Abstract
Coronavirus disease-19 (COVID-19), caused by Severe Acute Respiratory Syndrome Coronavirus-2 (SARS-CoV-2), poses a critical public health threat due to its high transmissibility, infectivity, and prolonged incubation in humans. Timely identification of SARS-CoV-2 is crucial to control COVID-19 in the lack of effective antiviral medications in low resource regions. However, an accurate assay and portable diagnostic method for SARS-CoV-2 remains to be developed. To address this issue, we developed a multiplex one-step reverse transcription quantitative polymerase chain reaction (RT-qPCR) for diagnosis of SARS-CoV-2 using a portable Biomeme Franklin™ Real-Time PCR thermocycler. The performance of the Biomeme assay was evaluated and validated for the testing of SARS-CoV-2 based on multiplex detection of the nucleocapsid, envelope, and spike genes. The Biomeme assay demonstrated high sensitivity by detecting the RNA of wild type 19 A and multiple SARS-CoV-2 variants, including B.1.617.2, BA.1, BA.2, BA.2.75, BA.5, and BN.1 from 0.01 ng/µl of total RNA and showed no cross-reactivity with other human coronaviruses, such as HCoV-OC43, HCoV-NL63, and HCoV-229E. The diagnostic method exhibited an analytical sensitivity of 95% and a specificity of 100%. The Biomeme Franklin platform generates rapid results within 3-4 h and allows smartphone-based output quantification, making it highly suitable as a Point of Care (POC) diagnostic tool. Therefore, this study reports on a diagnostic testing method for the prompt and reliable molecular diagnosis of SARS-CoV-2.
The outbreak of coronavirus disease-19 (COVID-19), caused by the Severe Acute Respiratory Syndrome Coronavirus-2 (SARS-CoV-2), affected more than 777 million people worldwide (1). Multiple Variants of Concern (VOCs) and Variants of Interest (VOIs) of SARS-CoV-2 emerged with increased transmissibility, severity, and ability to evade the host immune response (2). The continued incidence and emergence of novel variants necessitate the development of advanced diagnostic testing methods for COVID-19.
The main diagnostic tools for SARS-CoV-2 infection are nucleic acid amplification and immunodiagnostic tests (3). The diagnostic pipeline for polymerase chain reaction (PCR)- based methods involves isolating total RNA from nasopharyngeal or oropharyngeal swab specimens and amplifying the existing viral genome using primers specific to the viral genes. The earliest COVID-19 diagnostic test was performed using reverse transcription polymerase chain reaction (RT-PCR). Reverse transcription loop-mediated isothermal amplification (RT-LAMP) is an efficient method with a rapid turnaround time (4, 5, 6). Immunodiagnostic tests detect the presence of viral proteins or host antibodies in samples from patients with COVID-19. Serological detection methods for SARS-CoV-2 include enzyme-linked immunosorbent assays, lateral flow immunoassays, and luminescent immunoassays (7, 8, 9). Laboratory-based diagnostic tests require skilled personnel and heavy instrumentation and are inaccessible in remote settings (10). It is crucial to widely deploy inexpensive, sensitive, and specific diagnostic platforms to stop the spread of COVID-19.
Point-of-care (POC) molecular diagnostic tests in non-laboratory settings have enabled the rapid detection and identification of SARS-CoV-2 (11). Representative POC tests such as Abbott ID NOW COVID-19, Xpert Xpress SARS-CoV-2, and AcculaSARS-CoV-2 Test have been approved for emergency use (12). However, these existing detection modules have low throughput, which restricts their use in large-scale testing in a short interval (13, 14). Furthermore, the mutations in the N2 region of the delta variant reduce the sensitivity of Xpert Xpress SARS-CoV-2 (15). Conventional LAMP assays can produce false-positives due to non-specific amplification (16). Of all the variants of SARS-CoV-2 that have been analyzed, Omicron has the highest number of mutation sites associated with increased binding affinity, immune evasion and transmissibility. The rapid mutation rate and emergence of new SARS-CoV-2 variants require ongoing updates to diagnostic tests to ensure the detection of multiple SARS-CoV-2 targets while maintaining insensitivity to genetic variations (17). A portable real time PCR diagnostic platform, the Biomeme Franklin™ Real-Time PCR thermocycler, enables the detection of multiple targets in a single reaction and the visualization of the test result on a smartphone application. The device enables detection of 27 targets in a sample or testing of a total of nine samples in a single run. Additionally, this device is a battery-powered and affordable POC diagnostic tool in low- and mid-income settings to accurately track infections (18). The portable Biomeme RT-qPCR assay has been confirmed as a POC test for the detection of canine distemper and Ebola viruses (19, 20).
This study aimed at developing and validating one-step multiplex detection test of SARS-CoV-2 using the Biomeme Franklin™ thermocycler. For this testing method, we compared the efficiency of various commercial RNA extraction kits using the convenient TRIzol approach. We evaluated the Biomeme assay against a benchtop RT-qPCR platform, QuantStudio 3, for the detection of SARS-CoV-2. The assay targets conserved regions in nucleocapsid, envelope and spike genes of the SARS-CoV-2 to minimize false-negative results due to genetic variability of the virus. We demonstrated the utility of this one-step multiplex RT-qPCR test for SARS-CoV-2 detection using nasopharyngeal specimens from patients in the Republic of Korea (ROK).
In-vitro infection with SARS-CoV-2 was performed at Biosafety Level 3 at the Hallym Clinical and Translational Science Institute at Hallym University in Chuncheon, Republic of Korea. The study was conducted following the institutional biosafety requirements and guidelines outlined in Hallym2020-04 on Oct. 30, 2020, as approved by the Hallym University Institutional Biosafety Committee. The infected patient residual specimens were collected from 28th February 2022 to 7th March 2023 and collection was approved by the Institutional Review Board (IRB) of Hallym University (HIRB-2021-091) (Supplementary Table 1). The ethics committee waived patient consent. The specimens were transported in viral transport medium [AB Transport Medium (ABTM) & Swabs, AB Medical, Seoul, Republic of Korea].
The African green monkey kidney epithelial cells Vero E6 (ATCC® CRL-1596) were cultivated in Dulbecco Modified Eagle Medium (Cat No. 11995065, Gibco®, Life technologies, Europe B.V) supplemented with 10% Fetal Bovine Serum (FBS; Cat No. 10082147, Gibco®, Life technologies, Europe B.V), 1% of 10 mM HEPES in 0.85% NaCl (Cat No. 17-737E, Lonza, BioWhittaker®, Walkersville, MD, USA), and 1% antibiotic-antimycotic (Cat No. 15240062, Gibco®, Life technologies, Europe B.V). Cells were maintained at 37 °C with 5% CO2. Severe acute respiratory syndrome coronavirus 2 [SARS-CoV-2 19A (NCCP No. 43326), B.1.617.2, (NCCP No. 43406), BA.1, (NCCP No. 43408), BA.2 (NCCP No. 43412), BA.2.75 (NCCP No. 43417), BA.5 (NCCP No. 43426), and BN.1 (NCCP No. 43439)] were acquired from the National Culture Collection for Pathogens (Osong, ROK).
A total of 1×106 Vero E6 cells were infected at multiplicity of infection (MOI) of 0.01 for 2 h, rotating plate every 20 min. At forty-eight hours post-infection (hpi), the cells were harvested.
RNA extraction from infected cell samples was performed using TRIzol (AMBION Inc., Austin, TX, USA) according to manufacturer’s protocol and commercial kits. Cell culture-derived virus was first inactivated in the lysis buffer contained in the M1 Sample Prep Cartridge Kit (Cat No. 3000536R, Biomeme Inc., Philadelphia, PA, USA). Briefly, 500 µL of virus-infected cell samples were lysed by mixing in 1mL of Biomeme Lysis Buffer (BLB), which was then passed through the M1 sample cleanup column using the supplied 1 mL lock syringe and washed. Finally, nucleic acid was eluted in the elution buffer (100 µL) provided. For employment of the QIAamp Viral Mini Kit (Cat No. 52904, Qiagen, Hilden, Germany), infected cells were first lysed, and the sample was loaded onto the QIAamp Mini spin column and washed. Subsequently RNA was eluted from the column using 60 µL of nuclease free water. For employment of XpressAmp™ Direct Amplification Reagents (Cat No. A8882, Promega, Wisconsin, USA), harvested cell samples were mixed with lysis buffer and 1-thioglycerol to reach a concentration of 1% (v/v). After pipetting and incubation at 25 °C for 10 min, 5 µL of the prepared sample lysates were used for subsequent cDNA synthesis. cDNA synthesis was performed using a High-Capacity RNA-to-cDNA kit (Cat No. 4387406, Applied Biosystems, Foster City, CA, USA).
RT-qPCR was conducted using SYBR Green PCR Master mix (Applied Biosystems) and cycling conditions including denaturation at 95°C for 10 min, followed by 40 cycles at 95°C for 15 s and 65 °C for 1 min on a QuantStudio 3 Real-Time PCR Instrument (A28132, Applied Biosystems, Foster City, CA, USA) and Franklin® Real-Time PCR Thermocycler (1000003, Biomeme Inc., Philadelphia, PA, USA; Fig. 1).
Primers targeting viral nucleocapsid (N) and envelope (E) genes were used according to the guidelines of a previous study (21). To design spike (S) gene specific primers and probes, a total of seven strains of SARS-CoV-2 including 19A, B.1.617.2, BA.1, BA.2, BA.2.75, BA.5, and BN.1 were aligned using the Clustal W method with the Lasergene program, version 5 (DNASTAR). S gene specific primers and probes were designed in the conserved region. The primer and probe sequences are listed in Supplementary Table 2. The primers were analyzed in-silico for the detection of self- and cross-dimer using ThermoFisher Multiple Primer analyzer tool. The relative gene copy number was calculated using GAPDH as the internal control.
The total RNA recovered from cells infected with SARS-CoV-2 19 A and variants (B.1.617.2, BA.1, BA.2, BA.2.75, BA.5, and BN.1) was diluted to the same concentration of 1000 ng/uL. Then, four 100-fold serial dilutions were prepared in nuclease free water. Sensitivity was determined using four serial 100-fold dilutions of total RNA to generate a standard curve using SYBR Green PCR Master mix. The dilutions were tested in triplicates. PCR efficiency was calculated using the equation: E = [10 (-1/slope)-1) x 100]. For specificity testing, RNA (100 ng) derived from virus infected cells was used to synthesize cDNA. Subsequently, the cycle threshold (Ct) values were obtained for triplicate wells on QuantStudio 3 and Biomeme.
Two kits were compared for one-step multiplex RT-qPCR using the primers and probes listed in Supplementary Table 2 using QuantStudio 3 and Biomeme.
The TaqPath™ 1-step Multiplex Master Mix (Cat No. A28525, Applied Biosystem, Foster City, CA, USA) conditions included incubation step at 25 °C for 2 min; reverse transcription step at 53 °C for 10 min; polymerase activation step at 95 °C for 2 min, and 40 cycles of 95 °C for 3 s, and 60 °C for 30 s. The 20 µL reaction mixture contained 5 µL of TaqPath 1-step Multiplex Master Mix (4X), 1 μL of 5 µM primers, 0.5 µL of 5 µM probes, and 1 µL of RNA template from ten-fold serial dilutions.
The One Step PrimeScript III RT-qPCR Mix (Cat No. RR600A, Takara, Shiga, Japan) conditions included reverse transcription reaction at 25 °C for 10 min, 52 °C for 5 min and inactivation reaction at 95 °C for 10 s, followed by 40 cycles at 95 °C for 5 s, 60 °C for 30 s. The reaction mixture of 50 µL contained 10 µL of One Step PrimeScript III RT-qPCR Mix (2X), 0.8 µL of 5 µM primer mix, 0.8 μL of 5 µM probes and 1 μL of RNA template from 10-fold serial dilutions.
Statistical analyses were performed using GraphPad Prism (Version 10.2.1; GraphPad Software, Inc., La Jolla, CA). Values are presented in bar graphs as the mean ± SD (standard deviation) of at least three independent experiments. *p < 0.05, **p < 0.01, ***p < 0.001 and ****p < 0.0001 were considered statistically significant.
Total RNA was recovered from SARS-CoV-2 19A-infected Vero E6 cells using the TRIzol reagent and commercially available RNA purification kits. The highest amount of RNA was obtained using the TRIzol method (26.3 µg), followed by the QIAamp Viral RNA kit (13.0 µg), and M1 Sample Prep Cartridge Kit (10.0 µg). The lowest RNA yield was obtained with the XpressAmp™ Direct Amplification Reagents kit (0.3 µg; Fig. 2A). The obtained RNA samples were examined using RT-qPCR targeting the SARS-CoV-2 N gene to validate the RNA extraction kits used. The TRIzol-derived RNA samples exhibited the highest relative copy numbers of the N gene. The RNA samples obtained using the QIAamp Viral RNA kit and the M1 Sample Prep Cartridge Kit contained comparable relative copy numbers of the SARS-CoV-2 N gene. The lowest relative copy number of the SARS-CoV-2 N gene was noted in the RNA sample obtained using the XpressAmp™ Direct Amplification Reagents kit (Fig. 2B). The copy numbers of SARS-CoV-2 N gene correlated with the total amount of RNA extracted using the different kits evaluated in this study (R2 = 0.84, p = 2.882 × 10-5; Supplementary Fig. 1).
To estimate the sensitivity of the Biomeme assay, total RNA extracted from cells infected with the SARS-CoV-2 wild type and its variants were serially diluted and examined using RT-qPCR (Fig. 3). The average Ct values in the highest diluted total RNA samples ranged from 35.7 to 40.0 for the N, E, and S genes. SARS-CoV-2 RNA was detected at Ct values less than 32 from 0.01 ng/µl of total RNA using the Biomeme assay. The regression equations of the N, E, and S genes for the different SARS-CoV-2 variants analyzed using the Biomeme assay and QuantStudio 3 are shown in Supplementary Table 3.
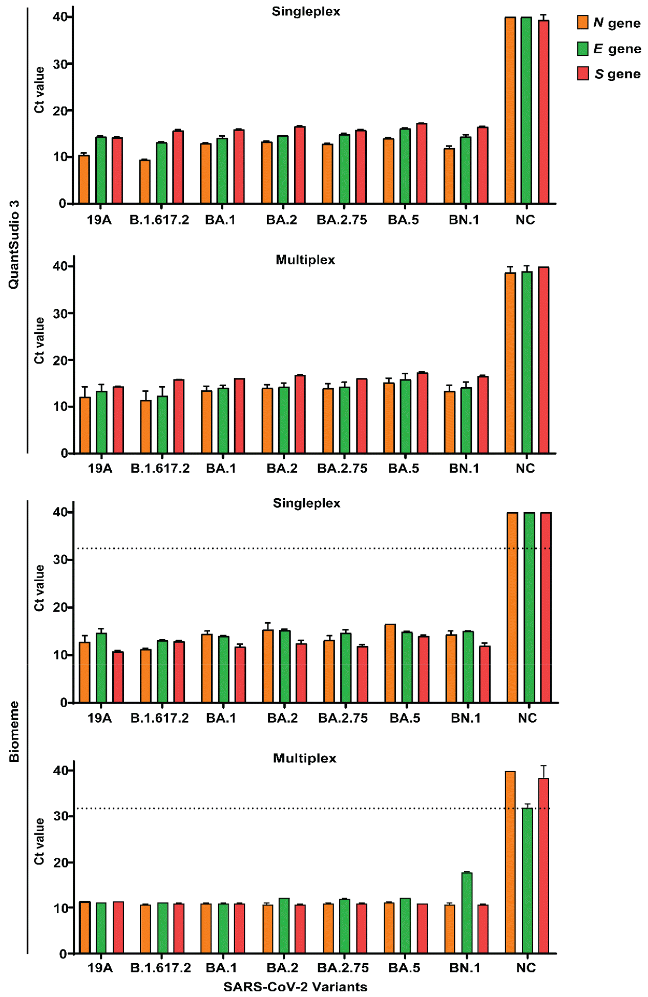
We tested the specificity of the Biomeme assay for the SARS-CoV-2 wild type and variants and other common human respiratory viruses. The analysis of SARS-CoV-2 RNA samples on QuantStudio 3 resulted in Ct values ranging from 9.3 to 14.2 for the N gene, 9.1 to 21.0 for the E gene, and 11.8 to 19.1 for the S gene, whereas the corresponding values obtained with the Biomeme assay were 11.0 to 12.9, 10.0 to 17.3, and 10.7 to 12.9, respectively. All variants of SARS-CoV-2 included in the study were detected by both QuantStudio 3 and the Biomeme assay. Amplification for viruses other than SARS-CoV-2, including human coronavirus- OC43, -229E, and -NL63, was observed at Ct values above 32 for both methods (Fig. 4).
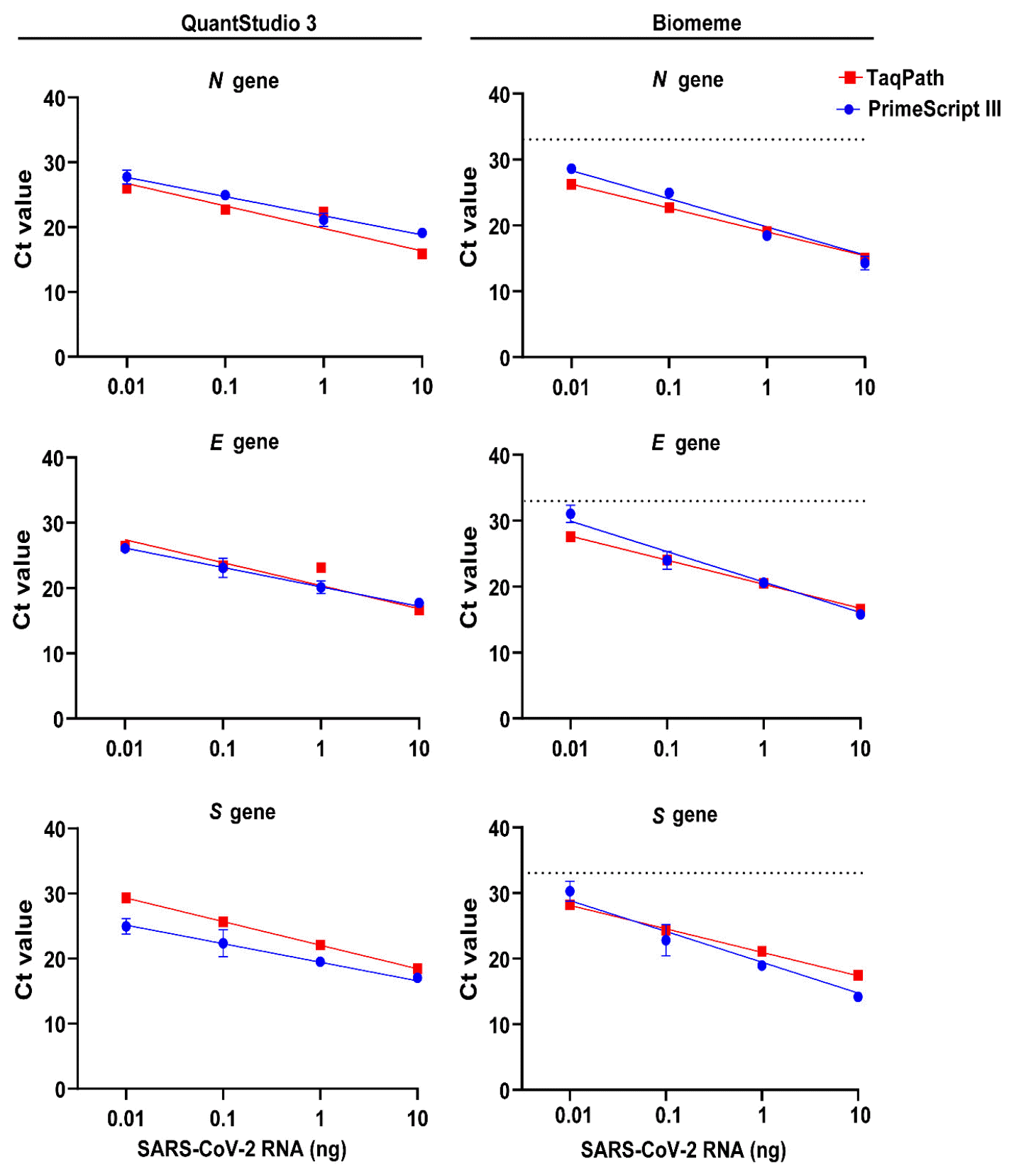
We evaluated two commercial one-step multiplex RT-qPCR reagent kits, TaqPath™ 1-Step Multiplex Master Mix and One Step PrimeScript III RT-qPCR Mix, to quantify SARS-CoV-2 19A RNA using the Biomeme platform. For all target genes, the mean Biomeme Ct values obtained using One Step PrimeScript III RT-qPCR Mix were two to three cycles higher than those from TaqPath™ 1-Step Multiplex Master Mix at the lowest RNA concentration (Fig. 5). The amplification efficiency for the N, E and S genes with One Step PrimeScript III RT-qPCR Mix was 63–71.0%. A qPCR amplification efficiency of 87.0–90.2% was obtained with TaqPath™ 1-Step Multiplex Master Mix using the Biomeme assay (Supplementary Table 4). Overall, TaqPath™ 1-Step Multiplex Master Mix showed high performance in the one-step multiplex RT-qPCR detection of SARS-CoV-2 RNA using the Biomeme assay.
We first tested primers and probes for the Biomeme assay for the detection of the viral genome obtained from cells infected with SARS-CoV-2 19A and variants in a singleplex format. The Ct values from the singleplex assay ranged from 10.7 to 16.0. To establish a one-step multiplex RT-qPCR assay for SARS-CoV-2 detection, we combined primers and probes specific to the N, E, and S genes of SARS-CoV-2. The multiplexed RT-PCR resulted in Biomeme Ct values between 10.6 and 17.8 and QuantStudio 3 Ct values between 11.3 and 17.3 (Fig. 6), detecting SARS-CoV-2 RNA from all variants and 19A. These results indicate that the Biomeme assay enables sensitive and consistent detection of a broad range of SARS-CoV-2 lineages under multiplexed RT-qPCR conditions.
To validate the performance of one-step multiplex RT-qPCR for POC detection of SARS-CoV-2, RNA from nasopharyngeal swabs of 40 (20 known cases of SARS-CoV-2 infection and 20 uninfected/healthy) patients in the ROK were tested using the Biomeme assay and QuantStudio 3 (Fig. 7). Based on the QuantStudio 3 results, 19 samples were identified as positive. The average Ct values in the RT-qPCR-positive cases ranged from 15.1 to 31.5 for the N gene, from 13.9 to 30.6 for the E gene, and from 13.8 to 30.3 for the S gene. RNA samples from the same patients were assessed using Biomeme, and 95% of the positive samples and 100% of the negative samples were correctly identified. The Ct values in Biomeme positive cases ranged from 12.7 to 31.4 for the N gene, from 13.4 to 30.7 for the E gene, and from 13.1 to 31.3 for the S gene. One indefinite positive sample showed Ct values in the range of 36 and 40 for all target genes using both Biomeme and QuantStudio 3. The overall sensitivity and specificity of Biomeme was 95 and 100%, respectively Supplementary Table 5. These findings demonstrate that Biomeme effectively detects SARS-CoV-2 RNA using a one-step multiplex RT-qPCR method targeting the N, E, and S genes.
In this study, we evaluated the suitability of the Biomeme Franklin thermocycler for the reliable testing of patients suspected to have SARS-CoV-2 infection. The proposed Biomeme platform sensitively and specifically detected the presence of the RNA of SARS-CoV-2 and its variants in infected cells. We performed one-step multiplex RT-qPCR to detect SARS-CoV-2 RNA in clinical samples to validate the clinical application, robustness, and sensitivity of the portable Biomeme thermocycler.
We tested the efficiency of commercial RNA purification kits in recovering sufficient amounts of RNA for the detection of SARS-CoV-2. Compared with the TRIzol RNA extraction method, the M1 Sample Prep cartridge kit showed a significantly lower yield of viral RNA. There was no difference in RNA yield between the silica membrane-based RNA extraction methods, including the M1 Sample Prep cartridge kit and the QIAamp Viral RNA Mini Kit (22). The performance of filtration-based RNA extraction methods could be influenced by multiple washing steps and membrane clogging due to incomplete lysis, thereby affecting downstream enzymatic reactions (23). Moreover, RNA quality is compromised without purification when using direct amplification reagents, potentially inhibiting PCR reaction. This study highlighted the sub-optimal performance of SARS-CoV-2 detection using the M1 Sample Prep cartridge kit as compared to the standard TRIzol method. Therefore, the RNA extraction kit for POC testing remains to be developed.
Our results showed that the RT-qPCR Biomeme assay could detect SARS-CoV-2 RNA in 0.01 ng/µl of total RNA with Ct values less than 32 using primers for the N, E, and S genes. We also demonstrated that the assay was robust in detecting multiple SARS-CoV-2 variants, an advantage not provided by antigen tests. Additionally, the molecular detection method utilized in the Biomeme assay can be modified to reduce gene drop-out linked with the emergence of new SARS-CoV-2 variants. Multiplex assays reduce processing time and optimize throughput, particularly in situations where consumables may be limited. A direct comparison of cost between the singleplex and multiplex detection remains to be investigated. Our comparative analysis of multiplex one-step RT-qPCR kits for the Biomeme assay showed higher amplification efficiency with TaqPath™ 1-Step Multiplex Master Mix than with One Step PrimeScript III RT-qPCR Mix for the same amount of RNA. Using TaqPath™ 1-Step Multiplex Master Mix with the Biomeme assay can thus minimize re-testing of inconclusive samples and save both cost and time in healthcare.
We found that the one-step multiplex RT-qPCR assay on the Biomeme thermocycler had high analytical sensitivity and specificity. We defined SARS-CoV-2 positivity as a Ct value less than 32. One clinical sample exhibited Ct values close to this threshold and was classified as positive, confirming the Biomeme assay’s ability to detect low viral loads. Inconclusively high Ct values were observed in one of the 20 infected samples across both the Biomeme and QuantStudio 3 platforms which may result from low quantities of viral RNA in samples collected in the early or end stages of infection, and follow-up testing is required in case of inconclusive results (24). Testing nasal swab samples using Biomeme SARS-CoV-2 Go-Strips demonstrated 98% analytical sensitivity and 100% specificity (25). Another study using ready-to-use Biomeme SARS-CoV-2 Go-Strips showed a sensitivity of 87% for detecting SARS-CoV-2 in clinical samples (26). These results are based on detection of SARS-CoV-2 gene targets open reading frame 1ab (ORF1ab) and spike (S). The performance of the Biomeme assay assessed in this study indicates accurate multiplex identification of viral RNA from viral targets including nucleocapsid, envelope and spike genes, and compatibility of the Biomeme assay with commercial one-step multiplex RT-qPCR kits. Using the Franklin thermocycler in low-resource settings can thus facilitate diagnostic testing.
For POC diagnosis, it is essential to reduce the turnaround time from sampling to the result, reduce hardware complexity, and ensure high sensitivity and specificity (27). Portable RT-PCR instruments with gold-standard accuracy can aid POC testing in remote settings. The Biomeme thermocycler is a compact and lightweight platform. It enables quantitative detection and sharing of results over smartphone devices or computers. The device can operate at 4-40 ℃ and 0-99% humidity (28). The miniaturized RT-qPCR-based Biomeme system validated in this study allows for rapid diagnosis in 3–4 h, all without the need for specialized infrastructure (Fig. 8). The simplicity of Biomeme thermocycler operation and its increased mobility are significant advantages for the deployment in community healthcare locations and hospital settings, including emergency departments and intensive care units. Given the benefits of multiplex PCR, the proposed Biomeme assay can be further developed for the detection of other respiratory pathogens or infectious diseases with specific target primer sets.
A limitation of this study is the small number of clinical samples collected at a single site. Multicenter evaluation and outdoor testing of large samples is necessary for a comprehensive analysis of the utility of the Biomeme-thermocycler across a wide range of temperatures and humidities. Although the Biomeme recommended M1 prep kit method of RNA extraction is convenient and rapid, it has the major drawback of recovering only a small amount of nucleic acids, which can lead to false negatives. Despite the availability of several rapid nucleic acid extraction kits, they are not suitable for use with small volumes and complex biological samples. The best way to obtain an accurate POC diagnosis is to optimize RNA extraction kits for the sensitivity and specific performance of Biomeme assays. Furthermore, it is essential to evaluate the sensitivity of the Biomeme thermocycler in the detection of RNA across different specimen types. While the assay detected SARS-CoV-2 RNA from multiple variants, the continuous emergence of variants not tested in this study could alter amplification efficiency.
In conclusion, we developed a single-step RT-qPCR diagnostic assay for the detection of SARS-CoV-2 using the Biomeme Franklin thermocycler. The assay is capable of highly sensitive and specific multiplex detection of the N, E, and S genes of SARS-CoV-2 in clinical samples. Thus, this report aids in the development of a convenient, accurate, and field-deployable diagnostic method for SARS-CoV-2 using a Biomeme thermocycler.
AUTHOR CONTRIBUTIONS
Seonghyeon Lee: Investigation, Methodology, Visualization, Writing - Original Draft. Shivani Rajoriya: Investigation, Conceptualization, Visualization, Writing - Original Draft. Jieun Park: Investigation, Methodology. Bohyeon Kim: Investigation, Methodology. Augustine Natasha: Investigation. Sara Puspareni Prayitno: Data Curation. Divya Misra: Visualization. Kyungmin Park: Data Curation. Jin-Won Song: Writing - Review & Editing, Funding acquisition. Taek-Kyun Lee: Writing - Review & Editing. Kyu Sung Shin: Resources. Hyungdon Lee: Resources. Won-Keun Kim: Conceptualization, Writing - Original Draft, Writing - Review & Editing, Supervision, Funding acquisition.
FUNDING
This research was supported by the Korea Institute of Marine Science & Technology Promotion (KIMST) funded by the Ministry of Oceans and Fisheries, Korea (RS-2021-KS211475). This study was supported by the Government-wide R&D to Advance Infectious Disease Prevention and Control, Republic of Korea (RS-2023-KH140418). In addition, this study was partially funded by the Institute for Basic Science (IBS) under project code IBS-R801-D9-A03.
SUPPLEMENTARY DATA
Supplementary Fig. 1
Correlation between total RNA concentration vs the SARS-CoV-2 N gene relative copy number from the four different RNA extraction methods. The red dots represent TRIzol method, blue dots represent QIAamp method, green dots represent M1 prep extraction method and black dots represent XpressAmp method.
Supplementary Table 1.
Clinical specimens from infected individuals
Supplementary Table 2.
Primer and probe sequences for SARS-CoV-2 detection. The primer and probe sequences (5'-3') specific to the nucleocapsid, envelope and spike genes for SARS-CoV-2 detection
| Target gene | Oligonucleotide ID | Primers and Probe Sequence (5'-3') | Nucleotide Position | Product size | Reference |
|---|---|---|---|---|---|
|
Spike (S) gene |
S-Forward | GTGTGTTAATCTTACAACCAGAACTC | 21604-21629 | 118 | This study |
| S-Reverse | CCTCAGTTTTACATTCAACTCAGGAC | 21696-21721 | |||
| S-Probe | JUN-TCACACGTGGTGTTTATTACCCTGACA-QSY | 21657-21683 | |||
|
Envelope (E) gene |
E-Forward | ACAGGTACGTTAATAGTTAATAGCGT | 26269-26294 | 113 | (21) |
| E-Reverse | TGTGTGCGTACTGCTGCAATAT | 26313-26340 | |||
| E-Probe | 6FAM-CGTGGTATTCTTGCTAGTTACACTAGCC-MGBNFQ | 26360-26381 | |||
| Nucleocapsid (N) gene | N-Forward | CACATTGGCACCCGCAATC | 28706-28724 | 128 | (21) |
| N-Reverse | CAAGCCTCTTCTCGTTCCTC | 28814-28833 | |||
| N-Probe | NED-GCTGCAATCGTGCTACAACTTCCTC-MGBNFQ | 28736-28760 |
Supplementary Table 3.
Regression equations for the detection of SARS-CoV-2 variants on QuantStudio 3 and the Biomeme thermocycler. Regression equations and R2 values for the detection of SARS-CoV-2 wild type and variants on QuantStudio 3 and the Biomeme thermocycler
Supplementary Table 4.
Slope, R2, and efficiency of RT-qPCR using PrimeScript III and TaqPath kits on QuantStudio 3 and the Biomeme thermocycler. Slope, R2, and efficiency of RT-qPCR using PrimeScript III and TaqPath kits on QuantStudio 3 and the Biomeme thermocycler for one-step multiplex RT-qPCR
Supplementary Table 5.
Clinical Validation of one-step Multiplex RT-qPCR for the Biomeme thermocycler. Ct values of one-step multiplex RT-qPCR using primers and probes specific to the nucleocapsid, envelope and spike genes for SARS-CoV-2
References
1. WHO Coronavirus Disease (COVID-19) Dashboard. Available at https://covid19.who.int. [accessed on 20 April 2025].
2. Kaku Y, Okumura K, Padilla-Blanco M, Kosugi Y, Uriu K, Hinay AA, Jr, et al. Virological characteristics of the SARS-CoV-2 JN.1 variant. Lancet Infect Dis. 2024;24(2):e82.DOI: 10.1016/S1473-3099(23)00813-7. PMID: 38184005.
3. Carter LJ, Garner LV, Smoot JW, Li Y, Zhou Q, Saveson CJ, et al. Assay techniques and test development for COVID-19 diagnosis. ACS Cent Sci. 2020;6(5):591-605.DOI: 10.1021/acscentsci.0c00501. PMID: 32382657. PMCID: PMC7197457.
4. Ganguli A, Mostafa A, Berger J, Aydin MY, Sun F, Ramirez SAS, et al. Rapid isothermal amplification and portable detection system for SARS-CoV-2. Proc Natl Acad Sci U S A. 2020;117(37):22727-22735.DOI: 10.1073/pnas.2014739117. PMID: 32868442. PMCID: PMC7502724.
5. Amaral C, Antunes W, Moe E, Duarte AG, Lima LMP, Santos C, et al. A Molecular test based on RT-LAMP for rapid, sensitive and inexpensive colorimetric detection of SARS-CoV-2 in clinical samples. Sci Rep. 2021;11(1):16430.DOI: 10.1038/s41598-021-95799-6. PMID: 34385527. PMCID: PMC8361189.
6. Song Q, Sun X, Dai Z, Gao Y, Gong X, Zhou B, et al. Point-of-care testing detection methods for COVID-19. Lab Chip. 2021;21(9):1634-1660.DOI: 10.1039/D0LC01156H. PMID: 33705507.
7. Zedan HT, Yassine HM, Al-Sadeq DW, Liu N, Qotba H, Nicolai E, et al. Evaluation of commercially available fully automated and ELISA-based assays for detecting anti-SARS-CoV-2 neutralizing antibodies. Sci Rep. 2022;12(1):19020.DOI: 10.1038/s41598-022-21317-x. PMID: 36347859. PMCID: PMC9643483.
8. Flower B, Brown JC, Simmons B, Moshe M, Frise R, Penn R, et al. Clinical and laboratory evaluation of SARS-CoV-2 lateral flow assays for use in a national COVID-19 seroprevalence survey. Thorax. 2020;75(12):1082-1088.DOI: 10.1136/thoraxjnl-2020-215732. PMID: 32796119. PMCID: PMC7430184.
9. Lijia S, Lihong S, Huabin W, Xiaoping X, Xiaodong L, Yixuan Z, et al. Serological chemiluminescence immunoassay for the diagnosis of SARS-CoV-2 infection. J Clin Lab Anal. 2020;34(10):e23466.DOI: 10.1002/jcla.23466. PMID: 32671890. PMCID: PMC7404627.
10. Fernandes RS, de Oliveira Silva J, Gomes KB, Azevedo RB, Townsend DM, de Paula Sabino A, et al. Recent advances in point of care testing for COVID-19 detection. Biomed Pharmacother. 2022;153:113538.DOI: 10.1016/j.biopha.2022.113538. PMID: 36076617. PMCID: PMC9371983.
11. Brendish NJ, Poole S, Naidu VV, Mansbridge CT, Norton NJ, Wheeler H, et al. Clinical impact of molecular point-of-care testing for suspected COVID-19 in hospital (COV-19POC): a prospective, interventional, non-randomised, controlled study. Lancet Respir Med. 2020;8(12):1192-1200.DOI: 10.1016/S2213-2600(20)30454-9. PMID: 33038974.
12. Song X, Coulter FJ, Yang M, Smith JL, Tafesse FG, Messer WB, et al. A lyophilized colorimetric RT-LAMP test kit for rapid, low-cost, at-home molecular testing of SARS-CoV-2 and other pathogens. Sci Rep. 2022;12(1):7043.DOI: 10.1038/s41598-022-11144-5. PMID: 35487969. PMCID: PMC9052177.
13. Al-Hail H, Mirza F, Al Hashemi A, Ahmad MN, Iqbal M, Tang P, et al. Evaluation of automated molecular tests for the detection of SARS-CoV-2 in pooled nasopharyngeal and saliva specimens. J Clin Lab Anal. 2021;35(8):e23876.DOI: 10.1002/jcla.23876. PMID: 34132419. PMCID: PMC8373324.
14. Krause E, Puyskens A, Bourquain D, Brinkmann A, Biere B, Schaade L, et al. Sensitive on-site detection of SARS-CoV-2 by ID NOW COVID-19. Mol Cell Probes. 2021;58:101742.DOI: 10.1016/j.mcp.2021.101742. PMID: 33971264. PMCID: PMC8105142.
15. Choi H, Hwang M, Lukey J, Jinadatha C, Navarathna DH. Presumptive positive with the Cepheid Xpert Xpress SARS-CoV-2 assay due to N mutations in the Delta variant. Diagn Microbiol Infect Dis. 2022;103(3):115699.DOI: 10.1016/j.diagmicrobio.2022.115699. PMID: 35569431. PMCID: PMC9023076.
16. Kim SH, Lee SY, Kim U, Oh SW. Diverse methods of reducing and confirming false-positive results of loop-mediated isothermal amplification assays: A review. Anal Chim Acta. 2023;1280:341693.DOI: 10.1016/j.aca.2023.341693. PMID: 37858542.
17. de Mello Malta F, Amgarten D, Marra AR, Petroni RC, da Silva Nali LH, Siqueira RA, et al. Nucleocapsid single point-mutation associated with drop-out on RT-PCR assay for SARS-CoV-2 detection. BMC Infect Dis. 2023;23(1):714.DOI: 10.1186/s12879-023-08707-w. PMID: 37872472. PMCID: PMC10591358.
18. Zowawi HM, Alenazi TH, AlOmaim WS, Wazzan A, Alsufayan A, Hasanain RA, et al. Portable RT-PCR System: a Rapid and Scalable Diagnostic Tool for COVID-19 Testing. J Clin Microbiol. 2021;59(5):e03004-20.DOI: 10.1128/JCM.03004-20. PMID: 33674285. PMCID: PMC8091859.
19. Tomaszewicz Brown A, McAloose D, Calle PP, Auer A, Posautz A, Slavinski S, et al. Development and validation of a portable, point-of-care canine distemper virus qPCR test. PLoS One. 2020;15(4):e0232044.DOI: 10.1371/journal.pone.0232044. PMID: 32320441. PMCID: PMC7176111.
20. Figueroa DM, Kuisma E, Matson MJ, Ondzie AU, Bushmaker T, Seifert SN, et al. Development and validation of portable, field-deployable Ebola virus point-of-encounter diagnostic assay for wildlife surveillance. One Health Outlook. 2021;3(1):9.DOI: 10.1186/s42522-021-00041-y. PMID: 34024280. PMCID: PMC8142476.
21. Corman VM, Landt O, Kaiser M, Molenkamp R, Meijer A, Chu DK, et al. Detection of 2019 novel coronavirus (2019-nCoV) by real-time RT-PCR. Euro Surveill. 2020;25(3):2000045.DOI: 10.2807/1560-7917.ES.2020.25.3.2000045. PMID: 31992387. PMCID: PMC6988269.
22. Amirouche A, Ait-Ali D, Nouri H, Boudrahme-Hannou L, Tliba S, Ghidouche A, et al. TRIzol-based RNA extraction for detection protocol for SARS-CoV-2 of coronavirus disease 2019. New Microbes New Infect. 2021;41:100874.DOI: 10.1016/j.nmni.2021.100874. PMID: 33815807. PMCID: PMC8010344.
23. Xiang X, Qiu D, Hegele RD, Tan WC. Comparison of different methods of total RNA extraction for viral detection in sputum. J Virol Methods. 2001;94(1-2):129-135.DOI: 10.1016/S0166-0934(01)00284-1. PMID: 11337047.
24. Rondaan C, Gard L, Niesters HGM, van Leer-Buter C, Zhou X. COVID or no COVID: Interpreting inconclusive SARS-CoV-2 qPCR results in different populations and platforms. J Clin Virol Plus. 2023;3(2):100145.DOI: 10.1016/j.jcvp.2023.100145. PMID: 36941981. PMCID: PMC9997055.
25. Onyilagha C, Mistry H, Marszal P, Pinette M, Kobasa D, Tailor N, et al. Evaluation of mobile real-time polymerase chain reaction tests for the detection of severe acute respiratory syndrome coronavirus 2. Sci Rep. 2021;11(1):9387.DOI: 10.1038/s41598-021-88625-6. PMID: 33931684. PMCID: PMC8087814.
26. Voelker CR, Ochoa AR, Armstrong-Spenrath L, Lott L, McDaniel JS, Blackburn AN, et al. Evaluating sensitivity and specificity of the Biomeme Franklin™ three9 real-time PCR device and SARS-CoV-2 go-strips assay using clinical samples. J Clin Virol. 2022;146:105046.DOI: 10.1016/j.jcv.2021.105046. PMID: 34863057. PMCID: PMC8613008.
27. Wang C, Liu M, Wang Z, Li S, Deng Y, He N. Point-of-care diagnostics for infectious diseases: From methods to devices. Nano Today. 2021;37:101092.DOI: 10.1016/j.nantod.2021.101092. PMID: 33584847. PMCID: PMC7864790.
28. Franklin Real-Time PCR Thermocycler User Manual v1.3. Available at https://help.biomeme.com/franklin-real-time- pcr-thermocycler-user-manual-v1.3 [accessed on 11 January 2025].



PDF
Citation
Print



XML Download