Abstract
Background/Aims
Methods
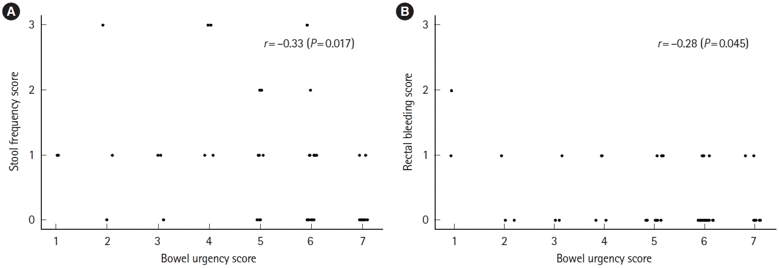
Results
Notes
Conflict of Interest
Kobayashi T reports personal fees from AbbVie GK, Janssen Pharmaceutical K.K., Takeda Pharmaceutical Co., Ltd., Mitsubishi-Tanabe Pharma Corporation, Pfizer Japan Inc.; research grants from AbbVie GK, Activaid, Alfresa Pharma Corporation, JMDC Inc., Gilead Sciences Inc., Nippon Kayaku Co., Ltd., Eli Lilly Japan K.K., Mochida Pharmaceutical Co., Ltd., Janssen Pharmaceutical K.K., Pfizer Japan Inc., Takeda Pharmaceutical Co., Ltd., Bristol-Myers Squibb, Google Asia Pacific Pte, Ltd.; scholarship grants from Mitsubishi-Tanabe Pharma Corporation, Zeria Pharmaceutical Co., Ltd., Nippon Kayaku Co., Ltd., EA Pharma Co., Ltd.; endowed chair from JIMRO Co., Ltd., Zeria Pharmaceutical Co., Ltd., Alfresa Pharma Corporation, Kyorin Pharmaceutical Co., Ltd., Mochida Pharmaceutical Co., Ltd., Miyarisan Pharmaceutical Co., outside the submitted work. Fujii T reports personal fees from AbbVie GK, Janssen Pharmaceutical K.K.; research grants from AbbVie GK, Alfresa Pharma Corporation, Boehringer Ingelheim, Bristol- Myers Squibb, Celgene Corporation, EA Pharma Co. Ltd., Eisai Co. Ltd., Gilead Sciences, Janssen Pharmaceutical K.K., Kissei Pharmaceutical Co., Ltd., Eli Lilly and Company, Mebix Inc., Sanofi K.K., Takeda Pharmaceutical Co., Ltd., outside the submitted work. Shinzaki S reports personal fees from EA Pharma Co., Ltd., outside the submitted work. Yamada A reports research grants from AbbVie GK, Mitsubishi-Tanabe Pharma Corporation, EA Pharma Co., Ltd., Mochida Pharmaceutical Co., Ltd., outside the submitted work. Sagami S reports personal fees from AbbVie GK, Janssen Pharmaceutical K.K., Takeda Pharmaceutical Co., Ltd., Mitsubishi-Tanabe Pharma Corporation, Nippon Kayaku Co., Ltd., Zeria Pharmaceutical Co., Ltd.; endowed chair from AbbVie GK, JIMRO Co., Ltd., Zeria Pharmaceutical Co., Ltd., Kyorin Pharmaceutical Co., Ltd., Mochida Pharmaceutical Co., Ltd., EA Pharma Co., Ltd., outside the submitted work. Inagaki K is an employee of EA Pharma Co., Ltd. Iwayama K is an employee of Kissei Pharmaceutical Co., Ltd. Hibi T reports personal fees from AbbVie GK, EA Pharma Co., Ltd., Jansen Pharmaceutical K.K., JIMRO Co., Ltd., Mitsubishi-Tanabe Pharma Corporation, Mochida Pharmaceutical Co., Ltd., Pfizer Japan Inc., Sand K.K., Takeda Pharmaceutical Co., Ltd., Zeria Pharmaceutical Co., Ltd.; research grants from AbbVie GK, Activaid, Alfresa Pharma Corporation, JMDC Inc., Gilead Sciences, Nippon Kayaku Co., Ltd., Eli Lilly Japan, K.K., Mochida Pharmaceutical Co., Ltd., Jansen Pharmaceutical K.K., Pfizer Japan Inc., Takeda Pharmaceutical Co., Ltd., Bristol-Meyers Squibb, Google Asia Pacific Pte., Ltd.; scholarship grants from Mitsubishi-Tanabe Pharma Corporation, Zeria Pharmaceutical Co., Ltd., Nippon Kayaku Co., Ltd., EA Pharma Co., Ltd.; endowed chair from JIMRO Co., Ltd., Zeria Pharmaceutical Co., Ltd., Alfresa Pharma Corporation, Kyorin Pharmaceutical Co., Ltd., Mochida Pharmaceutical Co., Ltd., Miyarisan Pharmaceutical Co., outside the submitted work; is the Editor in Chief of Intestinal Research. Moriya K, Bamba S, Hisabe T, Hibiya S, Amano T, and Takatsu N have no conflicts of interest to declare.
Data Availability Statement
The data underlying this article will be shared on reasonable request to the corresponding author.
Author Contributions
Concept and design of the study: Kobayashi T, Hibi T, Bamba S, Shinzaki S, Moriya K, Fujii T, Yamada A, Inagaki K, Iwayama K. Conduct of the study: Kobayashi T, Hibi T, Bamba S, Shinzaki S, Moriya K, Fujii T, Yamada A, Hisabe T, Sagami S, Amano T, Hibiya S, Takatsu N. Interpretation of data: Kobayashi T, Hibi T, Bamba S, Shinzaki S, Moriya K, Fujii T, Yamada A, Hisabe T. Drafting of the manuscript: Kobayashi T, Inagaki K, Iwayama K. Manuscript review and editing: Kobayashi T, Hibi T, Bamba S, Shinzaki S, Moriya K, Fujii T, Yamada A. All authors had full access to all the data in the study and had final responsibility for the decision to submit for publication.
Additional Contributions
The authors wish to thank Keyra Martinez Dunn, MD, of Edanz (www.edanz.com) for providing medical writing support, which was funded by EA Pharma and Kissei Pharmaceutical Co., Ltd., in accordance with Good Publication Practice (GPP 2022) guidelines (https://www.ismpp.org/gpp-2022). Use of the Inflammatory Bowel Disease Questionnaire, authored by Dr. Jan Irvine et al., was done under license from McMaster University, Hamilton, ON, Canada. EPS Corporation, Tokyo, Japan, performed the statistical analyses.
Supplementary Material
Supplementary Table 1.
Supplementary Table 2.
REFERENCES
Fig. 2.
Fig. 3.
Table 1.
| Characteristic | Value (n = 61) |
|---|---|
| Sex | |
| Male | 29 (47.5) |
| Female | 32 (52.5) |
| Age (yr) | 41.0 (30.0–54.0) |
| Height (cm) | 165.0 (158.5–172.0) |
| Body weight (kg) | 59.0 (51.0–67.0) |
| Partial Mayo score | 5.0 (4.0–6.0) |
| Smoking habit | |
| No | 56 (91.8) |
| Yes | 5 (8.2) |
| Duration of illness | |
| < 12 wk | 3 (4.9) |
| 12 wk to < 1 yr | 8 (13.1) |
| 1 to < 5 yr | 15 (24.6) |
| ≥ 5 yr | 35 (57.4) |
| First-onset and relapse in the active phase | |
| Initial | 6 (9.8) |
| Relapse | 55 (90.2) |
| Previous medications (within 8 wk before the start of observation) | |
| 5-ASA rectal formulation | |
| No | 52 (85.2) |
| Yes | 9 (14.8) |
| 5-ASA suppository formulation | |
| No | 57 (93.4) |
| Yes | 4 (6.6) |
| 5-ASA oral formulation | |
| No | 5 (8.2) |
| < 3,600 mg/day | 10 (16.4) |
| 3,600 to < 4,800 mg/day | 17 (27.9) |
| 4,800 mg/day | 29 (47.5) |
| Immunomodulator | |
| No | 56 (91.8) |
| Yes | 5 (8.2) |
| Disease pattern | |
| Proctitis | 7 (11.5) |
| Left-sided colitis | 26 (42.6) |
| Pancolitis | 28 (45.9) |
| Disease severity | |
| Mild | 17 (27.9) |
| Moderate | 44 (72.1) |
| Severe | 0 |
| Active lesion sitea | |
| Rectum only | 11 (18.0) |
| Up to the sigmoid colon | 25 (41.0) |
| Up to the descending colon | 6 (9.8) |
| From the descending colon to the mouth | 10 (16.4) |
| Unknown | 9 (14.8) |
| No. of defecations per day (normal frequency) | 1.5 (1.0–2.0) |
| History of administration of budesonide rectal foam | |
| No | 46 (75.4) |
| Yes | 15 (24.6) |
Table 2.
| IBDQ total score |
IBDQ subscale score |
||||
|---|---|---|---|---|---|
| Bowel symptoms | Emotional function | Systemic symptoms | Social function | ||
| Baseline (n = 59) | 141.0 (121.0–161.0) | 4.3 (3.5–5.1) | 4.8 (4.0–5.4) | 4.0 (3.4–4.6) | 5.0 (3.6–6.0) |
| Final (n = 53) | 181.0 (160.0–197.0) | 5.9 (5.2–6.2) | 5.6 (4.9–6.1) | 5.2 (4.6–5.8) | 5.8 (5.4–6.8) |
| Change (n = 53) | 29.0 (13.0–55.0)a | 1.3 (0.4–2.2) | 0.8 (0.3–1.3) | 0.8 (0.2–1.8) | 0.8 (0.4–1.8) |
Table 3.
| IBDQ total score |
IBDQ subscale score |
||||
|---|---|---|---|---|---|
| Bowel symptoms | Emotional function | Systemic symptoms | Social function | ||
| Bowel urgency not resolved (n = 22) | |||||
| Baseline | 135.5 (121.0–168.0) | 4.2 (3.4–5.3) | 4.7 (4.0–5.1) | 4.0 (3.6–4.6) | 4.4 (3.2–6.0) |
| Final | 159.0 (146.0–179.0) | 5.2 (4.6–5.7) | 4.9 (4.3–5.8) | 4.6 (3.8–5.2) | 5.4 (4.8–5.8) |
| Change | 15.0 (4.0–43.0) | 0.7 (0.1–2.0) | 0.3 (–0.1–0.8) | 0.4 (0.0–1.0) | 0.7 (0.0–1.4) |
| Bowel urgency resolved (n = 31) | |||||
| Baseline | 154.0 (136.0–161.0) | 4.4 (4.1–5.1) | 4.8 (4.3–5.4) | 4.2 (3.4–4.8) | 5.4 (4.2–6.0) |
| Final | 189.0 (178.0–203.0) | 6.2 (5.8–6.6) | 6.0 (5.4–6.4) | 5.2 (5.0–6.2) | 6.6 (5.8–7.0) |
| Change | 43.0 (22.0–62.0) | 1.4 (1.0–2.3) | 1.2 (0.6–1.5) | 1.2 (0.6–2.0) | 1.0 (0.4–2.0) |
| P-valuea | 0.006 | 0.026 | 0.001 | 0.006 | 0.274 |
Table 4.
| Urgency measure | No clinical remission (n = 18) | Clinical remission (n = 35) | P-value |
|---|---|---|---|
| IBDQ question 11 score, No. (%) | |||
| 1 | 2 (11.1) | 0 (0.0) | |
| 2 | 1 (5.6) | 2 (5.7) | |
| 3 | 1 (5.6) | 2 (5.7) | |
| 4 | 3 (16.7) | 1 (2.9) | |
| 5 | 3 (16.7) | 7 (20.0) | |
| 6 | 6 (33.3) | 17 (48.6) | |
| 7 | 2 (11.1) | 6 (17.1) | |
| Mean ± SD | 4.7 ± 1.9 | 5.5 ± 1.3 | |
| Median (IQR) | 5.0 (4.0–6.0) | 6.0 (5.0–6.0) | 0.096a |
| Bowel urgency status, No. (%) | 0.150b | ||
| Presence (score 1–5) | 10 (55.6) | 12 (34.3) | |
| Absence (score 6 or 7) | 8 (44.4) | 23 (65.7) |



PDF
Citation
Print



XML Download