Journal List > Ann Lab Med > v.45(5) > 1516092329

Kang, Roh, Lee, Park, Lee, Lee, Hwang, Shim, and Choi: Complement Activation and Hemolysis in Non-human Primates Following Transfusion of Genetically Modified Pig Red Blood Cells

Abstract

Background

Pig red blood cells (RBCs) are rapidly eliminated when transfused into non-human primates (NHPs) because of immune reactions involving antibody binding and complement activation. We assessed the relationship between post-transfusion hemolysis and complement activation.

Methods

RBCs for transfusion were prepared from wild-type (WT) and genetically modified pigs and NHPs. After the withdrawal of 25% of the blood volume, NHPs received transfusions of WT (N=4), triple knockout (TKO, N=8), and TKO pig RBCs expressing human CD55 and CD39 (TKO/hCD55.hCD39, N=4). Additional groups received repeated xenotransfusions (ReXTf, N=3), NHP RBC transfusions (N=3), or a saline infusion (N=4). Blood samples were collected at multiple time points to measure Hb and complement fragment (C3a, C4a, and factor Bb) levels and agglutination titers.

Results

Hb levels were restored by transfusions but not by saline infusion. The degree of complement activation varied with the type of transfused RBCs, with significant increases in C3a and factor Bb levels immediately after xenotransfusions but not allotransfusions. These increases were particularly notable in ReXTf and negatively correlated with Hb levels on post-transfusion day 1 (ρ=–0.547 and –0.556; P=0.0187 and 0.0165, respectively). In TKO/hCD55.hCD39 pig RBC transfusions, C3a and factor Bb peak levels were delayed until post-transfusion day 3, unlike in TKO pig RBC transfusions.

Conclusions

Post-transfusion complement activation varies depending on prior sensitization and genetic modifications in pig RBCs. Monitoring complement activation can provide insight into the survival and compatibility of transfused RBCs in NHPs.

INTRODUCTION

Xenotransfusion (XTf), the practice of transfusing animal blood into humans, emerged centuries ago as an emergency treatment for severe hemorrhage [1]. With the development of modern homologous transfusion practices, XTf became obsolete [2]. However, the decreasing rates of blood donations and the narrowing gap between supply and demand have raised concerns about the sustainability of human blood resources in healthcare [3, 4], prompting the exploration of viable alternatives to human blood for transfusion. Among the potential solutions [5], genetically modified pigs, designed to evade human immune responses, represent a promising approach [6, 7]. Substantial progress has been made in xenotransplantation and in exploring the potential of genetically modified pig blood for transfusion purposes [8, 9].
When blood is transfused, the recipient’s immune system typically recognizes and attacks foreign red blood cells (RBCs) [10]. This process is primarily mediated by antibody binding and complement activation, resulting in the destruction of the transfused RBCs either intravascularly or via phagocytosis in the reticuloendothelial system [11]. When complement-fixing antibodies bind to RBCs, they initiate a cascade, leading to the formation of the classical pathway C3 convertase (C4bC2a), which cleaves C3 into C3a and C3b [12]. C4b and C3b covalently bind to the target surface, whereas C4a and C3a, as anaphylatoxins, are released into the fluid phase [12]. Concurrently, factor B binds to C3(H2O) or surface-bound C3b and is cleaved by factor D into Ba and Bb, leading to the formation of the alternative pathway C3 convertase (C3bBb), which further cleaves C3 [12]. Newly formed C3b and existing convertases form C5 convertases, resulting in membrane attack complex formation and intravascular hemolysis [12]. Additionally, bound antibodies or C3b fragments, acting as opsonins, promote phagocytosis by macrophages in the reticuloendothelial system, contributing to extravascular hemolysis [11]. Meanwhile, CD55 on the RBC surface regulates complement activity, protecting against excessive lysis [12].
We previously demonstrated in in-vitro studies that unlike wild-type (WT) pig RBCs, which are predominantly lysed in human serum, genetically modified triple knockout (TKO) type-O pig RBCs exhibited minimal hemolysis, comparable to that observed in human type-O RBCs [13]. These TKO pigs did not express galactose-α1,3-galactose, N-glycolylneuraminic acid, and Sda antigens, against which humans naturally acquired antibodies. The introduction of human CD55 and CD39 into the TKO modification (TKO/hCD55.hCD39) improved protection against lysis in sera with high anti-pig antibody titers, suggesting enhanced resistance to serum-mediated lysis [13]. In a non-human primate (NHP) model of acute blood loss, WT and TKO-modified pig RBCs maintained transfusion efficacy for up to 24 hrs post-transfusion [14]. However, the cells were rapidly cleared from the circulation, and the underlying mechanisms remained unclear, underscoring the need for further in vivo studies using NHP models to elucidate XTf pathophysiology.
Several methods are available for monitoring complement activation; however, the direct measurement of activation products, such as C3a, C4a, and factor Bb, reflecting total, classical pathway, and alternative pathway complement activity, respectively, offers concrete evidence of complement activity [15]. These products are detected using kits that identify exposed neoepitopes following complement protein cleavage, offering a reliable measure of complement activation independent of the presence of full-length proteins [16]. Although these kits are primarily used in research settings [15, 17], our extensive experiments with NHPs have confirmed their effectiveness in detecting complement activation in primate blood [18, 19]. Therefore, we aimed to measure these three complement activation products alongside Hb in an XTf NHP model to elucidate the biological changes in the complement system associated with post-transfusion hemolysis in vivo.

MATERIALS AND METHODS

Blood samples from NHPs

All animal care and use protocols were approved by the Institutional Animal Care and Use Committee of Optipharm, Life Science Institute for pigs (approval No.: OPTI-IAC-2405) and by the Institutional Animal Care and Use Committee of the Korea Institute of Toxicology for NHPs (approval Nos.: IAC-23-01-0389-0165, IAC-23-01-0302-0133, and IAC-23-01-0627-0344). The animal experiments were conducted over a 14-month period, from March 2023 to May 2024. Whole blood (300 mL) was collected from WT or genetically modified pigs (Optipharm, Chungcheongbuk-do, Korea) with blood type O into a bag containing an acid citrate dextrose (ACD) solution (Changyoung Medical, Chungcheongbuk-do, Korea). The collected blood was filtered through a BioR leukocyte depletion filter (Fresenius Kabi AG, Bad Homburg, Germany) and washed twice with normal saline. The hematocrit level was restored to its initial value using SAG-M additive solution (Changyoung Medical). All procedures were performed aseptically [14]. For allotransfusion (AlloTf), major cross-matching between donor RBCs and recipient sera from cynomolgus monkeys (Macaca fascicularis; Nafovanny, Dong Nai, Vietnam) was performed using the agglutination method, and all pairs were found to be compatible. Fifty milliliters of whole blood was collected from each healthy donor monkey into a blood bag containing a precisely adjusted amount of ACD solution. The remaining preparation steps for monkey RBCs were identical to those used for pig RBCs. The blood from four monkeys was pooled and divided into two blood bags.
The NHP animal study design is illustrated in Fig. 1. Twenty cynomolgus monkeys were used. From each animal, 25% of the total blood volume was withdrawn and replaced with an equivalent volume (median 69 [63–70] mL) of WT, TKO, or TKO/hCD55.hCD39 pig RBCs (N=4, 8, and 4, respectively), or saline (N=4) as a control. Blood samples were collected from each animal in EDTA-containing or plain tubes on day 0 before the intervention (D0Pre), after blood withdrawal (D0Bl), immediately after RBC or saline administration (D0Tf), and on days 1, 3, 5, 7, 14, and 21 (D1, D3, D5, D7, D14, and D21, respectively). Hb levels were measured using an ADVIA2120i hematology analyzer (Siemens, Tarrytown, NY, USA) immediately after sample collection. Plasma and serum were separated within 1 hr, aliquoted, and stored at –70°C until use. For the second transfusion experiment conducted 8 weeks after the first transfusion, three animals were re-transfused with WT (N=1) or TKO (N=2) pig RBCs (ReXTf), whereas three animals, which were transfused with TKO/hCD55.hCD39 pig RBCs, were transfused with NHPs RBCs (AlloTf), following the same protocol. Among the experiments with 20 animals, those with 10 animals, including two saline infusions, four WT-XTf, four TKO-XTf, and three ReXTf experiments, have been reported previously [14]. Hb, C3a, C4a, and factor Bb data and leftover samples from our previous study [14] were included in this analysis.

Measurement of complement activation markers

The levels of C3a and C4a were measured using human C3a and C4a ELISA kits (BD Biosciences, San Diego, CA, USA) following the manufacturer’s instructions. In blood plasma or serum, newly formed C3a or C4a anaphylatoxins are rapidly converted to their desArg form using serum carboxypeptidase N. The above ELISA kits specifically quantify C3a-desArg and C4a-desArg in samples. Briefly, 100 µL of 1:500-diluted NHP-EDTA plasma was added to a well precoated with anti-human C3a-desArg or anti-human C4a-desArg monoclonal antibodies. After a 2-hr incubation at 22°C, the wells were washed, and 100 µL of a detector mixture, containing biotinylated anti-human C3a or C4a polyclonal antibodies and streptavidin–horseradish peroxidase conjugates, was added. Following a 1-hr incubation at 22°C, the wells were washed again, and C3a or C4a was detected through a color reaction. The absorbance at 450 nm in each well was measured using an Epoch ELISA reader (BioTek Instruments, Winooski, VT, USA).
Factor Bb levels were measured using a MicroVue Bb Plus EIA kit (Quidel, San Diego, CA, USA). Bb is an activation fragment of factor B that is part of the alternative complement pathway. The extent of alternative pathway activation at the time of sample collection can be measured by quantifying the amount of factor Bb. One hundred microliters of 1:20-diluted NHP-EDTA plasma was added to a well precoated with specific anti-human Bb monoclonal antibodies, which do not bind to intact factor B or other complement fragments. After incubation and washing, the factor Bb captured in the wells was detected using horseradish peroxidase-conjugated murine anti-human Bb, followed by a color reaction. Each sample was tested in duplicate, and the concentration was calculated from a set of standards tested in parallel. Detailed information on the reagents is provided in Supplemental Data Table S1.

Measurement of pre-transfusion agglutination titers

Major cross-matching between the RBCs prepared for transfusion and the pre-transfusion serum (D0Pre) of each recipient monkey was performed using the agglutination method, with an ID-gel card system (Bio-Rad, Hercules, CA, USA), following the manufacturer’s instructions. Briefly, 50 µL of an 0.8% suspension of RBCs intended for transfusion and 25 µL of recipient NHP serum were sequentially placed into a gel card microcolumn. After a 10-min incubation at 15–25°C, the microcolumn was centrifuged, and agglutination was visually assessed. Samples that showed positive agglutination were further titrated with dilutions of the test serum.

Statistical analysis

Statistical analyses were conducted using MedCalc version 22.0 (MedCalc, Ostend, Belgium). To account for individual variations, data were transformed into ratios or differences (Δ) based on the results at D0Pre. Differences in biomarker levels between two groups were assessed using the Mann–Whitney U test, and differences between more than two groups using the Kruskal–Wallis test. Relationships among variables were evaluated using Spearman’s rank correlation analysis. Group data are expressed as median (interquartile range), and statistical significance was set at P<0.05.

RESULTS

Pre-transfusion agglutination titers

The pooled NHP RBCs did not agglutinate in NHP recipient sera (N=3), whereas TKO and TKO/hCD55.hCD39 pig RBCs exhibited minimal agglutination in NHP recipient sera (N=8 and N=4 for TKO and TKO/hCD55.hCD39 pig RBCs, respectively), which was not significantly different from that of NHP RBCs (Fig. 2). Conversely, WT pig RBCs in naïve NHP sera, or WT or TKO pig RBCs in sera from NHPs with prior XTf exposure demonstrated significant agglutination, with significantly higher titers (32 [18–32]) than those in the other groups (negative [negative to neat], P=0.0001).

Changes in Hb and complement activation markers post-transfusion

The Hb, C3a, C4a, and factor Bb levels are summarized in Table 1. Blood Hb levels decreased with blood withdrawal and recovered with RBC transfusions but not with saline infusion. Median Hb levels differed among groups from D0Tf to D7. Median levels of C3a on D0Pre, D0Bl, D0Tf, and D3 and those of C4a on D1, D7, and D14 differed among groups. Median factor Bb levels differed among the groups after transfusion, from D0Tf to D7, which was in accordance with the changes in Hb levels.
To visualize the changes in Hb from the basal level, the ratios of Hb levels at all time points to the level at D0Pre were plotted (Fig. 3A). The Hb ratios dropped after blood withdrawal on D0Bl in all groups (0.88 [0.85–0.90]), with no differences among the groups. The ratio values in the transfusion groups on D0Tf increased (1.05 [0.99–1.10]), regardless of the type of transfused RBCs, different from those in the saline group (0.79 [0.78–0.83], P=0.0018). Hb ratios in all groups decreased after D0Tf, and the values on D1 were lower in the saline (0.69 [0.67–0.73] and ReXTf (0.76 [0.73 to 0.78]) groups than in the other transfusion groups (0.89 [0.84–0.95], P=0.0027 and 0.0112, respectively). On D3, the Hb ratio remained steady in the AlloTf (0.83 [0.81–0.88]) group but further decreased in the other groups (0.70 [0.66–0.76], P=0.0177). Subsequently, the Hb ratios gradually recovered to basal levels until D21.
The differences in the C3a, C4a, and factor Bb levels at each time point as of D0Pre are illustrated in Fig. 3B. Although C3a and C4a levels fluctuated throughout the experiment, they remained largely consistent with those at baseline, except in the ReXTf group, in which the ΔC3a level on D0Tf was significantly higher than those in the other groups (1.38 [0.82–1.65] µg/mL vs. 0.03 [–0.01 to 0.16] µg/mL, P=0.0063). The ΔC3a levels differed among the groups on D1, D5, D7, and D21, but by <0.3 µg/mL. Similarly, ΔC4a values significantly differed among the groups on D1 and D21. On D1, the ΔC4a values for the TKO-XTf and saline groups (0.17 [0.11–0.68] µg/mL) were greater than those in the other groups (–0.15 [–0.26 to –0.07] µg/mL, P<0.0001). By D21, the values in the saline, TKO-XTf, and ReXTf groups (–0.08 [–0.21 to 0.06] µg/mL) were greater than those in the AlloTf and WT-XTf groups (–0.34 [–0.56 to –0.27] µg/mL, P=0.0023), indicating inconsistent ranking of the groups throughout the experiment. The Δfactor Bb values differed significantly among the groups on D0Tf and D1. On D0Tf, the value in the ReXTf group (24.8 [21.38–25.14] µg/mL) was significantly greater than those in WT and TKO-XTf groups (5.02 [0.56–8.70] µg/mL, P=0.0044) and those in the saline and AlloTf groups (0.75 [0.33–0.97] µg/mL, P=0.0167), and on D1, the value in the ReXTf group (20.7 [11.23–21.31] µg/mL) was greater than those in the WT and TKO-XTf groups (2.08 [1.12 to 3.70] µg/mL, P=0.0044), which were greater than those in the AlloTf and saline groups (0.43 [0.02–0.58] µg/mL, P=0.0044). These group orders were in accordance with the Hb change ranks. The rank correlation analysis revealed that the values of ΔC3a and Δfactor Bb on D0Tf were negatively correlated with the ratio value of Hb on D1 in all groups (ρ=–0.547 and –0.556 and –0.547; P=0.0187 and 0.0165, respectively) (Fig. 3C).

Effect of TKO/hCD55.hCD39 pig RBC XTf on complement activation

We examined the effect of CD55 knockin on complement fragment levels in NHPs transfused with TKO pig RBCs and TKO/hCD55.hCD39 pig RBCs (Fig. 4). Similar to the findings in the TKO-XTf group, the levels of C3a and Bb increased following transfusion in the TKO/hCD55.hCD39 XTf group. Notably, peak times were delayed to D3 versus D0Tf in the TKO-XTf group. The ΔC3a and Δfactor Bb values on D3 in the TKO/hCD55.hCD39 XTf group (0.20 [0.0.15–0.24] µg/mL and 3.21 [2.60–4.11] µg/mL, respectively) were significantly greater than those in the TKO-XTf group (0.03 [–0.01 to 0.06] µg/mL and 0.45 [0.21–0.64] µg/mL, P=0.0065 and 0.0283, respectively).

Association of complement activation markers with pre-transfusion agglutination titers

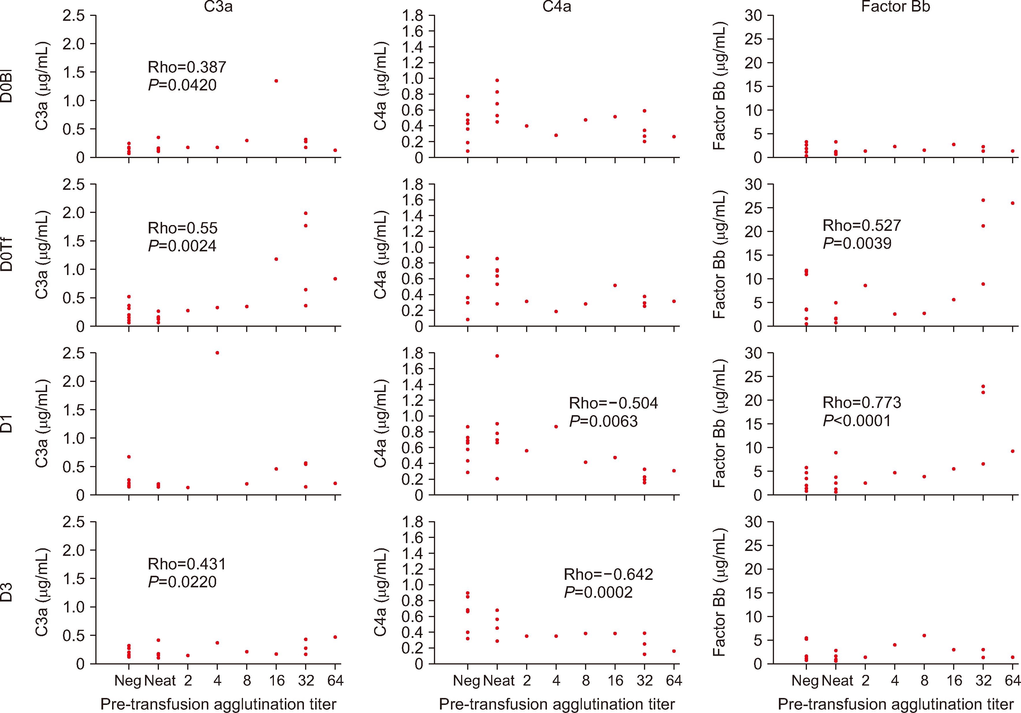
To determine the effect of pre-transfusion agglutination titers on complement activation fragments, C3a, C4a, and factor Bb levels on D0Bl, D0Tf, D1, and D3 were plotted against pre-transfusion agglutination titers (Fig. 5). C3a levels exhibited a modest correlation with pre-transfusion agglutination titers; however, this relationship was evident even on D0Bl, before transfusion. Notably, C4a levels on D1 and D3 were negatively correlated with the titers. Conversely, factor Bb levels on D1 strongly correlated with the titers, providing reliable evidence of transfusion-induced complement activation.

DISCUSSION

We analyzed changes in complement activation products alongside Hb levels over time in a controlled transfusion setting using an NHP model to examine variations according to prior sensitization, transfused RBC type, and pre-existing antibody titers. Specifically, we measured C3a, C4a, and factor Bb levels, providing insights into the pathophysiological changes occurring after transfusion. Changes in factor Bb levels correlated well with Hb level changes post-transfusion. Transfusion with pig RBCs expressing human CD55 resulted in corresponding differences in C3a and factor Bb levels, aiding our understanding of the biological responses following transfusion.
We induced a rapid decrease in Hb levels in NHPs through massive blood removal, subsequently restoring blood volumes through saline infusion, homologous RBC transfusion, or transfusion of various genetically modified pig RBCs. In XTf cases, as shown previously [14], the transfusion effect lasted up to 24 hrs, regardless of genetic modification, but did not persist until D3. For individuals who had previously received XTfs, the transfusion effect decreased immediately and did not last 24 hrs [14]. Conversely, individuals receiving AlloTf maintained the transfusion effect until Hb levels normalized. These differences can be attributed to variations in anti-RBC antibodies, complement activation, and macrophage responses induced by each transfused RBC type. In the case of ReXTf, rapid intravascular and extravascular hemolysis occurred [14], likely because of a large amount of antibodies against pig RBCs generated after prior transfusions. Despite the insignificant difference in antibody agglutination titers between the ReXTf and WT-XTf groups, the more rapid decrease in Hb levels observed in the ReXTf group suggests a significant change in the quality of the induced anti-pig RBC antibodies. Notably, sera from individuals with prior XTf showed no agglutination with homologous RBC, and the transfusion effect was also better maintained in the AlloTf group than in the XTf group, suggesting that pig RBC transfusion does not increase the risk of subsequent homologous transfusions.
TKO pig RBCs induced significantly lower agglutination titers in pre-transfusion cross-match tests with NHPs than did WT pig RBCs, but the Hb decrease rate after transfusion was similar to that observed with WT pig RBCs. Anti-pig RBC antibodies induced immediately post-transfusion may have been more potent than pre-existing antibodies in reacting to WT pig RBCs. Another possibility is that pig RBCs express markers that are more readily recognized and phagocytosed by NHP macrophages than those on homologous RBCs. Alternatively, mechanisms regulating phagocytosis in the reticuloendothelial system may not function as effectively with pig RBCs, leading to their faster clearance from the bloodstream. These factors likely interact to cause differences in the clearance rates of transfused RBCs from the blood.
Measuring the extent of complement activation post-transfusion can help elucidate the fate of transfused RBCs [16, 17]. We hypothesized that NHP XTf recipients would possess antibodies more capable of reacting to pig RBCs than to homologous RBCs, leading to increased complement activation after XTf. Accordingly, decreases in Hb levels after transfusion were faster with pig RBCs than with homologous RBCs. Notably, increases in C4a levels, indicating classical complement pathway activation, were not evident in the XTf groups, and their level changes in different transfusion settings did not correlate well with the changes in Hb levels after transfusion. However, increases in C3a and factor Bb levels immediately after transfusion correlated with Hb level decreases observed 24 hrs later, whereas those in C4a levels did not. Factor Bb levels consistently increased following XTf and then returned to baseline, as observed across various genotypes of pig RBC transfusions, but remained low following AlloTf or saline infusion. Notably, in the TKO/hCD55.hCD39 XTf group, the peak times for C3a and factor Bb were delayed from D0Tf to D3 compared with those in the TKO-XTf group. CD55 acts as a complement inhibitor, disrupting and preventing the formation of C3 convertase, thereby protecting RBCs from excessive complement activity [20, 21]. Thus, the delayed production of C3a and factor Bb is likely owing to human CD55 protein expression on pig RBCs. TKO/hCD55.hCD39 pigs were originally developed for solid-organ xenotransplantation, and their expression of human CD39, an ATPase that regulates platelet activation, is unlikely to play a role in this delay of complement activation [7]. Nevertheless, in the present study, human CD55 did not sufficiently protect RBCs to significantly alter post-transfusion Hb levels. Further multifaceted biological analyses are required to determine whether this delay is clinically beneficial.
Contrary to our expectation of a post-transfusion increase in the C4a level, we found a significant increase in the level of factor Bb, an alternative pathway product, and changes in C3a and C4a levels varied individually. C3a and C4a, which are small anaphylatoxins of approximately 9 kDa (74–77 residues) [22], may not remain in circulation for long because of binding by receptors on various inflammatory cells [23, 24]. Conversely, the classical complement activation pathway generates C3b, which binds to factor B, initiating alternative complement pathway activation [12, 22]. This may explain the observed post-transfusion increase in factor Bb levels associated with pre-transfusion RBC agglutination titers.
Approximately 25% of the circulating blood was removed from the NHPs before transfusion or saline infusion, potentially lowering complement protein concentrations and subsequently reducing the production of complement activation products. Particularly when complement activation continues, leading to the consumption of C3 and C4 proteins, C3a and C4a levels may not increase as expected [25]. This may explain the negative correlation between post-transfusion C4a levels and pre-transfusion agglutination titers.
This study had several limitations. The inherent constraints of primate research limit the number of experimental participants, necessitating the inclusion of previously published data and samples. To minimize pre-analytical errors, we strictly adhered to established guidelines for sample collection and processing for complement assessments [15]. Despite these precautions, considerable variability was observed in complement activation product levels, hindering statistical significance in groups with a small number of participants. Additionally, the reagents used were intended for measuring human proteins, and NHP protein measurements were conducted through cross-reactions, suggesting that the expressed concentrations may not be accurate and may only represent relative quantities. Nonetheless, similar patterns may be expected in future human studies.
Post-transfusion complement activation varies depending on prior sensitization and genetic modifications in pig RBCs. Monitoring complement activation can provide insights into the survival and compatibility of transfused RBCs in NHPs. Future research should focus on measuring complement activation products as a disease marker or monitoring various clinical conditions triggered by complement activation [16], including xenotransplantation [26].

ACKNOWLEDGEMENTS

None.

Notes

AUTHOR CONTRIBUTIONS

Conceptualization: Kang HJ, Hwang JH, and Choi K; Methodology: Kang HJ, Rho J, Hwang JH, and Choi K; Investigation: Rho J, Park EM, Lee H, Lee HW, Lee JY, and Shim J; Visualization: Kang HJ; Funding acquisition: Kang HJ and Hwang JH; Project administration: Rho J, Hwang JH, Shim J, and Choi K; Supervision: Kang HJ; Writing – original draft: Kang HJ; Writing – review & editing: Kang HJ, Rho J, and Hwang JH.

CONFLICTS OF INTEREST

Shim J and Choi K are employees of Optipharm. The authors declare that the research was conducted in the absence of commercial or financial relationships that could be construed as potential conflicts of interest.

RESEARCH FUNDING

This study was supported by the Institute of Civil Military Technology Cooperation and funded by the Defense Acquisition Program Administration and the Ministry of Trade, Industry, and Energy of the Korean Government (grant No. 22-CM-EC-18).

Appendix

SUPPLEMENTARY MATERIALS

Supplementary materials can be found via https://doi.org/10.3343/alm.2024.0443.

REFERENCES

1. Learoyd P. 2012; The history of blood transfusion prior to the 20th century-part 1. Transfus Med. 22:308–14. DOI: 10.1111/j.1365-3148.2012.01180.x. PMID: 22994447.
2. Learoyd P. 2012; The history of blood transfusion prior to the 20th century-part 2. Transfus Med. 22:372–6. DOI: 10.1111/j.1365-3148.2012.01189.x. PMID: 23016954.
3. Jones JM, Sapiano MRP, Mowla S, Bota D, Berger JJ, Basavaraju SV. 2021; Has the trend of declining blood transfusions in the United States ended? Findings of the 2019 National Blood Collection and Utilization Survey. Transfusion. 61(S2):S1–S10. DOI: 10.1111/trf.16449.
4. Kim HO. 2022; Current state of blood management services in Korea. Ann Lab Med. 42:306–13. DOI: 10.3343/alm.2022.42.3.306. PMID: 34907100. PMCID: PMC8677471.
5. Jahr JS. 2022; Blood substitutes: basic science, translational studies and clinical trials. Front Med Technol. 4:989829. DOI: 10.3389/fmedt.2022.989829. PMID: 36062262. PMCID: PMC9433579. PMID: f0cfaf718a8b4b708189508f119b2ce0.
6. Doudna JA, Charpentier E. 2014; Genome editing. The new frontier of genome engineering with CRISPR-Cas9. Science. 346:1258096. DOI: 10.1126/science.1258096. PMID: 25430774.
7. Cooper DKC, Pierson RN 3rd. 2023; Milestones on the path to clinical pig organ xenotransplantation. Am J Transplant. 23:326–35. DOI: 10.1016/j.ajt.2022.12.023. PMCID: PMC10127379.
8. Smood B, Hara H, Schoel LJ, Cooper DKC. 2019; Genetically-engineered pigs as sources for clinical red blood cell transfusion: what pathobiological barriers need to be overcome? Blood Rev. 35:7–17. DOI: 10.1016/j.blre.2019.01.003. PMID: 30711308. PMCID: PMC6467751.
9. Chornenkyy Y, Yamamoto T, Hara H, Stowell SR, Ghiran I, Robson SC, et al. 2023; Future prospects for the clinical transfusion of pig red blood cells. Blood Rev. 61:101113. DOI: 10.1016/j.blre.2023.101113. PMID: 37474379. PMCID: PMC10968389.
10. Strobel E. 2008; Hemolytic transfusion reactions. Transfus Med Hemother. 35:346–53. DOI: 10.1159/000154811. PMID: 21512623. PMCID: PMC3076326.
11. Neri S, Swinkels DW, Matlung HL, van Bruggen R. 2021; Novel concepts in red blood cell clearance. Curr Opin Hematol. 28:438–44. DOI: 10.1097/MOH.0000000000000679. PMID: 34494977.
12. Walport MJ. 2001; Complement. First of two parts. N Engl J Med. 344:1058–66. DOI: 10.1056/NEJM200104053441406. PMID: 11287977.
13. Park S, Lee H, Park EM, Roh J, Kang PI, Shim J, et al. 2023; Initial investigation on the feasibility of porcine red blood cells from genetically modified pigs as an alternative to human red blood cells for transfusion. Front Immunol. 14:1298035. DOI: 10.3389/fimmu.2023.1298035. PMID: 38035112. PMCID: PMC10682702.
14. Roh J, Hwang JH, Park S, Lee H, Park EM, Lee HW, et al. 2024; Investigation of the efficacy and safety of wild-type and triple-gene knockout pig RBC transfusions in nonhuman primates. Front Immunol. 15:1418249. DOI: 10.3389/fimmu.2024.1418249. PMID: 38994362. PMCID: PMC11236543.
15. Brandwijk RJMGE, Michels MHAM, van Rossum M, de Nooijer AH, Nilsson PH, de Bruin WCC, et al. 2022; Pitfalls in complement analysis: a systematic literature review of assessing complement activation. Front Immunol. 13:1007102. DOI: 10.3389/fimmu.2022.1007102. PMID: 36330514. PMCID: PMC9623276.
16. Prohaszka Z, Nilsson B, Frazer-Abel A, Kirschfink M. 2016; Complement analysis 2016: clinical indications, laboratory diagnostics and quality control. Immunobiology. 221:1247–58. DOI: 10.1016/j.imbio.2016.06.008. PMID: 27475991.
17. Prohászka Z, Kirschfink M, Frazer-Abel A. 2018; Complement analysis in the era of targeted therapeutics. Mol Immunol. 102:84–8. DOI: 10.1016/j.molimm.2018.06.001. PMID: 29933889.
18. Kang HJ, Lee H, Ha JM, Lee JI, Shin JS, Kim KY, et al. 2014; The role of the alternative complement pathway in early graft loss after intraportal porcine islet xenotransplantation. Transplantation. 97:999–1008. DOI: 10.1097/TP.0000000000000069. PMID: 24704666.
19. Park EM, Lee H, Kang HJ, Oh KB, Kim JS, Chee HK, et al. 2021; Early interferon-gamma response in nonhuman primate recipients of solid-organ xenotransplantation. Transplant Proc. 53:3093–100. DOI: 10.1016/j.transproceed.2021.09.028. PMID: 34763883.
20. Wagner E, Frank MM. 2010; Therapeutic potential of complement modulation. Nat Rev Drug Discov. 9:43–56. DOI: 10.1038/nrd3011. PMID: 19960015.
21. Ruiz-Argüelles A, Llorente L. 2007; The role of complement regulatory proteins (CD55 and CD59) in the pathogenesis of autoimmune hemocytopenias. Autoimmun Rev. 6:155–61. DOI: 10.1016/j.autrev.2006.09.008. PMID: 17289551.
22. Dunkelberger JR, Song WC. 2010; Complement and its role in innate and adaptive immune responses. Cell Res. 20:34–50. DOI: 10.1038/cr.2009.139. PMID: 20010915.
23. Mollnes TE, Kirschfink M. 2006; Complement analysis in clinic and research. Adv Exp Med Biol. 586:361–80. DOI: 10.1007/0-387-34134-X_24. PMID: 16893084.
24. Norda R, Schött U, Berséus O, Akerblom O, Nilsson B, Ekdahl KN, et al. 2012; Complement activation products in liquid stored plasma and C3a kinetics after transfusion of autologous plasma. Vox Sang. 102:125–33. DOI: 10.1111/j.1423-0410.2011.01522.x. PMID: 21770955.
25. Nürnberger W, Bhakdi S. 1984; Plasma C3d/C3 quotient as a parameter for in vivo complement activation. J Immunol Methods. 74:87–91. DOI: 10.1016/0022-1759(84)90370-3. PMID: 6334115.
26. Montgomery RA, Stern JM, Lonze BE, Tatapudi VS, Mangiola M, Wu M, et al. 2022; Results of two cases of pig-to-human kidney xenotransplantation. N Engl J Med. 386:1889–98. DOI: 10.1056/NEJMoa2120238. PMID: 35584156.

Fig. 1

Animal study schema. In total, 20 NHPs underwent the withdrawal of 25% of their total blood volume, followed by transfusion with WT, TKO, or TKO/hCD55.hCD39 pig RBCs (N=4, 8, and 4, respectively). Alternatively, some NHPs were infused with normal saline (N=4). Blood samples were collected from the NHPs at D0pre, D0Bl, D0Tf, and at regular intervals (D1, D3, D5, D7, D14, and D21). Eight weeks after the first transfusion, a second transfusion with pig RBCs (ReXTf, N=3) or monkey RBCs (AlloTf, N=3) was conducted in six NHPs, following the same protocol. Data and samples of 10 NHPs from a previous study [14], involving two saline, four WT-XTf, four TKO-XTf, and three ReXTf experiments, were included.

Abbreviations: AlloTf, allotransfusion; D0Pre, day 0 before blood withdrawal; D0B1, day 0 immediately after blood withdrawal; D0Tf, day 0 after transfusion/infusion; D1, D3, D5, C7, D14, and D21, post-transfusion days 1, 3, 5, 7, 14, and 21, respectively; NHP, non-human primate; RBC, red blood cell; ReXTf, repeated xenotransfusions; TKO, triple knockout; TKO/hCD55.hCD39, TKO with human CD55 and CD39 knockins; WT, wild-type; XTf, xenotransfusion.
alm-45-5-509-f1.tif
Fig. 2

Pre-transfusion agglutination titers in sera of NHP recipients and RBCs used for transfusions: WT (N=4), TKO (N=8), or TKO/hCD55.hCD39 (N=4) XTf, ReXTf (N=3), and AlloTf (N=3).

Abbreviations: AlloTf, allotransfusion; NHP, non-human primate; RBC, red blood cell; ReXTf, repeated xenotransfusions; TKO, triple knockout; TKO/hCD55.hCD39, TKO with human CD55 and CD39 knockins; WT, wild-type; XTf, xenotransfusion.
alm-45-5-509-f2.tif
Fig. 3

Changes in Hb, C3a, C4a, and factor Bb levels in NHPs with acute blood removal and subsequent RBC transfusion or saline infusion. (A) Median ratio values with interquartile ranges of Hb levels at each time point relative to the levels on D0Pre. (B) Median differences in the levels of C3a, C4a, and factor Bb at each point from baseline, along with interquartile ranges. Differences among the groups were analyzed using the Kruskal–Wallis test, *P<0.05 or **P<0.005. (C) Differences in the levels of C3a, C4a, and factor Bb on D0Tf from baseline are plotted alongside Hb ratio values on D1. The relationships among the variables were analyzed using Spearman rank correlation. Data of 10 NHPs from a previous study [14], involving two saline, four WT-XTf, four TKO-XTf, and three ReXTf experiments, were included.

Abbreviations: Δ, difference from the basal level; AlloTf, allotransfusion; D0Pre, day 0 before blood withdrawal; D0B1, day 0 immediately after blood withdrawal; D0Tf, day 0 after transfusion/infusion; D1, D3, D5, C7, D14, and D21, post-transfusion day 1, 3, 5, 7, 14, and 21, respectively; NHP, non-human primate; RBC, red blood cell; ReXTf, repeated xenotransfusions; TKO, triple knockout; TKO/hCD55.hCD39, TKO with human CD55 and CD39 knockins; WT, wild-type; XTf, xenotransfusion.
alm-45-5-509-f3.tif
Fig. 4

Changes in C3a, C4a, and factor Bb levels in NHPs with acute blood loss following TKO (N=8) or TKO/hCD55.hCD39 (N=4) pig RBC transfusion. Median differences in the levels at each point from baseline, along with interquartile ranges, are plotted. The values at each time point were compared between two groups using the Mann–Whitney U test, *P<0.05. Data of four TKO-XTf experiments from a previous study [14] were included.

Abbreviations: NHP, non-human primate; WT, wild-type; TKO, triple knockout; RBC, red blood cell; AlloTf, allotransfusion; XTf, xenotransfusion; Δ, difference from the basal level; TKO/hCD55.hCD39, triple knockout with human CD55 and CD39 knockins.
alm-45-5-509-f4.tif
Fig. 5

Relationship between complement activation fragments and pre-transfusion agglutination titers. Levels of complement fragments levels on D0Bl, D0Tf, D1, and D3 were plotted alongside the pre-transfusion agglutination titers of NHP recipients against the RBCs used for transfusions: WT (N=4), TKO (N=8), or TKO/hCD55.hCD39 (N=4) XTf, ReXTf (N=3), and AlloTf (N=3). The relationships between the variables were analyzed using Spearman rank correlation. Complement fragment data of eight NHPs from a previous study [14], including WT-XTf (N=4), TKO-XTf (N=4), and ReXTf (N=3) experiments, were included.

Abbreviations: AlloTf, allotransfusion; D0B1, day 0 immediately after blood withdrawal; D0Tf, day 0 after transfusion/infusion; D1 and D3, post-transfusion days 1 and 3, respectively; NHP, non-human primate; RBC, red blood cell; ReXTf, repeated xenotransfusions; TKO, triple knockout; TKO/hCD55.hCD39, TKO with human CD55 and CD39 knockins; WT, wild-type; XTf, xenotransfusion.
alm-45-5-509-f5.tif
Table 1

Hb, C3a, C4a, and factor Bb levels in NHPs following blood withdrawal and subsequent saline infusion or transfusion

Parameters Groups N Median (Q1–Q3)
D0Pre D0Bl D0Tf D1 D3 D5 D7 D14 D21
Hb (g/L) Saline 4 132.5 (126.0–136.2) 115.0 (111.5–118.2) 104.5 (99.5–110.0) 89.0 (84.3–96.2) 89.5 (83.2–94.8) 93.5 (89.0–98.0) 100.0 (93.2–105.3) 116.5 (111.2–120.5) 121.5 (118.0–125.3)
WT-XTf 4 120.0 (119.5–120.5) 110.5 (103.2–117.5) 136.5 (125.0–152.2) 112.5 (101.8–124.3) 83.5 (77.5–89.0) 85.0 (81.8–86.8) 90.0 (87.8–91.2) 115.0 (113.2–116.8) 122.5 (121.5–125.3)
TKO-XTf 8 126.5 (120.3–136.2) 116.0 (109.3–122.0) 130.5 (125.7–134.3) 109.5 (106.5–112.5) 91.0 (84.7–96.2) 93.5 (88.2–98.5) 99.0 (93.0–100.7) 118.0 (113.0–122.8) 126.5 (122.5–130.7)
TKO/CD55.CD39 XTf 4 141.0 (140.0–142.5) 124.0 (120.5–126.2) 153.0 (152.5–154.0) 132.0 (130.5–134.0) 104.0 (98.0–109.3) 98.0 (96.5–100.3) 100.0 (96.7–104.0) 119.0 (117.8–120.7) 131.5 (128.8–134.3)
ReXTf 3 131.0 (127.5–133.0) 115.0 (107.5–118.0) 129.0 (127.0–133.5) 99.0 (93.0–103.5) 100.0 (92.0–102.0) 84.0 (77.5–91.5) 90.0 (83.0–97.5) 111.0 (109.0–117.5) 124.0 (121.0–131.0)
AlloTf 3 133.0 (127.0–140.5) 115.0 (109.5–121.5) 129.0 (127.5–134.5) 118.0 (115.0–121.0) 113.0 (112.0–114.0) 112.0 (111.0–114.5) 110.0 (109.5–114.0) 117.0 (113.5–121.5) 128.0 (118.0–132.5)
P 0.0697 0.4278 0.0142 0.0074 0.0124 0.0277 0.0402 0.8249 0.5171
C3a (µg/mL) Saline 4 0.27 (0.23–0.32) 0.25 (0.19–0.35) 0.30 (0.27–0.41) 0.20 (0.14–2.07) 0.18 (0.14–0.20) 0.19 (0.17–0.20) 0.21 (0.18–0.29) 0.16 (0.15–0.17) 0.12 (0.12–0.13)
WT-XTf 4 0.30 (0.26–1.92) 0.30 (0.28–0.57) 0.50 (0.36–0.78) 0.17 (0.14–0.26) 0.24 (0.20–0.32) 0.28 (0.25–0.33) 0.22 (0.20–0.26) 0.13 (0.13–0.16) 0.22 (0.17–0.24)
TKO-XTf 8 0.14 (0.12–0.16) 0.16 (0.10–0.17) 0.23 (0.11–0.33) 0.16 (0.15–0.19) 0.15 (0.15–0.17) 0.19 (0.17–0.23) 0.21 (0.19–0.25) 0.13 (0.11–0.19) 0.15 (0.13–0.16)
TKO/CD55.CD39 XTf 4 0.15 (0.14–0.16) 0.17 (0.16–0.17) 0.17 (0.16–0.21) 0.20 (0.19–0.78) 0.34 (0.31–0.38) 0.29 (0.19–0.40) 0.20 (0.19–0.22) 0.16 (0.14–0.23) 0.16 (0.15–0.18)
ReXTf 3 0.23 (0.22–0.31) 0.17 (0.15–0.24) 1.77 (1.30–1.88) 0.54 (0.37–0.55) 0.27 (0.22–0.37) 0.48 (0.28–1.28) 0.23 (0.18–0.27) 0.15 (0.12–0.29) 0.11 (0.11–0.14)
AlloTf 3 0.14 (0.12–0.14) 0.13 (0.12–0.13) 0.14 (0.10–0.14) 0.14 (0.14–0.15) 0.16 (0.14–0.17) 0.12 (0.12–0.13) 0.13 (0.13–0.14) 0.12 (0.12–0.13) 0.10 (0.10–0.29)
P 0.0020 0.0454 0.0069 0.2041 0.0111 0.0871 0.4318 0.6467 0.6230
C4a (µg/mL) Saline 4 0.58 (0.49–0.65) 0.47 (0.39–0.54) 0.41 (0.34–0.47) 0.77 (0.70–1.51) 0.31 (0.24–0.42) 0.42 (0.39–0.45) 0.45 (0.37–0.54) 0.42 (0.38–0.50) 0.55 (0.47–0.65)
WT-XTf 4 0.47 (0.35–1.01) 0.37 (0.25–0.48) 0.28 (0.27–0.34) 0.32 (0.20–0.43) 0.32 (0.25–0.38) 0.29 (0.28–0.31) 0.25 (0.24–0.27) 0.06 (0.05–0.08) 0.23 (0.12–0.34)
TKO-XTf 8 0.37 (0.16–0.59) 0.41 (0.32–0.47) 0.30 (0.24–0.43) 0.67 (0.57–0.75) 0.42 (0.35–0.71) 0.33 (0.28–0.44) 0.39 (0.32–0.53) 0.16 (0.05–0.25) 0.30 (0.22–0.39)
TKO/CD55.CD39 XTf 4 0.76 (0.56–0.88) 0.50 (0.42–0.59) 0.59 (0.44–0.70) 0.69 (0.59–0.73) 0.37 (0.34–0.47) 0.50 (0.37–0.65) 0.33 (0.29–0.42) 0.31 (0.22–0.42) 0.51 (0.47–0.63)
ReXTf 3 0.35 (0.31–0.50) 0.34 (0.30–0.47) 0.31 (0.30–0.34) 0.30 (0.24–0.31) 0.16 (0.14–0.27) 0.17 (0.15–0.20) 0.10 (0.08–0.22) 0.30 (0.29–0.36) 0.37 (0.35–0.38)
AlloTf 3 0.92 (0.86–0.95) 0.84 (0.83–0.91) 0.70 (0.69–0.77) 0.77 (0.72–0.83) 0.56 (0.50–0.62) 0.39 (0.30–0.43) 0.78 (0.68–0.98) 0.66 (0.59–0.79) 0.38 (0.38–0.48)
P 0.0730 0.1001 0.0766 0.0132 0.0932 0.0642 0.0187 0.0075 0.0503
Factor Bb (µg/mL) Saline 4 0.92 (0.82–1.01) 1.40 (1.14–1.60) 1.82 (1.50–2.00) 1.51 (1.42–1.57) 0.96 (0.93–1.06) 1.03 (0.90–1.25) 0.93 (0.85–1.10) 0.85 (0.83–0.91) 0.74 (0.68–0.88)
WT-XTf 4 1.74 (1.31–2.30) 1.83 (1.44–2.33) 7.17 (4.79–8.85) 5.88 (4.99–6.40) 2.14 (1.35–3.66) 1.99 (1.63–2.34) 2.22 (1.77–2.56) 1.70 (1.22–2.00) 1.17 (0.96–1.41)
TKO-XTf 8 0.99 (0.75–1.14) 1.25 (0.86–1.75) 5.91 (1.13–11.04) 2.27 (1.84–3.42) 1.41 (1.15–1.56) 1.34 (0.99–1.71) 1.69 (1.01–2.04) 1.13 (0.68–1.56) 0.94 (0.69–1.23)
TKO/CD55.CD39 XTf 4 0.88 (0.60–1.28) 1.70 (1.02–2.48) 2.02 (1.29–2.76) 3.43 (2.08–4.55) 4.61 (3.64–5.33) 1.29 (0.97–1.48) 0.90 (0.68–1.06) 1.18 (0.94–1.38) 1.10 (0.79–1.40)
ReXTf 3 1.06 (0.96–1.19) 1.33 (1.26–1.41) 25.86 (23.48–26.21) 21.56 (15.34–22.20) 1.42 (1.34–2.20) 2.71 (1.94–3.13) 2.34 (1.84–2.48) 1.20 (1.06–1.40) 1.04 (1.01–1.11)
AlloTf 3 0.71 (0.61–0.81) 1.14 (0.92–1.18) 1.44 (1.11–1.57) 0.69 (0.57–0.88) 0.76 (0.66–0.86) 0.69 (0.56–0.77) 0.64 (0.56–0.82) 0.73 (0.58–0.84) 0.32 (0.25–0.62)
P 0.0934 0.4492 0.0332 0.0021 0.0174 0.0314 0.0196 0.4393 0.2559

P, Kruskal–Wallis test.

Abbreviations: NPH, non-human primate; AlloTf, allotransfusion; D0Pre, day 0 before blood withdrawal; D0B1, day 0 immediately after blood withdrawal; D0Tf, day 0 after transfusion/infusion; D1, D3, D5, C7, D14, and D21, post-transfusion days 1, 3, 5, 7, 14, and 21, respectively; RBCs, red blood cells; ReXTf, repeated xenotransfusions; TKO, triple knockout; TKO/hCD55.hCD39, TKO with human CD55 and CD39 knockins; WT, wild-type; XTf, xenotransfusion.

TOOLS
Similar articles