followed by alveolar bone fractures (10 patients, 27.0%). Mandibular symphysis and mandibular angle fractures were each observed in 9 patients (24.3%). In cases of complex fractures, each fracture site was classified and analyzed separately, and appropriate treatment was provided for each site.(Fig. 4)
Regarding treatment methods for fracture patients, conservative management was most common, performed in 20 patients (54.0%) with minimal displacement, including jaw stabilization with elastic bandage and a soft diet. Maxillomandibular fixation was applied in 6 patients (16.0%) to stabilize occlusion and teeth. Open reduction and internal fixation using miniplates was performed in 11 patients (30.0%).(Table 3) In summary, most fractures were treated non-surgically, while approximately 30.0% required surgical intervention due to significant displacement or occlusal disturbance.

3. Infection types and management

Of the total 824 patients, 44 (5.3%) visited the emergency department due to oral and maxillofacial infections. Most infections were odontogenic in origin. Based on clinical presentation, the most common type was odontogenic abscess, observed in 21 patients (47.7%), followed by cellulitis in 16 patients (36.4%) and sialadenitis in 7 patients (15.9%).
Regarding the anatomical sites of infection, vestibular space involvement in the maxilla or mandible was most frequently observed in odontogenic abscess cases (9 patients, 42.8%), followed by the canine space in the maxilla (5 patients, 23.8%), sublingual space and buccal space (2 patients each, 9.5%). The masseteric, submandibular, and submental spaces were involved in 1 patient each (4.8%).(Table 4) Cellulitis typically presented as diffuse spread into the facial subcutaneous tissues, originating from maxillary or mandibular posterior teeth. Sialadenitis cases involved inflammation of the parotid or submandibular glands. This finding indicates that infections in children rarely extend into deep anatomical spaces.
Among the 21 patients diagnosed with abscesses, more than half underwent incision and drainage, often accompanied by tooth extraction. Specifically, 12 patients (57.1%) treated as incision and drainage under local anesthesia, while 4 patients (19.1%) showed improvement with antibiotic therapy alone due to relatively mild infection. The remaining 5 patients (23.8%) required hospitalization for continued care, including incision and drainage procedures along with intravenous antibiotic administration over several days.

IV. Discussion

This study confirmed that trauma remains the predominant reason for pediatric and adolescent visits to the emergency department for oral and maxillofacial complaints. The predominance of trauma over infection aligns with findings from previous literature and reflects the broader epidemiological trend in pediatric emergency populations. Sex distribution also followed the established global pattern, with boys being more frequently affected than girls, a disparity largely explained by higher activity levels and greater exposure to risk-related behaviors8-10. Several previous studies, regardless of region, report that pediatric facial trauma predominantly occurs in males and is mainly caused by falls, and this trend was also observed in the present study2-7. Considering that school-age boys are particularly at risk due to active physical activity, preventive measures such as wearing facial protective gear and safety education in this age group are important.
Regarding the detailed patterns of trauma, soft tissue injuries (lacerations and abrasions) were the most frequent presentation, followed by dental trauma, while maxillofacial fractures were relatively rare. The low incidence of maxillofacial fractures compared to adults is consistent with previous reports attributing this to the greater elasticity of maxillofacial bones and thicker alveolar bone in children. Notably, overseas studies have reported that 30%-40% of pediatric facial trauma cases (including both soft and hard tissue injuries) involve maxillofacial fractures, whereas the proportion in our study’s trauma cases was significantly lower11.
The study by Muñante-Cárdenas et al.2 demonstrated that soft tissue lacerations and dental injuries are the most common presentations in pediatric facial trauma, whereas fractures are relatively limited. When fractures do occur, the mandible—particularly the condylar region—tends to be the most vulnerable site. This trend was also confirmed in our study, where mandibular fractures, especially condylar fractures, predominated among the fracture cases. Most pediatric fractures were managed conservatively; however, surgical intervention was required in a subset of patients, which is consistent with the findings of Muñante-Cárdenas et al.2. This indicates that while most pediatric facial fractures are non-displaced and can be managed conservatively, surgical intervention is required in cases with malocclusion or deformity. Furthermore, midfacial fractures were rare in this study, which agrees with previous reports stating that pediatric facial fractures during the growth period are concentrated in the mandible12.
In terms of oral and maxillofacial infections, only a small proportion of patients presented with oral and maxillofacial infections, indicating that severe infections in children remain relatively uncommon. This may be due to the rarity of severe maxillofacial infections in children and the fact that mild dental infections are often managed at local dental clinics or treated with minor procedures during emergency visits. The majority of infection cases in this study were odontogenic abscesses, consistent with studies by Al-Malik and Al-Sarheed13 on pediatric odontogenic infections. According to a 17-year retrospective study by Rasteniene et al.14, nearly all pediatric maxillofacial infections are odontogenic in origin, and deep multi-space infections are very rare. Similarly, no serious complications such as upper airway obstruction were observed in our study, and all patients recovered without sequelae following appropriate treatment.
In cases of pediatric odontogenic abscesses, incision and drainage under local anesthesia emerged as the most common treatment approach, reflecting the general principle that drainage is the primary management strategy. Antibiotics were used adjunctively, and conservative antibiotic therapy alone was effective, mostly in cases of early localized infection or mild infiltration. Recent reviews on pediatric dental infection management emphasize avoiding unnecessary antibiotic use and highlight the importance of appropriate drainage and treatment of the causative tooth.
Hospitalization was required in some patients for intensive management, particularly in cases of rapidly progressing infection or when there was extensive spread into soft tissue spaces. In these situations, inpatient incision, drainage, and intravenous antibiotics were necessary. All patients ultimately recovered without complications, a result attributed to timely drainage, appropriate antibiotic administration, and specialized oral and maxillofacial surgical care. A recent scoping review by Welti et al.15 emphasized antibiotic use as a key component in the management of odontogenic facial swelling in pediatric practice. In our study, all infected patients received antibiotic therapy and most showed improvement without additional surgical intervention, supporting this recommendation.
This study, based on a relatively large cohort of pediatric and adolescent patients who presented to a single tertiary emergency department over three years in Korea, provides a comprehensive overview of oral and maxillofacial emergencies while highlighting that prompt and accurate diagnosis with effective management enabled complete recovery and complication prevention. A major strength of the present investigation is the simultaneous assessment of both trauma and infection, an approach that has been infrequently reported in the prior literature.
Nevertheless, several limitations should be acknowledged. First, the retrospective nature of the study may have introduced inherent selection and reporting biases. Second, as the data were obtained from a single institution, the findings may not fully represent the broader pediatric population. Third, the absence of long-term follow-up data precludes evaluation of treatment outcomes and potential sequelae. To enhance generalizability and clinical relevance of these findings, future research should incorporate multicenter prospective designs with standardized protocols and extended follow-up, while also developing updated age-specific emergency treatment protocols for pediatric and adolescent patients through multidisciplinary collaboration and prospective clinical studies to support systematic disease prevention and guideline development. In the future, regular preventive education on pediatric maxillofacial emergencies should be conducted at elementary schools and community health centers.
Future efforts should focus on developing age-specific standardized treatment protocols for pediatric emergency patients and strengthening cooperative referral systems between primary and secondary healthcare facilities. Moreover, multicenter collaborative research comparing regional differences and long-term outcomes is necessary to accumulate comprehensive epidemiological data on pediatric oral and maxillofacial trauma and infections.

V. Conclusion

This study retrospectively analyzed pediatric and adolescent patients with oral and maxillofacial trauma and infections who visited the emergency department of a single dental university hospital over the past three years, and reached the following conclusions:
First, among oral and maxillofacial problems in pediatric and adolescent emergency patients, trauma (including maxillofacial fractures, lacerations, and tooth injury) accounted for an overwhelming 90.0% of cases, with trauma occurring particularly frequently in school-aged boys (6-11 years old) who have higher activity levels.
Second, patients with maxillofacial fractures accounted for less than 5.0% of all trauma cases, making them relatively rare; however, when fractures did occur, they were mainly found in the mandible (condyle and alveolar bone). Approximately 30.0% of fracture cases required surgical treatment.
Third, maxillofacial infections accounted for about 5.0% of all emergency visits for oral and maxillofacial diseases, a lower frequency compared to trauma (90.0%) and were mostly limited to odontogenic abscesses. Deep multi-space infections were rare, and all patients recovered relatively well without complications through appropriate incision, drainage, and antibiotic therapy.

Notes

Authors’ Contributions

C.P. participated in the design of this study and contributed to the conception and writing of the manuscript. H.K., J.B., J.R., C.M., N.R.C., J.M.S., and J.Y.L. participated in the data collection, interpretation, and analysis. D.S.H. and Y.D.K. participated in the data analysis and revision of the manuscript. S.H.S. participated in the data interpretation and critical revision of the manuscript. U.K.K. participated in the original conception and design of this study and critically revised the manuscript. All authors read and approved the final manuscript.

Ethics Approval and Consent to Participate

This study was approved by the Institutional Review Board (IRB) of the Pusan National University Dental Hospital (IRB No. PNUDH 2025-08-003).

Conflict of Interest

No potential conflict of interest relevant to this article was reported.

Funding

No funding to declare.

References

1. Haug RH, Foss J. 2000; Maxillofacial injuries in the pediatric patient. Oral Surg Oral Med Oral Pathol Oral Radiol Endod. 90:126–34. https://doi.org/10.1067/moe.2000.107974. DOI: 10.1067/moe.2000.107974. PMID: 10936829.
2. Muñante-Cárdenas JL, Olate S, Asprino L, de Albergaria Barbosa JR, de Moraes M, Moreira RW. 2011; Pattern and treatment of facial trauma in pediatric and adolescent patients. J Craniofac Surg. 22:1251–5. https://doi.org/10.1097/scs.0b013e31821c696c. DOI: 10.1097/SCS.0b013e31821c696c. PMID: 21772206.
3. Bregagnolo LA, Bregagnolo JC, da Silveira F, Bérgamo AL, Santi LN, Watanabe MG. 2013; Oral and maxillofacial trauma in Brazilian children and adolescents. Braz Dent J. 24:397–401. https://doi.org/10.1590/0103-6440201302227. DOI: 10.1590/0103-6440201302227. PMID: 24173264.
4. Collao-González C, Carrasco-Labra A, Sung-Hsieh HH, Cortés-Araya J. 2014; Epidemiology of pediatric facial trauma in Chile: a retrospective study of 7,617 cases in 3 years. Med Oral Patol Oral Cir Bucal. 19:e99–105. https://doi.org/10.4317/medoral.19035. DOI: 10.4317/medoral.19035. PMID: 23986019. PMCID: PMC4015049.
5. Singaram M, Udhayakumar RK. G SV. 2016; Prevalence, pattern, etiology, and management of maxillofacial trauma in a developing country: a retrospective study. J Korean Assoc Oral Maxillofac Surg. 42:174–81. https://doi.org/10.5125/jkaoms.2016.42.4.174. DOI: 10.5125/jkaoms.2016.42.4.174. PMID: 27595083. PMCID: PMC5009190.
6. Hall E, Hickey P, Nguyen-Tran T, Louie J. 2016; Dental trauma in a pediatric emergency department referral center. Pediatr Emerg Care. 32:823–6. https://doi.org/10.1097/pec.0000000000000961. DOI: 10.1097/PEC.0000000000000961. PMID: 27898626.
7. Singhal R, Singh V, Bhagol A, Agrawal A, Kumar P. 2013; Pediatric maxillofacial injuries - if a new look is required? Int J Pediatr Otorhinolaryngol. 77:1333–6. https://doi.org/10.1016/j.ijporl.2013.05.028. DOI: 10.1016/j.ijporl.2013.05.028. PMID: 23800474.
8. Patidar D, Sogi S, Patidar DC, Malhotra A. 2021; Traumatic dental injuries in pediatric patients: a retrospective analysis. Int J Clin Pediatr Dent. 14:506–11. https://doi.org/10.5005/jp-journals-10005-2004. DOI: 10.5005/jp-journals-10005-2004. PMID: 34824505. PMCID: PMC8585915.
9. Almahdi HM, Higzi MA. 2016; Maxillofacial fractures among Sudanese children at Khartoum Dental Teaching Hospital. BMC Res Notes. 9:120. https://doi.org/10.1186/s13104-016-1934-5. DOI: 10.1186/s13104-016-1934-5. PMID: 26905310. PMCID: PMC4765085.
10. Khan MA, Ishfaq M, Akhtar M, Rana SAA, Kashif M. 2017; Frequency of paediatric facial trauma in a tertiary care dental hospital. Int Surg J. 5:310–4. https://doi.org/10.18203/2349-2902.isj20175917. DOI: 10.18203/2349-2902.isj20175917.
11. Mukhopadhyay S, Galui S, Biswas R, Saha S, Sarkar S. 2020; Oral and maxillofacial injuries in children: a retrospective study. J Korean Assoc Oral Maxillofac Surg. 46:183–90. https://doi.org/10.5125/jkaoms.2020.46.3.183. DOI: 10.5125/jkaoms.2020.46.3.183. PMID: 32606279. PMCID: PMC7338628.
12. Iida S, Matsuya T. 2002; Paediatric maxillofacial fractures: their aetiological characters and fracture patterns. J Craniomaxillofac Surg. 30:237–41. https://doi.org/10.1054/jcms.2002.0295. DOI: 10.1054/jcms.2002.0295. PMID: 12231205.
13. Al-Malik M, Al-Sarheed M. 2017; Pattern of management of oro-facial infection in children: a retrospective. Saudi J Biol Sci. 24:1375–9. https://doi.org/10.1016/j.sjbs.2016.03.004. DOI: 10.1016/j.sjbs.2016.03.004. PMID: 28855834. PMCID: PMC5562470.
14. Rasteniene R, Simenaite G, Brukiene V. 2023; Maxillofacial infections in lithuanian hospitalised children and adolescents: a 17-years retrospective study. Eur Arch Paediatr Dent. 24:603–11. https://doi.org/10.1007/s40368-023-00824-z. DOI: 10.1007/s40368-023-00824-z. PMID: 37452905.
15. Welti R, Ravindra D, Teoh L, Sloan A, Burgner D, Silva M. 2025; The use of antibiotics in the management of odontogenic facial swellings in children and adolescents: a scoping review. J Dent. 153:105523. https://doi.org/10.1016/j.jdent.2024.105523. DOI: 10.1016/j.jdent.2024.105523. PMID: 39708565.

Fig. 1
Year distribution. The annual number of visits demonstrated no significant fluctuations or discernible trend.
jkaoms-51-6-362-f1.tif
Fig. 2
Month distribution. Monthly distribution of visits showed a slight increase in May and October.
jkaoms-51-6-362-f2.tif
Fig. 3
Trauma and infection by age group. Trauma predominated in all age groups, but infection proportionally increased with age.
jkaoms-51-6-362-f3.tif
Fig. 4
Fracture sites. Among the 37 patients with facial bone fractures, mandibular condyle fractures were the most frequent, followed by alveolar bone fractures.
jkaoms-51-6-362-f4.tif
Table 1
Differential diagnosis of the trauma
No. of patients % Treatment
Laceration 365 49.2 Primary closure
Abrasion 253 34.1 Wound care
Dental trauma 230 31.0 Teeth splinting
Fracture 37 5.0 Conservative treatment or open reduction and internal fixation
Table 2
Cause of trauma
Cause Laceration (%) Abrasion (%) Fracture (%)
Collision 130 (35.6) 113 (44.7) 2 (5.4)
Slip down 112 (30.7) 80 (31.6) 10 (27)
Fall down 40 (11) 31 (12.3) 1 (2.8)
Bicycle TA 35 (9.7) 11 (4.3) 6 (16.2)
Kickboard TA 18 (4.9) 10 (4.0) 1 (2.7)
In-car TA 1 (0.2) 3 (1.2) 2 (5.4)
Out-car TA 6 (1.6) 2 (0.8) 3 (8.1)
Fist trauma 5 (1.4) 2 (0.8) 3 (8.1)
Sports trauma 18 (4.9) 1 (0.3) 9 (24.3)
Total 365 (100.0) 253 (100.0) 37 (100.0)

(TA: traffic accidents)

Table 3
Fracture treatment
No. of patients %
Conservative treatment 20 54.0
ORIF with miniplate 11 30.0
MMF 6 16.0
Total 37 100.0

(ORIF: open reduction and internal fixation, MMF: maxillomandibular fixation)

Table 4
Abscess sites
No. of patients %
Vestibular space 9 42.8
Canine space 5 23.8
Buccal space 2 9.5
Submandibular space 2 9.5
Sublingual space 1 4.8
Submasseteric space 1 4.8
Submental space 1 4.8
Total 21 100.0
TOOLS
Similar articles