Abstract
Purpose
This study introduced adenomas per polypectomy (APP) as a novel metric for evaluating the progression of lesion discrimination skills among colonoscopy trainees.
Methods
This retrospective study was conducted at the National Cancer Center, Korea between March 2020 and February 2023. Nine colorectal surgeons who completed a structured 1-year colonoscopy training program were included, and their performance was compared with that of 5 expert endoscopists. APP was defined as the number of histologically confirmed adenomas among the total number of polypectomies performed. The APPs were calculated serially to assess changes from the beginning to the end of the training.
Results
A total of 8,072 colonoscopies were performed by 9 trainees and 11,687 by 5 experts. The average APP of the 9 trainees was 67.0%, which was significantly different from the 73.9% APP of the experts (P < 0.001). The APP progression of trainees exhibited 3 phases: phase 1 (<200 cases) showed increasing polyp detection and APP; phase 2 (200–500 cases) displayed a sharp rise in the number of polypectomies but a decline in APP; and phase 3 (>500 cases) demonstrated a decrease in the number of polypectomies with a moderate rise in APP. However, even in phase 3, the trainees’ APP remained significantly lower than that of the experts (69.9% vs. 73.9%, P = 0.027).
Colonoscopy is the gold standard for the screening and prevention of colorectal cancer, significantly reducing colorectal cancer-related morbidity and mortality [12]. Consequently, there have been substantial efforts to enhance colonoscopy training. Various quality assessment metrics have been proposed to evaluate the effectiveness of training programs, including the most widely used adenoma detection rate (ADR), and the polyp detection rate (PDR) [3456]. However, these indicators focus more on lesion detection rates, than on the ability to differentiate between lesions that require resection and those that do not. As a result, they fail to assess cognitive and decision-making skills that are essential for high-quality colonoscopies [78]. Accurate lesion discrimination is critical for preventing unnecessary resections while ensuring the detection of clinically significant adenomas; however, no objective metric has been established to measure this skill, highlighting a gap in colonoscopy training evaluation.
Adenoma per polypectomy (APP), defined as the number of histologically confirmed adenomas per total polypectomy, has been proposed as an indicator of visual lesion discrimination ability [9]. This study is the first to introduce APP as a structured measure of lesion discrimination ability among trainees. By analyzing APP progression across 3 training phases, this study evaluated its potential as a novel indicator of lesion discrimination ability in colonoscopy training.
All research procedures were approved by the Institutional Review Board (IRB) of the National Cancer Center in Goyang, Korea (No. NCC2023-0196). As this was a retrospective study, obtaining informed consent from patients was not feasible. Given that the study involved only the analysis of preexisting clinical data and posed no additional risk or harm to patients, the requirement for informed consent was waived by the IRB.
This retrospective, single-center study analyzed colonoscopy outcomes from March 2020 to February 2023. Data from 9 colorectal surgery trainees participating in a 1-year colonoscopy training program called the ‘Colonoscopy Academy of the National Cancer Center (CAN)’ were included [10]. Their performances were compared with 5 expert endoscopists with at least 10 years of experience. The 5 experts were full-time colonoscopy specialists, consisting of 3 colorectal surgeons and 2 gastroenterologists.
Information about patients and colonoscopy-related data were retrospectively collected from colonoscopy reports, including patient age, sex, cecal intubation time, total examination time, and the number of resected polyps. Histopathological reports were reviewed to confirm the pathological diagnosis of all resected polyps. Considering the purpose of APP, which is to differentiate lesions, we excluded lesions that could not be considered to be adenomas, such as neuroendocrine tumors, and resections for biopsy, such as cancer diagnosis.
The primary outcomes were the APP trends across the training phases. To verify this, the results of the 9 trainees were combined, and the APPs per 100 colonoscopies performed from the beginning to the end of the training were calculated. The results of the 5 experts were combined and presented as the sum of data from all 3 years of the study.
The secondary outcomes involved comparisons of the ADR and PDR between trainees and experts. A subgroup analysis was also conducted to compare the metrics among trainees.
Continuous variables were reported as medians with interquartile ranges and compared using Wilcoxon ranksum tests. Categorical variables were analyzed using the chi-square and Fisher exact tests. All the tests were two-sided. Statistical significance was defined as P < 0.05. All statistical analyses were performed using the R software ver. 4.2.3 (The R Foundation).
From March 2020 to February 2023, 8,072 colonoscopies were performed by 9 trainees; and 11,687 colonoscopies were performed by 5 experts at the National Cancer Center. The patient demographics and procedural characteristics are summarized in Table 1. Except for age, the patient characteristics of the trainee and expert groups showed significant differences.
Table 2 presents the colonoscopy results for both groups. The cecal intubation time was significantly longer in the trainee group than in the expert group (7 minutes vs. 5 minutes, P < 0.001). Despite the longer observation time in the trainee group (13 minutes vs. 11 minutes, P < 0.001), both the PDR and ADR were significantly lower than those in the expert group (PDR: 57.3% vs. 63.3%, P < 0.001; ADR: 45.4% vs. 53.3%, P < 0.001). Furthermore, the APP in the trainee group was significantly lower than that in the expert group (67.0% vs. 73.9%, P < 0.001).
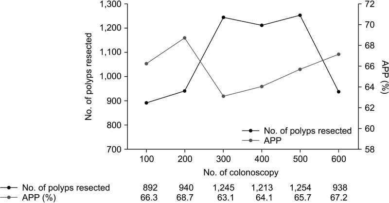
Fig. 1 illustrates the changes in the number of resected polyps and APP for every 100 colonoscopies performed by the 9 trainees. From the beginning of training, at up to 200 colonoscopies, both the number of resected polyps and APP increased simultaneously. Starting from 300 colonoscopies, the number of resected polyps increased sharply compared to the previous phase, whereas the APP declined. This trend continued until 500 colonoscopies were performed, at which point the number of resected polyps remained elevated. However, upon reaching 600 colonoscopies, the number of resected polyps markedly decreased, whereas the APP showed a slight increase compared to the previous phase.
Based on Fig. 1, the training phases were categorized into 3 stages: phase 1 (from the beginning of training to 200 colonoscopies), phase 2 (200–500 colonoscopies), and phase 3 (>500 colonoscopies). Table 3 presents a comparison of the colonoscopy outcomes between trainees and expert endoscopists in each phase. The PDR gradually increased with training and, in phase 3, showed no statistically significant difference compared to the expert group (59.8% vs. 63.3%, P = 0.062). However, the ADR also increased progressively throughout the training but remained significantly lower than that of the experts, even in phase 3 (48.3% vs. 53.3%, P = 0.003). The APP showed a decline in phase 2 and then increased again in phase 3, reaching a higher value than that in phase 1; however, it still showed a statistically significant difference compared with the expert group (69.9% vs. 73.9%, P = 0.027).
Table 4 presents the individual colonoscopy results of the 9 trainees. The PDR, ADR, and APP showed statistically significant differences among the trainees. In addition, none of the 9 trainees achieved an expert APP value of 73.9%.
This study introduced the concept of APP to assess changes in the visual discrimination ability of lesions during colonoscopy. An assessment of the APP progression over time revealed a pattern that could be categorized into 3 distinct phases (Fig. 1, Table 3). Phase 1 represents the familiarization stage with colonoscopy, during which the APP was relatively low, and the number of resected polyps was small. This phase suggests limited polyp detection, leading to a lower PDR and ADR. This pattern was observed from the beginning of training to approximately 200 colonoscopies. Phase 2 marks the stage in which trainees become accustomed to colonoscopy, leading to an increase in polyp detection. As a result, the number of resected polyps increased, whereas the APP declined. The PDR and ADR improved during this phase, which persisted until approximately 500 colonoscopies were performed. In phase 3, the number of resected polyps decreased, compared with that in the previous phase, whereas the APP increased. Furthermore, the PDR and ADR continued to increase during this stage. These findings suggest that, while trainees had improved in detecting polyps, they also developed the ability to assess polyp morphology and decide whether resection was necessary, leading to a reduction in the total number of resected polyps and an increase in APP. However, despite the improvement in the APP, the trainees did not reach the expert level, indicating that visual discrimination skills for polyp assessment should continue to develop even after the training period.
Various lesions can develop in the colon; however, not all detected lesions are pathological. Therefore, efforts have been made to effectively differentiate these lesions. The most well-known classification systems include the Kudo classification, which utilizes pit patterns; the Japan NBI Expert Team (JNET) classification, based on capillary patterns; and the Paris classification [78]. These classification systems help endoscopists to distinguish between lesions and determine whether resection is necessary. Although it is possible to resect all detected lesions, doing so presents several challenges, including increased patient discomfort due to a prolonged procedure time, a higher risk of bleeding and perforation from excessive resection, increased physician fatigue, and elevated procedural costs [111213]. Therefore, endoscopists are required to resect lesions that are deemed necessary, accurately and selectively. Lesion discrimination is an essential skill for endoscopists, and endoscopic training programs should incorporate methods to teach and refine this ability. However, to date, there is no direct metric for objectively assessing lesion discrimination skills. Previous studies have primarily focused on the ADR and PDR as key training metrics, with the assumption that higher detection rates reflect improved endoscopic skills [3456]. However, these metrics fail to account for the decision-making process involved in lesion resection, a crucial aspect of colonoscopic proficiency. Our findings suggest that the APP may provide additional insights into how trainees develop lesion discrimination skills over time. Unlike the ADR, which primarily measures detection ability, the APP reflects a trainee’s ability to determine whether a detected lesion warrants resection. This distinction highlights the APP as a complementary training metric that may enhance the assessment of colonoscopy training along with the ADR.
This study included 9 trainees, with 3 enrolled each year over a 3-year period. They underwent the same training using a standardized 1-year colonoscopy training system, which was structured based on previous research [10]. In the early stages of training, experts provided supervision and guidance throughout the colonoscopy procedure; however, as the training progressed, greater autonomy was granted to the trainees, with supervisors intervening only when necessary. To enhance endoscopy knowledge, structured educational sessions were conducted weekly, including lectures from experts, trainee-led topic presentations, and journal reviews. This training approach ensured adequate quality control in colonoscopy, as evidenced by an ADR of 41.9% in phase 1, which exceeded the recommended minimum ADR threshold of 25%, even in the early stages of training [1415]. Additionally, in phase 3, when supervisors were less involved, the ADR further increased to 48.3%, demonstrating the effectiveness of the training program. Similarly, the APP was the highest in phase 3, where expert intervention was relatively minimal, suggesting that trainees developed independent lesion discrimination skills through structured education. These findings highlight the importance of incorporating hands-on colonoscopy practice and structured learning from experts and self-directed studies through textbooks and journal reviews in colonoscopy training programs.
The study findings have several implications. First, acquiring the ability to discriminate between lesions requires extensive experience. Considering that this ability is essential for avoiding unnecessary resections, phase 3, in which trainees maintained an adequate level of ADR while performing fewer polypectomies and achieving a higher APP, can be interpreted as the stage at which lesion discrimination skills were acquired. This phase was reached after >500 colonoscopies, which exceeds the relatively lower number of colonoscopies traditionally considered sufficient for colonoscopy training [161718]. Second, the APP varied among endoscopists. Some ambiguous lesions may require polypectomy for biopsy purposes, and such lesions cannot be incorrectly resected solely because they are not pathological. As a result, differences in interpretation exist among endoscopists, leading to variations in the APP. Notably, such discrepancies can also be observed among experts with well-established lesion discrimination skills, suggesting that the APP alone is insufficient as an absolute metric for evaluating endoscopists. Instead, it should be recognized as a complementary training assessment tool that can be used alongside other quality indicators, such as the ADR. Third, trainees still exhibited differences from experts even after completing colonoscopy training. In phase 3, which corresponded to the later stage of training, the ADR and APP among trainees remained lower than those of the experts (Table 3). This suggests that there is room for further technical improvement, even after completing training. Therefore, trainees should continue learning through self-directed studies and seek ongoing guidance from experts to refine their skills further. As a reference, the pathologic results of the 2 groups are summarized in Supplementary Table 1, which shows that nonspecific changes were the most common nonpathologic findings in both groups, followed by hyperplastic and inflammatory polyps. The higher proportion of nonspecific and hyperplastic polyps in trainees likely contributed to their lower APP.
In addition, this study has some limitations. First, it was a retrospective study. Given the large number of colonoscopy results, inaccurate data entry is possible. Second, this study does not establish an optimal threshold for APP. As previously discussed, the APP is influenced more by individual endoscopist tendencies than by other colonoscopy quality indicators. Furthermore, while APP may be useful in reflecting lesion discrimination skills, overemphasizing this metric could unintentionally discourage polypectomy for borderline or ambiguous lesions. This could increase the risk of missing adenoma, especially if polypectomy decisions are influenced primarily by the efforts to improve APP. Therefore, a higher APP cannot be universally regarded as favorable. To address this limitation, we provided the APP values of the experts as a reference; however, this cannot be definitively considered the optimal APP threshold. Further studies are needed to determine the appropriate APP range by analyzing data from a larger number of endoscopists. Third, selection bias should be considered as the study was conducted at a single institution with a structured training program. Future studies should validate these findings across multiple centers to enhance generalizability. Fourth, the results were derived from the average APP of trainees, which means that individual trainees may not fully reflect the overall findings of this study. Additionally, there was considerable variation in the number of colonoscopies performed by trainees over the course of 1 year. This discrepancy raises the potential concern that not all trainees undergo the same training process.
Despite these limitations, this study has several strengths. Compared to previous studies on colonoscopy training, this study included a larger number of colonoscopies performed by trainees, allowing for a more comprehensive evaluation of training outcomes, particularly in the later stages. Furthermore, this study provides a direct comparison by including colonoscopy results obtained by experts within the same time frame. This allows for an immediate evaluation of trainee performance compared with that of experts. The current 1-year colonoscopy training course has been established for 20 years, ensuring a standardized curriculum. This allowed us to assume that all trainees underwent the same educational process, which was another strength of this study.
In conclusion, the APP is a valuable metric for evaluating lesion discrimination ability in colonoscopy training. It underwent a 3-stage progression demonstrating how trainees developed their lesion assessment skills over time. This pattern of change suggests that APP could serve as an additional indicator for assessing the effectiveness of colonoscopy training.
Notes
This study was presented as an oral presentation at the 55th Congress of the Korean Society of Endo-Laparoscopic & Robotic Surgery and the 14th International Symposium, in April 2024, in Daejeon, Korea.
Fund/Grant Support: This work was supported by a grant from the Ministry of Education of the Republic of Korea and the National Research Foundation of Korea (RS-2022-NR070320) and a grant from the Korea Cancer Survivors Healthcare R&D Project through the National Cancer Center, funded by the Ministry of Health & Welfare, Republic of Korea (RS-2023-CC140143).
References
1. Bretthauer M, Løberg M, Wieszczy P, Kalager M, Emilsson L, Garborg K, et al. Effect of colonoscopy screening on risks of colorectal cancer and related death. N Engl J Med. 2022; 387:1547–1556. PMID: 36214590.

2. Robertson DJ, Dominitz JA, Beed A, Boardman KD, Del Curto BJ, Guarino PD, et al. Baseline features and reasons for nonparticipation in the colonoscopy versus fecal immunochemical test in reducing mortality from colorectal cancer (CONFIRM) study, a colorectal cancer screening trial. JAMA Netw Open. 2023; 6:e2321730. PMID: 37432690.
3. Rex DK. Key quality indicators in colonoscopy. Gastroenterol Rep (Oxf). 2023; 11:goad009. PMID: 36911141.

4. ASGE Training Committee. Walsh CM, Umar SB, Ghassemi S, Aihara H, Anand GS, et al. Colonoscopy core curriculum. Gastrointest Endosc. 2021; 93:297–304. PMID: 32854938.

5. Min JK, Cha JM, Cho YK, Kim JH, Yoon SM, Im JP, et al. Revision of quality indicators for the endoscopy quality improvement program of the national cancer screening program in Korea. Clin Endosc. 2018; 51:239–252. PMID: 29874905.

6. Shin R, Lee S, Han KS, Sohn DK, Moon SH, Choi DH, et al. Guidelines for accreditation of endoscopy units: quality measures from the Korean Society of Coloproctology. Ann Surg Treat Res. 2021; 100:154–165. PMID: 33748029.

7. Dornblaser D, Young S, Shaukat A. Colon polyps: updates in classification and management. Curr Opin Gastroenterol. 2024; 40:14–20. PMID: 37909928.

8. Mareth K, Gurm H, Madhoun MF. Endoscopic recognition and classification of colorectal polyps. Gastrointest Endosc Clin N Am. 2022; 32:227–240. PMID: 35361333.

9. Song YM, Han KS, Kim BC, Hong CW, Kim B, Kim MC, et al. Analysis of adenoma detection rate of colonoscopy among trainees. Ann Coloproctol. 2024; 40:548–554. PMID: 39191316.

10. Oh JR, Han KS, Hong CW, Kim BC, Kim B, Park SC, et al. Colonoscopy learning curves for colorectal surgery fellow trainees: experiences with the 15-year colonoscopy training program. Ann Surg Treat Res. 2018; 95:169–174. PMID: 30310799.

11. Johnson GG, Helewa R, Moffatt DC, Coneys JG, Park J, Hyun E. Colorectal polyp classification and management of complex polyps for surgeon endoscopists. Can J Surg. 2023; 66:E491–E498. PMID: 37734853.

12. Sadeghi A, Salarieh N, Ketabi Moghadam P. A step-by-step guide to approaching colon polyps. Gastroenterol Hepatol Bed Bench. 2023; 16:347–356. PMID: 37767319.
13. Mathews AA, Draganov PV, Yang D. Endoscopic management of colorectal polyps: from benign to malignant polyps. World J Gastrointest Endosc. 2021; 13:356–370. PMID: 34630886.

14. Shaukat A, Rex DK, Shyne M, Church TR, Perdue DG. Adenoma detection rates for 45- to 49-year-old screening population. Gastroenterology. 2022; 162:957–959. PMID: 34537208.

15. Rex DK, Boland CR, Dominitz JA, Giardiello FM, Johnson DA, Kaltenbach T, et al. Colorectal cancer screening: recommendations for physicians and patients from the U.S. Multi-Society Task Force on Colorectal Cancer. Gastrointest Endosc. 2017; 86:18–33. PMID: 28600070.

16. Ward ST, Mohammed MA, Walt R, Valori R, Ismail T, Dunckley P. An analysis of the learning curve to achieve competency at colonoscopy using the JETS database. Gut. 2014; 63:1746–1754. PMID: 24470280.

17. ASGE Standards of Practice Committee. Faulx AL, Lightdale JR, Acosta RD, Agrawal D, Bruining DH, et al. Guidelines for privileging, credentialing, and proctoring to perform GI endoscopy. Gastrointest Endosc. 2017; 85:273–281. PMID: 28089029.

18. Sedlack RE. The Mayo Colonoscopy Skills Assessment Tool: validation of a unique instrument to assess colonoscopy skills in trainees. Gastrointest Endosc. 2010; 72:1125–1133. PMID: 21111866.

SUPPLEMENTARY MATERIALS
Supplementary Table 1 can be found via https://doi.org/10.4174/astr.2025.109.2.113.



PDF
Citation
Print



XML Download