Journal List > Ultrasonography > v.44(4) > 1516092555

Hariyanto, Sensusiati, Aminah, Leong, Haryanto, and Ng: Evaluation of physical properties and image quality of a breast tissue phantom with glycerol-enhanced polyvinyl chloride plastisol for ultrasound imaging

Abstract

Purpose

This study aimed to fabricate and evaluate breast tissue-equivalent phantoms with varying glycerol concentrations, focusing on their physical properties (density, elasticity, and acoustic parameters) and ultrasound image quality metrics, including echogenicity and lesion geometric accuracy.

Methods

Four phantom types were fabricated, each consisting of a polyvinyl chloride: dioctyl phthalate: glycerol mixture at varying ratios: 7%:93%:0% (background phantom A); 7%:88%:5% (background phantom B); 7%:83%:10% (background phantom C); and 7%:78%:15% (background phantom D). The phantoms contained spherical lesions (0.85, 1.10, and 1.45 cm) composed of gypsum, silicone rubber, and graphite. Physical properties such as density, elasticity, speed of sound, and acoustic impedance were measured for each phantom. Ultrasound image quality was assessed using signal-to-noise ratio, contrast-to-noise ratio, and geometric accuracy metrics.

Results

Background phantoms with higher glycerol concentrations demonstrated increases in density (1.012 to 1.073 g/cm3), elasticity (6.340 to 10.458 kPa), speed of sound (1,532.68±16.35 to 1,578.28±15.63 m/s), and acoustic impedance ([1.55±0.030 to 1.69±0.014]×106 kg/m2/s). Lesion size variation was less than 6.43%, indicating high geometric accuracy. Phantoms B, C, and D exhibited better echogenicity and clearer image contrast compared to phantom A, which showed an anechoic pattern.

Conclusion

Background phantom B demonstrated equivalence to breast tissue, and adding a specific concentration of glycerol allowed the mimicry of acoustic properties of target tissues, thereby improving image quality. This phantom can enhance ultrasound diagnostic skills and provides a cost-effective, self-build option suitable for medical training.

Graphic Abstract

Introduction

Ultrasonography is a non-ionizing imaging modality frequently employed for breast cancer detection due to its ability to differentiate benign from malignant lesions based on lesion size, elasticity, and echogenicity [1]. Ultrasound imaging is commonly used alongside mammography to enhance diagnostic accuracy, especially for women with dense breast tissue [2]. However, the accuracy of ultrasound-based diagnosis greatly depends on operator expertise and ultrasound system performance [3]. Regular training and proper quality assurance procedures can substantially improve diagnostic accuracy. Such improvements are enabled through the availability of phantoms utilized for training, quality assurance, and the development of novel imaging techniques [4].
An ideal phantom should contain materials capable of closely mimicking the mechanical and acoustic properties of human soft tissues. Variations in mechanical properties within a phantom are particularly useful for training in target detection [5,6]. Moreover, spherical target phantoms present greater visualization challenges compared to cylindrical targets in ultrasonography. This can significantly enhance ultrasonographers’ skills, as cylindrical targets oriented perpendicular to slice thickness are typically easier to detect [7,8]. Although various commercial phantoms exist, their high cost and limited transparency regarding material composition prompt further research into alternative materials to foster self-sufficiency in phantom production.
Previous studies have developed ultrasound elastography phantoms based on polyvinyl alcohol [9]; however, these materials exhibit limitations related to long-term stability, such as evaporation and mold growth. Browne et al. [10] created an agar-based phantom with clinically relevant contrast and anechoic targets designed to evaluate ultrasound imaging performance for breast examinations. Although their results suggested spherical targets were more appropriate for clinical evaluation than cylindrical ones, issues remained concerning long-term durability due to high water content, acoustic property variability, and difficulty detecting low-contrast lesions [10]. An alternative phantom material, polyvinyl chloride plastisol (PVCP), has mechanical elasticity similar to actual tissue and better resistance to degradation [11,12]. De Carvalho et al. [13] developed a box-shaped PVCP and graphite phantom, yet its acoustic properties still required enhancement, as the resulting images presented anechoic patterns. To address these issues, incorporating additional additives capable of enhancing tissue-equivalent acoustic properties is necessary. A study by Wang et al. [14] indicated that adding glycerol increased the speed of sound (SoS) in polymeric materials, but the application of glycerol in PVCP-based phantoms has not yet been extensively studied. Therefore, this study aims to develop PVCP-based breast tissue phantoms incorporating various glycerol concentrations and evaluate their impact on physical and acoustic characteristics, such as density, elasticity, SoS, and echogenicity. Furthermore, ultrasound imaging quality was assessed using signal-to-noise ratio (SNR), contrast-to- noise ratio (CNR), uniformity, and the geometric accuracy of spherical lesions embedded in the phantoms.

Materials and Methods

Materials

The polyvinyl chloride (PVC) resin used in this study was SG5 (Xinjiang Tianye, Shihezi, China) with a molecular structure of [CH2-CHCl]n, obtained from Henan Jinhe Industry Co., Ltd. (Xinxiang, China). PVCP is a suspension of PVC polymer in a plasticizer. Dioctyl phthalate (DOP) plasticizer, having a density of 0.99 g/cm³ and chemical formula C24H38O4, was purchased from Mitra Tsalasa Jaya, Ltd. (Tangerang, Indonesia). Graphite fine powder was acquired from Merck KGaA (product number: 1.04206.2500, Darmstadt, Germany). Glycerol (85%, product number: 104084.1000) was also purchased from Merck KGaA. Additionally, room-temperature vulcanizing silicone rubber (SR-RTV; product number: SR-RTV-48) and deionized (DI) water were used.

Design and Fabrication of the Phantoms

The phantom design and fabrication process involved samples for density and acoustic testing (box-shaped, 5×5×1 cm3), elasticity testing (cylindrical, 0.8 cm diameter and 0.4 cm thickness), spherical lesions (diameters of 0.85, 1.10, and 1.45 cm), and a larger box-shaped phantom (12×15×4.5 cm3). The composition of each background phantom and its lesions is summarized in Table 1.
First, samples for density, acoustic, and elasticity tests were prepared by mixing phantom compositions as listed in Table 1. Background phantom samples A, B, C, and D were prepared by mixing PVC, DOP, and glycerol at concentrations of 0%, 5%, 10%, and 15%, respectively, with a total mass proportion of 300 g in individual glass beakers. Each mixture was stirred at 300 rpm at a temperature of 170°C until achieving a homogeneous, thick consistency. The heat was then turned off (Fig. 1). Once cooled to approximately 80°C, the mixtures were poured into molds shaped as boxes (for density and acoustic tests) and cylinders (for elasticity tests). The mixtures were allowed to solidify completely and were then removed from their molds, as illustrated in Fig. 1.
Second, lesions containing 3% graphite were fabricated by mixing 7% PVC, 90% DOP, and 3% graphite powder, with proportions calculated based on a total mass of 500 g. Stirring and temperature control followed the previously described procedure. After thorough mixing, the composition was poured into spherical molds (0.85, 1.10, and 1.45 cm diameters), box-shaped molds for density and acoustic tests, and cylindrical molds for elasticity testing (Fig. 1). Lesions containing 7% graphite were fabricated using the same method. Silicone rubber lesions were created by mixing SR-RTV series 48 with a catalyst at a volume ratio of 25:1. The mixture was thoroughly stirred and poured into each mold (Fig. 1). Gypsum lesions were fabricated by mixing gypsum powder with DI water at a mass ratio of 2:1.5, followed by the same molding procedure (Fig. 1).
Third, a larger box-shaped phantom measuring 12×15×4.5 cm3 (Fig. 2A) was fabricated. This phantom consisted of a background material and embedded lesions. The background phantom was the primary constituent and consisted of two equal-thickness layers (2.25 cm each): top and bottom. Twelve lesions were arranged between these layers (B in Fig. 1). These lesions, categorized into four material variations (Table 1) and three size variations, were spaced approximately 3 cm apart (Fig. 2C). Preparation of background phantoms A, B, C, and D involved mixing PVC, DOP, and glycerol at respective concentrations of 0%, 5%, 10%, and 15% in a 1,000 mL beaker, with a total mass of 500 g. The subsequent procedures followed the method described previously for density test samples (Fig. 1). Once the mixture was thoroughly prepared, it was poured into the phantom mold, forming a bottom layer 2.25 cm thick, onto which lesions were arranged in a 4×3 configuration (C in Fig. 1). A second layer of identical background phantom composition was then poured over the lesions, resulting in a total thickness of 4.5 cm. Fabrication proceeded sequentially from 0% glycerol (phantom A) to 15% glycerol (phantom D). The final phantom fabrication results are illustrated in Fig. 2D.

Measurement of Density and Elasticity

Density measurements were performed for each phantom material by calculating the mass-to-volume ratio. The mass was measured using a Digital Vernier Analytical Balance. Volume measurements were performed using the water displacement method. Each sample’s volume was determined by the difference in water volume before and after immersion. Measurements were conducted at room temperature using deionized water, with each composition tested three times to assess measurement deviations.
Elasticity was assessed using the shear method on a Mettler Toledo Dynamic Mechanical Analyzer (DMA/SDTA861e, Greifensee, Switzerland). Two cylindrical samples with identical composition (0.8 cm diameter, 0.4 cm thickness) were arranged in parallel within the analyzer holder (Fig. 3). Measurements were performed at approximately 28°C, adhering to ASTM D4065 standards for shear mode, with an oscillation frequency response of 1 Hz. Young’s modulus of elasticity for each sample was calculated using the relationship between the storage modulus (E') and loss modulus (E''), with the complex modulus (E*) determined as their vector sum [15,16]. In Hookean models, biological tissues' complex modulus (E*) approximates Young’s modulus (E) [17,18].

SoS and Acoustic Impedance Measurements

The SoS and acoustic impedance (Z) were measured using an open-source ultrasound un0rick board, a Raspberry Pi, Ethernet hub, monitor, and transducer setup. The pulse-echo method (Fig. 4) was employed for these measurements, with detailed SoS and Z calculation procedures described previously [19].

Acquisition and Validation of the Phantoms

The target lesions embedded within the phantom were fabricated to specific dimensions; therefore, it was crucial to evaluate and validate their sizes, especially given the high temperatures used during fabrication. Initially, the diameter of each lesion was measured using a digital caliper with an accuracy of 0.01 cm. Subsequently, each lesion was scanned within the phantom using B-mode ultrasound imaging, and the lesion diameter was measured from these ultrasound images.
B-mode ultrasound imaging was performed using a Samsung RS85 Prestige ultrasound scanner (Samsung Healthcare, Seongnam, Korea) equipped with a 2-9 MHz linear transducer (LA-9A). Phantom images were captured using frequencies ranging from 4 to 9 MHz, acquiring one ultrasound image for each of the 12 lesions embedded within the phantom. The diameter of each lesion was measured from both the ultrasound images (using a workstation) and the actual physical lesion size (using a caliper). The percentage variation in lesion diameter was determined by calculating the difference between the ultrasound-measured diameter and the actual lesion diameter relative to the actual diameter. The results for lesion size variation in phantoms A through D provided essential clinical insights regarding geometric accuracy changes of lesions in ultrasound imaging.
Furthermore, each phantom image acquired by ultrasound was evaluated using the SNR and CNR parameters. The SNR is defined as the ratio of the mean pixel value within a region of interest (ROI) to the standard deviation of pixel values within the same region, calculated as follows [20]:
SNR=Pxσ
where Px is the mean pixel value in the phantom image within the ROI and σ is the standard deviation of the pixel values in the same ROI. A 2×2 cm2 ROI was selected for each lesion by including the background phantom region around the lesion (Fig 5A). SNR calculations were performed for lesion sizes of 0.85, 1.10, and 1.45 cm. The results were averaged for each lesion composition. Next, anechoic lesion detection was evaluated using the CNR, which was calculated by measuring the mean pixel value and standard deviation in a 0.7-cm-diameter ROI placed on the lesion region and adjacent background phantom area (Fig 5B). The CNR can be calculated using the following equation [21,22]:
CNR=|C¯in C¯out |σin 2+σout 2,
where c¯in and c¯out are the average pixel values of the lesion and its background phantom, respectively, and σin2 and σout2 are the standard deviations in the same area. The geometric accuracy was tested using a digital caliper on the B-mode ultrasound phantom image (Fig. 5C), with each measurement averaged over five readings. The geometric accuracy between the actual size and the ultrasound image was compared using statistical software, and the results were considered significantly different at P<0.05. First, the distribution of the data was evaluated using the Shapiro-Wilk test. The paired t-test was used to determine whether the actual lesion size was significantly different from that of the ultrasound image.

Results

Mass Density

The density values of each background phantom are presented in Table 2. Background phantom densities ranged from 1.012±0.008 to 1.073±0.002 g/cm3, while lesion densities ranged from 1.036±0.003 to 1.634±0.071 g/cm³. Adding glycerol to background phantoms A-D resulted in an increase in density, which followed a second-order polynomial relationship with an R2 value of 0.981.

Elasticity of the Phantom

The elasticity (Young’s modulus) of the phantom materials ranged from 6.340 to 385.295 kPa (Table 2). Furthermore, the addition of glycerol to background phantoms A-D led to an increase in Young’s modulus, which could be modeled by the equation E =6.24+0.21x+0.004x2, R2=0.939, where E is Young's modulus and x is the glycerol concentration.

SoS and Acoustic Impedance of the Phantom

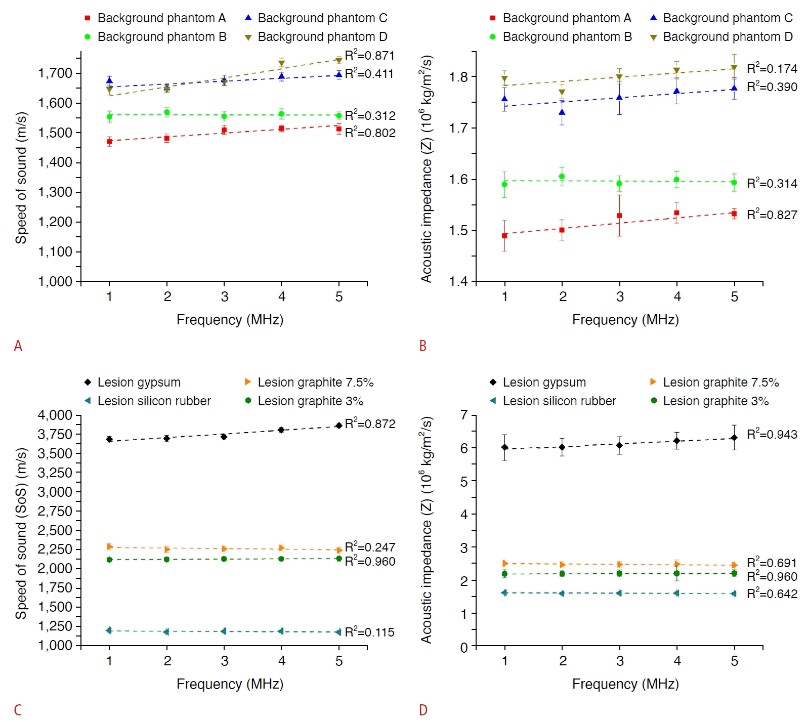
Fig. 6A illustrates the SoS measurements for background phantoms A-D, which contained increasing glycerol concentrations from 0% to 15%. The SoS values ranged from 1,499.28 to 1,689.55 m/s. Acoustic impedance (Z) measurements are shown in Fig. 6B, with values ranging from 1.52×106 to 1.81×106 kg/m2/s. Fig. 6C and D present the SoS and Z measurements for lesions within the phantom. Lesion SoS values ranged from 3,689.02 to 3,867.07 m/s (gypsum), 1,187.41 to 1,209.85 m/s (silicone rubber), 2,246.01 to 2,296.08 m/s (7.5% graphite), and 2,123.51 to 2,138.69 m/s (3% graphite). Lesion Z values ranged from 6.03×106 to 6.32×106 kg/m²/s for gypsum, 1.60×106 to 1.63×106 kg/m2/s for silicone rubber, and 2.20×106 to 2.51×106 kg/m2/s for graphite. Both SoS and Z values increased proportionally with glycerol concentration. PVCP-based background phantoms A-D with glycerol concentrations from 0% to 15% exhibited mean SoS values (1,499.28 to 1,689.55 m/s) higher than typical literature values of 1,400 to 1,520 m/s [23,24]. Glycerol increased the SoS by approximately 5% compared to pure PVCP [24], consistent with previous observations in styrene-ethylene/butylenestyrene–based materials [25]. According to the literature, silicone materials typically exhibit SoS and impedance values of 1,025-1,110 m/s and 1.05×106 kg/m2/s [26,27], with slight discrepancies possibly due to variations in specific SR-RTV formulations.

Acquisition and Validation of the Phantoms

Fig. 7 presents B-mode ultrasound images of phantoms A-D, consisting of background phantoms with glycerol concentrations from 0% to 15% and lesions sized 0.85 cm. Phantom A predominantly showed a dark appearance, indicating anechoic characteristics with minimal echo returns. Conversely, phantoms C and D appeared progressively grayer, indicating increased echogenicity with glycerol addition. Pixel values increased from 13.98±12.16 (phantom A), 33.02±10 (phantom B), 44.80±8.84 (phantom C), to 62.99±5.07 (phantom D).
Measurement of lesion diameter and volume is crucial, as these parameters have direct clinical relevance. Geometric accuracy was assessed by measuring lesion diameters horizontally on B-mode ultrasound images. Three lesion sizes (0.85 cm, Fig. 5C; 1.10 cm, Fig. 5D; and 1.45 cm, Fig. 5E) were compared against their actual dimensions. The percentage variation in geometric accuracy between ultrasound images and actual sizes ranged from 5.45% to 5.71% (phantom A), -2.50% to 6.43% (phantom B), -2.14% to 5.00% (phantom C), and -1.79% to 6.43% (phantom D) (Table 3). Generally, these variations were acceptable (below 6.5%). Statistical analysis showed no significant difference between actual and ultrasound-measured lesion diameters at 1.10 cm (P>0.05), whereas significant differences were observed at diameters of 0.85 cm and 1.45 cm (P<0.05).

SNR of the Phantom Images

Fig. 8 illustrates the SNR values of phantom images A-D, computed based on average pixel values and standard deviations within ROI in ultrasound images. SNR values ranged from 0.41 to 0.51 for phantom A, 1.17 to 1.26 for phantom B, 1.29 to 1.35 for phantom C, and 1.70 to 1.80 for phantom D. Increasing glycerol concentrations enhanced SNR, demonstrating its effectiveness as a scattering agent in ultrasound imaging. Higher SNR images provide clearer formations with less noise, improving diagnostic value.

Contrast-Noise Ratio of the Phantom Images

The CNR, a reliable parameter for assessing lesion detectability, was calculated by averaging values across the three lesion sizes (Fig. 9) [28]. Fig. 9 shows CNR results from ultrasound images in this comparative phantom study. Phantom images B-D exhibited negative CNR values, indicating hypoechoic lesions with lower echo returns compared to the surrounding background phantom. CNR values ranged from 1.8 to 5.2 for phantom A, and from 4.5 to 2.1 for phantoms B-D. These findings align well with previous studies [10], confirming the suitability of these phantoms for evaluating object detection based on CNR.

Discussion

In this study, several noteworthy findings were identified regarding phantom densities. Background phantoms A-D exhibited densities closely resembling breast tissue, differing by -0.8%, 0.2%, 2.7%, and 5.2%, respectively [5,29]. Additionally, when compared to general soft tissue, the density values for background phantoms A-D showed minor differences, ranging from -4.1%, -3.1%, and -0.7% to 1.7%, respectively [30]. The lesions demonstrated higher densities compared to their corresponding background phantoms, with gypsum lesions particularly mimicking bone tissue density [30]. Overall, background phantom densities remained within the soft tissue range, whereas lesion densities spanned from soft tissue to bone-like densities. Comparisons with commercial Zerdine CIRS Inc. phantoms and Kyoto Kagaku QA phantoms revealed density differences below 5% for all background phantoms (Table 2) [30,31].
The elasticity values of the background phantoms ranged from 6.340 to 10.458 kPa, aligning well with commercial phantoms (10-85 kPa) [32] and meeting standards typical for commercial phantoms and muscle tissue. Increasing glycerol concentrations resulted in higher elastic modulus values, consistent with literature indicating that soft PVC materials typically exhibit elasticity below 10 kPa [33]. Reported elasticity values for soft tissues such as muscle range from 1.5 to 12.8 kPa, and glandular breast tissue ranges from 2 to 66 kPa [34], though glandular tissue elasticity approaches that of fat at low strain. The elasticity values of the background phantoms used in this study fell within the range of specialized glandular breast tissue. However, variability between the phantom materials and glandular tissues highlights the need for further studies directly comparing these materials under identical conditions and instrumentation. Lesions exhibited higher elasticity than their corresponding background phantoms. Elasticity characteristics can provide valuable insights into tissue pathology, measurable by destructive testing (DMA) or shear-wave elastography. Lesion elasticity ranged from 13.182 to 385.295 kPa. However, cross-validation using various ultrasound devices equipped with shear-wave elastography modes should be performed to validate these results.
Acoustic properties, specifically SoS and Z, measured at frequencies from 1-5 MHz, showed slight yet consistent increases described by second-order polynomial relationships (Fig. 6A, B). While the SoS in homogeneous media generally remains independent of frequency, complex or heterogeneous materials such as biological tissues or artificial phantoms often exhibit frequency-dependent increases in SoS. This behavior results from wave dispersion and scattering phenomena [35]. The interaction of ultrasound waves with particles or structural features at specific frequencies can alter the effective propagation speed. At high frequencies, ultrasound waves frequently undergo scattering when wavelengths approach particle sizes in the medium, leading to apparent increases in wave propagation speed [36]. Moreover, the viscoelastic nature of the phantom medium contributes to frequency-dependent SoS variations, resulting from differing elastic and viscous responses to propagating sound waves [37,38]. A comparison of SoS properties for background phantoms A-D revealed a close resemblance to breast tissue, with percentage variations of -0.71%, 3.40%, 11.09%, and 11.89%, respectively [5]. Additionally, comparison with commercial Zerdine CIRS Inc. and Kyoto Kagaku QA phantoms indicated that background phantoms A and B demonstrated excellent similarity, with differences less than 6.7% for SoS and less than 10% for acoustic impedance values [30,31]. Overall, phantoms with a glycerol concentration of 5% showed acoustic properties closely matching breast tissue and commercial standards, making them suitable for mimicking tissue density, elasticity, and acoustic characteristics.
Phantom A ultrasound images demonstrated a non-uniform pixel-value distribution within the background phantom, characterized predominantly by black and white specks due to incomplete mixing of PVC and DOP, which formed white speckles. Despite this, each lesion in phantom A provided images with greater contrast relative to the background phantom, indicating the presence of echoes. Fully dissolved PVC and DOP mixtures produced primarily anechoic ultrasound images. Conversely, phantoms B-D, which included glycerol, yielded images with increasingly uniform grayscale appearance compared to phantom A. Adding glycerol enhanced echogenicity and improved pixel distribution uniformity (Fig. 7). Pixel-value comparisons indicated that background phantoms B and C closely resembled fat tissue, whereas background phantom D closely resembled breast glandular tissue [39]. Therefore, incorporating glycerol at controlled concentrations allowed specific tissue mimicry depending on clinical needs.
Each phantom included lesions varying in both material composition (four types) and size (three types), all shaped spherically. Gypsum lesions produced dark images with incomplete circular boundaries, due to limited reflection of sound waves back to the transducer. Silicone rubber lesions resulted in dark, fully circular images, demonstrating that gypsum and silicone rubber lesions produced clear anechoic patterns in phantoms B-D. Lesions containing graphite produced hypoechoic patterns. Interestingly, all lesions produced hyperechoic patterns in phantom A (Fig. 7).
The geometric accuracy results for gypsum and silicone rubber lesions, as measured by ultrasound imaging (Table 3), were slightly smaller than their actual dimensions, with percentage variations below 5%. Factors influencing these discrepancies include lesion stiffness and image resolution, potentially causing ultrasound measurements of gypsum and silicone rubber lesions to underestimate their true size. High-stiffness lesions resisted deformation during manual compression applied during scanning. Conversely, graphite lesions appeared larger on ultrasound images compared to their actual sizes (Table 3), likely due to lesion deformation caused by manual compression. The elasticity of graphite lesions (Table 2) allowed for greater strain under pressure, contributing to this effect. The largest observed diameter variation occurred in graphite lesions (6.43%), although this variation was still superior to a previously reported 7.14% [40]. Increasing glycerol concentration improved lesion boundary definition relative to the background phantom, facilitating more accurate geometric measurements. For example, the gypsum lesion with an actual diameter of 0.85 cm exhibited variations of -2.35% in phantom A (without glycerol) versus -1.18% in phantom D (with glycerol) (Table 3). These findings highlight the importance of image quality in clinical diagnosis. Phantoms demonstrating high reproducibility can therefore be valuable for training ultrasonographers and ultrasound quality assurance.
The results obtained in this study provide valuable insights for phantom material development. PVCP-based phantoms with varying glycerol concentrations demonstrated acoustic and mechanical properties comparable to breast and soft tissues. Specifically, glycerol addition improved both SoS and mechanical characteristics. By carefully adjusting glycerol concentration, it is possible to achieve targeted acoustic properties that simulate soft and fibroglandular tissues. Moreover, glycerol significantly enhanced echo production, yielding higher-quality ultrasound images compared to pure PVCP phantoms.
This study does have certain limitations. Firstly, when fabricating PVCP-based phantoms, bubble formation may occur due to temperature differences between the sample mixture and the phantom mold. To mitigate this, preheating molds (provided they are heat-resistant) can minimize temperature discrepancies. Secondly, the current tests for physical properties and ultrasound imaging were single-time evaluations, without examining potential changes over prolonged use. Repeated testing over an extended period would provide more comprehensive insights into long-term stability, potential distance distortion, alterations in target diameter, and artifact development in ultrasound images. Evaluating long-term phantom stability from both clinical and practical perspectives is crucial, as it informs economic feasibility and optimal usage duration. Nevertheless, PVCP-based phantoms have promising long-term reusability due to their optical transparency, tissue-like hardness, ease of fabrication, non-toxicity, bacterial resistance, and extended service life without needing additional preservatives. Future studies will assess how physical properties and ultrasound imaging characteristics of PVCP-based phantoms evolve over time, determining their suitability for repeated use and application across various imaging modalities.
In conclusion, this study quantitatively evaluated the physical properties and ultrasound image quality of breast tissue-equivalent phantoms incorporating varying glycerol concentrations. The measured density, elasticity, and acoustic properties of the glycerol-enhanced background phantoms closely resembled those of breast and soft tissues. The addition of glycerol notably increased both elasticity and the SoS. From an imaging perspective, glycerol improved echogenicity, resulting in ultrasound images transitioning from hypoechoic to hyperechoic patterns, whereas the pure PVCP background phantom (without glycerol) exhibited primarily anechoic patterns. Image quality, confirmed through SNR and CNR analyses of B-mode ultrasound images, was superior in glycerol-containing phantoms compared to those without glycerol, with excellent lesion size accuracy indicated by diameter variations of less than 6.5%. Thus, the proposed phantom offers a reliable tool for ultrasound quality assurance, ultrasonographer training, and further investigations related to ultrasound imaging materials.

Notes

Author Contributions

Conceptualization: Hariyanto AP, Haryanto F, Ng KH, Endarko. Data acquisition: Hariyanto AP, Leong SS, Aminah M, Suprijanto. Data analysis or interpretation: Endarko, Hariyanto AP, Haryanto F, Sensusiati AD, Leong SS, Ng KH, Suprijanto. Drafting of the manuscript: Hariyanto AP. Critical revision of the manuscript: Endarko, Haryanto F, Ng KH, Suprijanto. Approval of the final version of the manuscript: all authors.

Acknowledgments

The authors are grateful to the University Malaya Medical Centre, Malaysia, and the Medical Instrumentation Laboratory, Engineering Physics Department, Institut Teknologi Bandung, for granting permission to conduct the study and assisting in collecting and analyzing the data.

This study project was financed by the Institut Teknologi Sepuluh Nopember (ITS) and Kemendikbudristek under Penelitian Fundamental-Reguler, with reference number 1934/PKS/ITS/2023.

Conflict of Interest

No potential conflict of interest relevant to this article was reported.

References

1. Berg WA, Gutierrez L, NessAiver MS, Carter WB, Bhargavan M, Lewis RS, et al. Diagnostic accuracy of mammography, clinical examination, US, and MR imaging in preoperative assessment of breast cancer. Radiology. 2004; 233:830–849.
2. Cannata A, Meo SD, Matrone G, Morganti S, Pasian M. Multimodal tissue-mimicking breast phantoms for mm-wave and ultrasound imaging. In: 2023 17th European Conference on Antennas and Propagation (EuCAP); 2023 Mar 26-31; Florence, Italy. Piscataway, NJ: Institute of Electrical and Electronics Engineers, 2023;1-5.
3. Carton AK, Bakic P, Ullberg C, Derand H, Maidment AD. Development of a physical 3D anthropomorphic breast phantom. Med Phys. 2011; 38:891–896.
4. White DR. The design and manufacture of anthropomorphic phantoms. Radiat Prot Dosimetry. 1993; 49:359–369.
5. Culjat MO, Goldenberg D, Tewari P, Singh RS. A review of tissue substitutes for ultrasound imaging. Ultrasound Med Biol. 2010; 36:861–873.
6. Cao Y, Li GY, Zhang X, Liu YL. Tissue-mimicking materials for elastography phantoms: a review. Extreme Mech Lett. 2017; 17:62–70.
7. Kofler JM Jr, Madsen EL. Improved method for determining resolution zones in ultrasound phantoms with spherical simulated lesions. Ultrasound Med Biol. 2001; 27:1667–1676.
8. Madsen EL, Zagzebski JA, Macdonald MC, Frank GR. Ultrasound focal lesion detectability phantoms. Med Phys. 1991; 18:1171–1180.
9. Al-Mutairi FF, Chung EM, Moran CM, Ramnarine KV. A novel elastography phantom prototype for assessment of ultrasound elastography imaging performance. Ultrasound Med Biol. 2021; 47:2749–2758.
10. Browne JE, Cannon LM, Fagan AJ, Cournane S. Development of a focal lesion phantom with clinically relevant lesion characteristics for image quality evaluation of breast ultrasound scanners. Phys Med. 2022; 94:65–74.
11. Li W, Belmont B, Greve JM, Manders AB, Downey BC, Zhang X, et al. Polyvinyl chloride as a multimodal tissue-mimicking material with tuned mechanical and medical imaging properties. Med Phys. 2016; 43:5577.
12. He Y, Qin S, Dyer BA, Zhang H, Zhao L, Chen T, et al. Characterizing mechanical and medical imaging properties of polyvinyl chloride-based tissue-mimicking materials. J Appl Clin Med Phys. 2019; 20:176–183.
13. De Carvalho IM, De Matheo LL, Costa Junior JF, Borba Cde M, von Kruger MA, Infantosi AF, et al. Polyvinyl chloride plastisol breast phantoms for ultrasound imaging. Ultrasonics. 2016; 70:98–106.
14. Wang Y, Agyekum EA, Chen J, Du J, Ren Y, Zhang Q, et al. Fabrication of SEBS block copolymer-based ultrasound phantom containing mimic tumors for ultrasound-guided needle biopsy training. Ultrasound Med Biol. 2022; 48:1143–1150.
15. Montalvao D, Claudio RA, Ribeiro AM, Duarte-Silva J. Experimental measurement of the complex Young’s modulus on a CFRP laminate considering the constant hysteretic damping model. Compos Struct. 2013; 97:91–98.
16. Leong SS, Wong JHD, Md Shah MN, Vijayananthan A, Jalalonmuhali M, Mohd Sharif NH, et al. Stiffness and anisotropy effect on shear wave elastography: a phantom and in vivo renal study. Ultrasound Med Biol. 2020; 46:34–45.
17. Ozkaya N, Nordin M, Goldsheyder D, Leger D. Fundamentals of biomechanics: equilibrium, motion, and deformation. New York, NY: Springer New York;2012. p. 169–187.
18. Chatelin S, Bernal M, Deffieux T, Papadacci C, Flaud P, Nahas A, et al. Anisotropic polyvinyl alcohol hydrogel phantom for shear wave elastography in fibrous biological soft tissue: a multimodality characterization. Phys Med Biol. 2014; 59:6923–6940.
19. Hariyanto AP, Budiarti NT, Suprijanto, Ng KH, Haryanto F, Endarko. Evaluation of physical properties and image of polyvinyl chloride as breast tissue equivalence for dual-modality (mammography and ultrasound). Phys Eng Sci Med. 2023; 46:1175–1185.
20. Thitaikumar A, Krouskop TA, Ophir J. Signal-to-noise ratio, contrast-to-noise ratio and their trade-offs with resolution in axial-shear strain elastography. Phys Med Biol. 2007; 52:13–28.
21. Zhang C, Fu J. A new breast phantom suitable for digital mammography, contrast-enhanced digital mammography and digital breast tomosynthesis. Phys Med Biol. 2023; 68:045015.
22. Thomson FJ. Automatic technique parameter selection on a digital mammography system: an evaluation of SNR and CNR as a function of AGD on a GE senographe DS. Australas Phys Eng Sci Med. 2006; 29:251–256.
23. Vogt W, Pfefer TJ, Jia C, Wear K, Garra B. PVCP phantoms and their use. US Patent No. 9920188. 2018 Mar 20.
24. Gomes GB, De Matheo LL, da Silva FF, Maggi LE, von Kruger MA, de Albuquerque Pereira WC. Evaluation of materials for confection of phantoms to mimetize acoustic properties of tendons. Res Biomed Eng. 2021; 37:47–52.
25. Cabrelli LC, Grillo FW, Sampaio DR, Carneiro AA, Pavan TZ. Acoustic and elastic properties of glycerol in oil-based gel phantoms. Ultrasound Med Biol. 2017; 43:2086–2094.
26. Ba A, Kovalenko A, Aristegui C, Mondain-Monval O, Brunet T. Soft porous silicone rubbers with ultra-low sound speeds in acoustic metamaterials. Sci Rep. 2017; 7:40106.
27. Yamashita Y, Hosono Y, Itsumi K. Low sound velocity and acoustic attenuation silicone rubber lens based on nano-powder-composite for medical echo ultrasound array probes. In: 2007 Sixteenth IEEE International Symposium on the Applications of Ferroelectrics; 2007 May 27-31; Nara, Japan. Piscataway, NJ: Institute of Electrical and Electronics Engineers, 2007;752-753.
28. Kofler JM Jr, Lindstrom MJ, Kelcz F, Madsen EL. Association of automated and human observer lesion detecting ability using phantoms. Ultrasound Med Biol. 2005; 31:351–359.
29. Kofler JM Jr, Lindstrom MJ, Kelcz F, Madsen EL. Association of automated and human observer lesion detecting ability using phantoms. Ultrasound Med Biol. 2005; 31:351–359.
30. McGarry CK, Grattan LJ, Ivory AM, Leek F, Liney GP, Liu Y, et al. Tissue mimicking materials for imaging and therapy phantoms: a review. Phys Med Biol. 2020; 65:23–TR01.
31. Cetin E, Durmus HO, Karaboce B, Kavakli N. Acoustical characterization of tissue-mimicking materials. In: 2019 IEEE International Symposium on Medical Measurements and Applications (MeMeA); 2019 Jun 26-28; Istanbul, Turkey. Piscataway, NJ: Institute of Electrical and Electronics Engineers, 2019;1-5.
32. Oudry J, Lynch T, Vappou J, Sandrin L, Miette V. Comparison of four different techniques to evaluate the elastic properties of phantom in elastography: is there a gold standard? Phys Med Biol. 2014; 59:5775–5793.
33. Li W, Belmont B, Shih A. Design and manufacture of polyvinyl chloride (PVC) tissue mimicking material for needle insertion. Procedia Manuf. 2015; 1:866–878.
34. Krouskop TA, Wheeler TM, Kallel F, Garra BS, Hall T. Elastic moduli of breast and prostate tissues under compression. Ultrason Imaging. 1998; 20:260–274.
35. Szabo TL. Diagnostic ultrasound imaging: inside out. Burlington, MA: Academic Press;2013.
36. Wells PN. Review: absorption and dispersion of ultrasound in biological tissue. Ultrasound Med Biol. 1975; 1:369–376.
37. Chen P, Pollet A, Panfilova A, Zhou M, Turco S, den Toonder JM, et al. Acoustic characterization of tissue-mimicking materials for ultrasound perfusion imaging research. Ultrasound Med Biol. 2022; 48:124–142.
38. Parker KJ. Ultrasonic attenuation and absorption in liver tissue. Ultrasound Med Biol. 1983; 9:363–369.
39. De Matheo LL, Geremia J, Calas MJ, Costa-Junior JF, da Silva FF, von Kruger MA, et al. PVCP-based anthropomorphic breast phantoms containing structures similar to lactiferous ducts for ultrasound imaging: a comparison with human breasts. Ultrasonics. 2018; 90:144–152.
40. Phani D, Varadarajulu RK, Paramanick A, Paul S, Paramu R, Zacharia G, et al. Development and validation of a gel wax phantom to evaluate geometric accuracy and measurement of a hyperechoic target diameter in diagnostic ultrasound imaging. Phys Eng Sci Med. 2024; 47:261–272.

Fig. 1.

Fabrication process flow for the phantoms used in density, elasticity, and acoustic testing, as well as lesion fabrication.

Background phantoms A to D were prepared with glycerol concentrations of 0%, 3%, 5%, and 10%, respectively. SR-RTV, room-temperature vulcanizing silicone rubber.
usg-24096f1.tif
Fig. 2.

Experimental design used for phantom fabrication.

A. Schematic diagram iillustrates the phantom fabrication setup. B. Side-view schematic indicates lesion depths (scale in centimeters). C. Top-view diagram presents the placement arrangement of test targets within the phantom. D. Photographic top-view image shows the fabricated phantom. SR-RTV, room-temperature vulcanizing silicone rubber.
usg-24096f2.tif
Fig. 3.

Experimental setup for elastic modulus measurement.

usg-24096f3.tif
Fig. 4.

Schematic diagram of the pulse-echo method setup used for measuring the speed of sound and acoustic impedance (Z).

usg-24096f4.tif
Fig. 5.

Settings used for data acquisition and analysis.

A. A region of interest (ROI) is placed for signal-to-noise ratio data acquisition. B. ROI placement settings are used to calculate pixel values within the lesion (red ROI) and background (yellow ROI); and lesion diameters are measured on ultrasound images using a digital caliper for lesions of 0.85 cm (C), 1.10 cm (D), and 1.45 cm (E).
usg-24096f5.tif
Fig. 6.

Acoustic property measurements.

A. Speed of sound measurements were obtained for background phantoms A (square), B (circle), C (upward triangle), and D (downward triangle) with glycerol concentrations ranging from 0% to 10%. B. Acoustic impedance (Z) measurements were obtained for background phantoms A-D, with error bars representing the standard deviation (±). C. Speed of sound was measured in lesions composed of gypsum (diamond), silicone rubber (left-pointing triangle), 7.5% graphite (right-pointing triangle), and 3% graphite (hexagon). D. Acoustic impedance was measured for each lesion type.
usg-24096f6.tif
Fig. 7.

B-mode ultrasound images acquired from phantoms A, B, C, and D, with glycerol concentrations of 0%, 5%, 10%, and 15%, respectively.

Each phantom included four lesion types of identical sizes.
usg-24096f7.tif
Fig. 8.

Signal-to-noise ratio values for background phantoms A (red), B (green), C (blue), and D (dark yellow).

The signal-tonoise ratio was calculated by selecting a 2×2 cm2 region of interest around each inserted lesion in the B-mode ultrasound images.
usg-24096f8.tif
Fig. 9.

Contrast-to-noise ratio values for each inserted lesion in background phantoms A (red), B (green), C (blue), and D (dark yellow).

The contrast-to-noise ratio was calculated by selecting a 2×3 cm2 region of interest within each inserted lesion on the B-mode ultrasound images.
usg-24096f9.tif
usg-24096f10.tif
Table 1.
Composition of mixed materials for the fabrication of breast equivalent phantoms
PVC (%) DOP (%) Glycerol (%) Graphite (%) Catalyst SR-RTV DI water Gypsum
Background phantom A 7 93 0 - - - - -
Background phantom B 7 88 5 - - - - -
Background phantom C 7 83 10 - - - - -
Background phantom D 7 78 15 - - - - -
Graphite 3% lesion 7 90 - 3 - - - -
Graphite 7.5% lesion 7 85.5 - 7.5 - - - -
Silicone rubber lesion - - - - 1 25 - -
Gypsum lesion - - - - - - 1.5 2

The unit of percent (%) refers to the percentage of mass units of each composition from the total mass to make the sample. Composition of catalyst and SR-RTV in unit volume ratio. Composition with DI water and gypsum in units of mass ratio.

PVC, polyvinyl chloride; DOP, dioctyl phthalate; SR-RTV, room-temperature vulcanizing silicone rubber; DI, deionized.

Table 2.
Benchmarks for physical properties between phantoms and tissues and commercial phantoms
Name Physical property
Acoustic property
Mass density (g/cm3) Elasticity (kPa) Mean SoS (m/s) Mean acoustic impedance (106 kg/m2/s)
Background phantom A 1.012±0.008 6.340 1,499.28±20.42 1.52±0.02
Background phantom B 1.022±0.003 7.118 1,561.30±6.33 1.60±0.01
Background phantom C 1.048±0.006 9.182 1,677.48±17.35 1.76±0.02
Background phantom D 1.073±0.002 10.458 1,689.55±46.78 1.81±0.05
Graphite 3% lesion 1.036±0.003 13.182 2,131.46±6.02 2.21±0.01
Graphite 7.5% lesion 1.092±0.001 27.796 2,268.58±19.42 2.48±0.02
Silicone rubber lesion 1.351±0.003 221.312 1,197.43±8.87 1.62±0.01
Gypsum lesion 1.634±0.071 385.295 3,757.24±77.79 6.14±0.13
Soft tissue [30] 1.055 No reference 1,575 1.66
Breast [5,34] 1.020 2-66 1,510 1.54
Bone [30] 1.920 No reference 3,635 6.98
Zerdine CIRS Inc. [31,32] 1.030 10-85 1,529.9±2.86, 1,543-1,549 1.499
Kyoto Kagaku QA [30] No reference No reference 1,432 1.38

SoS, speed of sound.

Table 3.
Results of the lesion geometry accuracy test from actual physical size and B-mode US images
Lesion composition Actual size (cm) Lesion size on US image (cm)
Variation on US (%)
P-value
Phn. A Phn. B Phn. C Phn. D Phn. A Phn. B Phn. C Phn. D
Gypsum lesion 0.85±0.02 0.83±0.01 0.84±0.02 0.85±0.02 0.84±0.03 -2.35 -1.53 -0.59 -1.18 0.868
1.10±0.01 1.04±0.02 1.09±0.04 1.08±0.03 1.09±0.01 -5.45 -0.91 -1.82 -0.91 0.074
1.45±0.03 1.34±0.04 1.38±0.02 1.37±0.05 1.38±0.04 -4.29 -1.43 -2.14 -1.79 0.001
Silicone rubber lesion 0.85±0.01 0.81±0.02 0.83±0.01 0.84±0.03 0.84±0.04 -4.71 -2.35 -1.18 -1.76 0.033
1.10±0.01 1.06±0.03 1.08±0.01 1.08±0.02 1.10±0.03 -4.09 -2.27 -1.82 0.00 0.050
1.45±0.02 1.35±0.02 1.37±0.02 1.37±0.02 1.38±0.02 -3.57 -2.50 -1.86 -1.43 0.001
Graphite 7.5% lesion 0.85±0.01 0.88±0.04 0.89±0.01 0.85±0.02 0.87±0.04 3.53 4.71 0.00 2.35 0.051
1.10±0.02 1.12±0.02 1.13±0.03 1.14±0.02 1.13±0.04 1.82 2.73 3.64 2.73 0.049
1.45±0.02 1.48±0.02 1.49±0.02 1.46±0.01 1.49±0.01 5.71 6.43 4.29 6.43 0.023
Graphite 3% lesion 0.85±0.03 0.87±0.03 0.88±0.05 0.87±0.02 0.88±0.03 2.35 3.53 2.35 3.53 0.024
1.10±0.04 1.15±0.04 1.14±0.03 1.09±0.02 1.12±0.01 4.55 3.64 -0.91 1.82 0.179
1.45±0.04 1.47±0.04 1.46±0.01 1.47±0.03 1.46±0.02 5.00 4.29 5.00 4.29 0.050

A negative variation value (%) indicates that the value is smaller than the actual value.

US, ultrasound; Phn., phantom.

TOOLS
Similar articles