See the commentary "Plasma C-Peptide Level and Continuous Glucose Monitoring-Derived Coefficient of Variation as a Predictable Risk Factor for Hypoglycemia in Koreans with Diabetes" in Volume 40 on page 198.
Abstract
Background
We aimed to investigate the predictive values of plasma C-peptide levels and the continuous glucose monitoring (CGM)-defined coefficient of variation (CV) in risk prediction for hypoglycemia in Korean people with diabetes with normal and impaired kidney function.
Methods
We analyzed data from 1,185 participants diagnosed with type 1 and type 2 diabetes who underwent blinded professional CGM between January 2009 and May 2021 at outpatient clinics. We explored correlations among CGM-defined CV, plasma C-peptide levels, and time below range at <70 and 54 mg/dL across different kidney function categories.
Results
In patients with chronic kidney disease (CKD) stages 1–2 (n=934), 89.3% who had a random plasma C-peptide level higher than 600 pmol/L exhibited a CV of ≤36%. Among those in CKD stage 3 (n=161) with a random plasma C-peptide level exceeding 600 pmol/L, 66.7% showed a CV of ≤36%. In stages 4–5 of CKD (n=90), the correlation between random C-peptide levels and CV was not significant (r=–0.05, P=0.640), including cases with a CV greater than 36% despite very high random plasma C-peptide levels. Random plasma C-peptide levels and CGM-assessed CV significantly predicted hypoglycemia in CKD stages 1–2 and 1–5, respectively.
Conclusion
The established C-peptide criteria in Western populations are applicable to Korean people with diabetes for hypoglycemic risk prediction, unless kidney function is impaired equivalent to CKD stage 3–5. The CGM-defined CV is informative for hypoglycemic risk prediction regardless of kidney function.
Diabetes is a chronic metabolic disorder characterized by hyperglycemia, which results from impaired insulin secretion and/or insulin resistance. C-peptide, a peptide co-secreted with insulin from the β-cells in equimolar amounts, has a longer half-life than insulin. Consequently, C-peptide serves as a reliable marker of endogenous insulin production and β-cell function [1].
Hypoglycemia presents a significant barrier to achieving optimal glycemic control in individuals with diabetes and is linked to potentially fatal complications and increased mortality [2]. The first line of defense against hypoglycemia involves reducing basal insulin secretion, potentially followed by a rise in counterregulatory hormones. However, this defense mechanism fails when endogenous insulin secretion is absent, increasing the risk of severe hypoglycemia. The Diabetes Control and Complications Trial underscored that a lack of endogenous insulin is associated with a heightened risk of hypoglycemia in type 1 diabetes (T1D) [3]. Supporting this, previous research indicates that random or stimulated C-peptide levels below 200 pmol/L, indicative of severe insulin deficiency, are linked to a higher risk of severe hypoglycemia [4,5].
Another factor that influences the occurrence and severity of hypoglycemia is glycemic variability (GV) [6,7]. GV can be quantitatively assessed using continuous glucose monitoring (CGM), which provides various parameters such as time in range (TIR), coefficient of variation (CV), and time below range (TBR) [8]. With the widespread adoption of CGM, studies have demonstrated a correlation between plasma C-peptide levels and the degree of CGM-defined GV [1,4,9,10]. Among the various CGM parameters of GV, CV is primarily used for the risk stratification of hypoglycemia [11,12], with a general threshold of 36% [13]. Previous studies on the correlation between plasma C-peptide levels and the degree of CGM-defined CV have confirmed that random or stimulated C-peptide levels lower than 200 pmol/L are highly predictive of CV >36% or increased TBR <54 mg/dL in CGM [4,9], and that stimulated C-peptide levels higher than 600 pmol/L are highly predictive of CV ≤36% [10]. In this context, international guidelines recommend interpreting plasma non-fasting C-peptide levels persistently higher than 600 pmol/L in individuals with diabetes on insulin therapy as an indicator of type 2 diabetes (T2D) diagnosis [14]. In such cases, switching to non-insulin therapies may be possible [15]. The guidelines also recommend that plasma C-peptide levels lower than 200 pmol/L in people with diabetes on insulin therapy should be interpreted as an indicator of T1D diagnosis with profound endogenous insulin deficiency.
However, these recommendations are based on the studies conducted in Western populations and CGM-based data from other ethnicities are lacking. Moreover, the association between C-peptide, GV, and hypoglycemia in people with diabetes and chronic kidney disease (CKD) is unclear, as CKD can affect both C-peptide clearance [16] and glucose metabolism [17,18]. The risk of hypoglycemia also increases in CKD due to impaired kidney gluconeogenesis, defective insulin clearance, and an impaired counterregulatory hormone response [17,18].
In this study, we utilized data from a large Korean cohort with blinded CGM to explore the predictive values of plasma C-peptide levels for hypoglycemia risk in Korean individuals with T1D or T2D, who have either normal or impaired kidney function. We compared the predictive ability of plasma C-peptide levels with that of the well-established predictor, CGM-defined CV. Additionally, we assessed the predictive power of CGM-defined CV in the same study population in parallel.
We screened 1,893 adults aged 18 years or older with diabetes who underwent professional CGM at the outpatient clinic of the Division of Endocrinology and Metabolism at Samsung Medical Center in Seoul, Republic of Korea, from January 2009 to May 2021. We excluded eight individuals with a history of pancreatic resection. Additionally, we excluded 157 cases without C-peptide measurement and 543 cases where C-peptide was measured at plasma glucose levels below 80 mg/dL or above 180 mg/dL. This exclusion criterion was necessary because C-peptide secretion can be suppressed at low glucose levels and may reflect glucose-responsive stimulated C-peptide at levels exceeding 180 mg/dL [19-21]. Ultimately, 1,185 individuals were included for further analysis. In this study, T1D was defined by the mandatory requirement for insulin treatment and meeting at least one of the following criteria: (1) fasting C-peptide less than 200 pmol/L; (2) glucagon-stimulated C-peptide less than 600 pmol/L; (3) positive test for glutamic acid decarboxylase and/or other autoantibodies; (4) 24-hour urine C-peptide level below 30 μg per day; or (5) a history of diabetic ketoacidosis [22]. Participants who did not meet these criteria were classified as having T2D.
The CGM device was applied to outpatients who maintained their usual lifestyle, including physical activity and diet, and adhered to their standard anti-diabetic medication regimen during the CGM application period. Demographics, anthropometric characteristics, clinical laboratory data, and anti-diabetic medication prescriptions from the 6 months preceding CGM device use were collected from the electronic medical records.
The study protocol received approval from the Institutional Review Board (IRB) of Samsung Medical Center (Seoul, Republic of Korea; IRB no. 2023-01-047-001). The IRB also waived the requirement for informed consent, as the study data were de-identified. Additionally, the protocol followed the guidelines set forth in the Declaration of Helsinki.
Data on glycemic parameters were collected using either the CGMS® Gold (n=982; Medtronic MiniMed, Northridge, CA, USA) or the iPro2 (n=203; Medtronic MiniMed). The CGM devices operated in a blinded manner and required calibration through at least twice-daily measurements of capillary blood glucose levels starting from the first day of use. Both devices recorded glucose concentrations at 5-minute intervals. The CGMS® Gold device captured glucose concentrations over 3 consecutive days, yielding an average of 908.5±200.5 readings, while the iPro2 device recorded over 6 days, with an average of 1,542.3±416.0 readings. The definitions of CGM-derived metrics adhered to the most recent international consensus [12]. TIR was determined by the percentage of time glucose concentrations were within the 70–180 mg/dL range throughout the recording period. Time above range (TAR) was defined as the percentage of time glucose concentrations exceeded 180 mg/dL. TBR <70 or <54 mg/dL indicated the percentage of time glucose concentrations were below these thresholds, respectively. An increased duration of clinically significant hypoglycemia in this analysis was defined as a TBR <70 mg/dL exceeding 4% or a TBR <54 mg/dL exceeding 1%. CGM parameters such as CV, TIR, TAR, and TBR were analyzed using the iPro2 device with Medtronic software and the Easy GV software (www.easygv.co.kr) for the CGMS® Gold device.
Body mass index was calculated as body weight divided by height squared (kg/m2). The estimated glomerular filtration rate (eGFR) was calculated by the Chronic Kidney Disease Epidemiology Collaboration (CKD-EPI) formula [23]. CKD stage was determined based on eGFR levels; CKD stage 1 was defined as an eGFR ≥90 mL/min/1.73 m2, CKD stage 2 as an eGFR of 60–89 mL/min/1.73 m2, CKD stage 3 as an eGFR of 30–59 mL/min/1.73 m2, CKD stage 4 as an eGFR of 15–29 mL/min/1.73 m2, and CKD stage 5 as an eGFR <15 mL/min/1.73 m2.
Data were collected on patients’ medical histories and their use of anti-diabetic medications. These included insulin sensitizers, insulin secretagogues, α-glucosidase inhibitors, dipeptidyl peptidase-4 inhibitors, sodium-glucose cotransporter 2 inhibitors, and glucagon-like peptide-1 receptor agonists. Information on insulin treatment regimens, such as basal insulin, mixed insulin, or basal-bolus insulin use, was also gathered.
Continuous variables are expressed as the median and interquartile range, as appropriate, while categorical variables are presented as numbers and frequencies (%). We employed the one-way analysis of variance (ANOVA) test to compare continuous variables and the chi-square test to compare categorical variables.
The correlation between plasma C-peptide levels and CV was evaluated by Spearman’s rank correlation analysis according to CKD stages (early-stage CKD [stage 1–2], CKD stage 3, and advanced-stage CKD [stage 4–5]). Values of random plasma C-peptide levels and CV that predicted TBR <70 mg/dL more than 4% and TBR <54 mg/dL more than 1% were analyzed using the receiver operating characteristic (ROC) curve. Cut-off values in each ROC analysis were determined based on the Youden index.
All tests were two-sided, and a P value of <0.05 (two-tailed) was considered to indicate statistical significance. Analyses were performed using R version 3.6.1 (R Foundation for Statistical Computing, Vienna, Austria).
The baseline characteristics of the patients grouped according to CKD stages are shown in Table 1. Among the 1,185 patients, 934 were in the early stages of CKD (stages 1–2), 161 were in stage 3, and 90 were in the advanced stages (stages 4–5). The majority of these patients, 83.5% (n=989), had T2D. As CKD stages progressed, both the duration of diabetes and the percentage of patients receiving insulin treatment increased. Similarly, random C-peptide levels rose with advancing CKD stages. In terms of CGM parameters, the CV and TAR increased, while TIR decreased as CKD advanced. The TBR at <70 and <54 mg/dL remained consistent across all CKD stages.
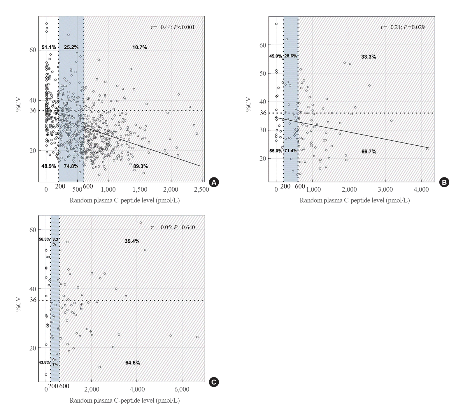
A negative correlation between random plasma C-peptide levels and CGM-defined CV in CKD stages 1–2 was found (r=–0.44, P<0.001), as shown in Fig. 1A. In CKD stages 1–2 (n=934), a vast majority (89.3%) of patients who had a random plasma C-peptide level higher than 600 pmol/L, which has been suggested as a cut-off value for unlikely T1D [4,15,16], demonstrated a CV lower than 36% [12], with few (10.7%) exceptions. In CKD stage 3 (n=161), the correlation between random C-peptide levels and CV remained significant (r=–0.21, P=0.029). Among the patients with CKD stage 3 and a random plasma C-peptide level higher than 600 pmol/L, 33.3% had a CV greater than 36% (Fig. 1B). In CKD stages 4–5 (n=90) the correlation between random C-peptide levels and CV was insignificant (r=–0.05, P=0.640) (Fig. 1C). Among the patients with CKD stage 4–5 and a random plasma C-peptide level higher than 600 pmol/L, 35.4% demonstrated a CV greater than 36% (Fig. 1C).
We also performed a subgroup analysis by dividing the cohort into participants with T1D and T2D. Among T1D patients with CKD stage 3 or higher, the correlation between random C-peptide levels and CV was insignificant, which diverges from the results of the overall cohort (Supplemental Fig. S1). For the T2D group, the findings were similar to those observed in the overall cohort (Supplemental Fig. S2A-C), and were consistent regardless of insulin use (Supplemental Fig. S2D-I).
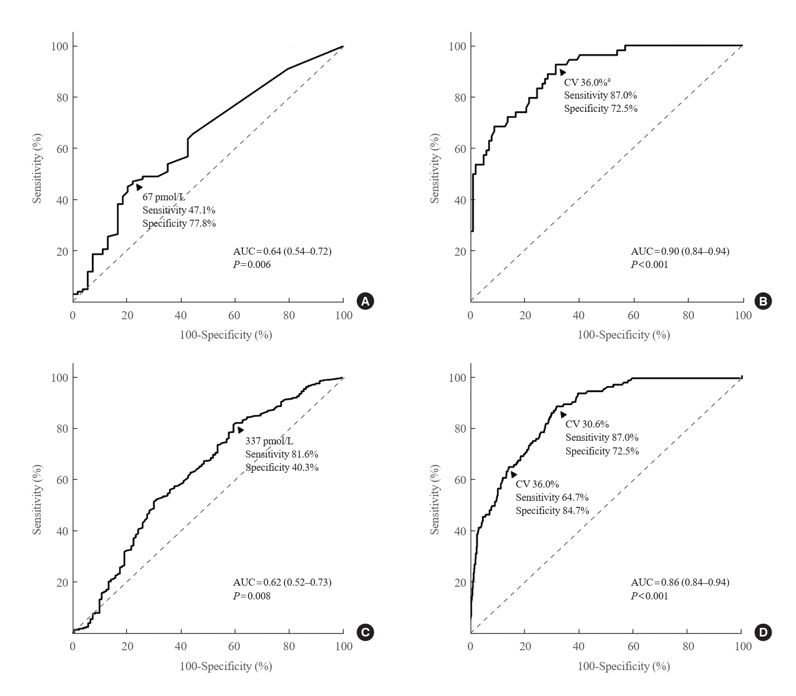
Fig. 2 presents the ROC analysis of random C-peptide levels and CGM-defined CV for predicting TBR <54 mg/dL greater than 1%, stratified by diabetes type. In the T1D group, the area under the curve (AUC) for random C-peptide levels was 0.64 (95% confidence interval [CI], 0.54 to 0.72; P=0.006), with a cut-off value of 67 pmol/L, resulting in a sensitivity of 47.1% and a specificity of 77.8% (Fig. 2A). CGM-defined CV had a stronger predictive value, with an AUC of 0.90 (95% CI, 0.84 to 0.94; P<0.001). The optimal cut-off value for CGM-defined CV was 36.0% (sensitivity, 87.0%; specificity, 72.5%) (Fig. 2B). In the T2D group, the AUC for random C-peptide was 0.62 (95% CI, 0.52 to 0.73; P=0.008) with a cut-off value of 337 pmol/L, yielding a sensitivity of 81.6% and specificity of 40.3% (Fig. 2C). The AUC for CGM-defined CV was 0.86 (95% CI, 0.84 to 0.94; P<0.001) (Fig. 2D). The optimal cut-off value for CGM-defined CV was 30.6% (sensitivity, 87.0%; specificity, 72.5%). For the guideline-recommended target CGM-defined CV (36.0%), a sensitivity of 62.5% and a specificity of 86.1% was obtained.
Similar trends were obtained for the ROC analysis of random C-peptide levels and CGM-defined CV for the prediction of TBR (<70 mg/dL) greater than 4%, again stratified by diabetes type (Supplemental Fig. S3). In this analysis, however, the predictive value of random C-peptide levels in the T1D group did not reach significance for predicting TBR (<70 mg/dL) greater than 4% (AUC, 0.59; 95% CI, 0.50 to 0.68; P=0.118) (Supplemental Fig. S3A), whereas CGM-defined CV significantly predicted TBR (<70 mg/dL) greater than 4% (AUC, 0.89; 95% CI, 0.82 to 0.94; P<0.001) (Supplemental Fig. S3B).
Fig. 3 presents the ROC analysis of random C-peptide levels and CGM-assessed CV for prediction of TBR (<54 mg/dL) greater than 1% according to CKD stages. The AUC of random C-peptide in CKD stages 1–2 was 0.66 (95% CI, 0.62 to 0.70; P<0.001) (Fig. 3A). In CKD stage 3 and stages 4–5, random C-peptide levels did not significantly predict TBR (<54 mg/dL) greater than 1% (AUC, 0.63; 95% CI, 0.51 to 0.74; P=0.102 for CKD stage 3, Fig. 3C; AUC, 0.63; 95% CI, 0.47 to 0.76; P=0.331 for CKD stages 4–5, Fig. 3E). However, CGM-defined CV significantly predicted TBR (<54 mg/dL) greater than 1% throughout all CKD stages (AUC, 0.89; 95% CI, 0.86 to 0.92; P<0.001 for CKD stages 1–2, Fig. 3B; AUC, 0.77; 95% CI, 0.66 to 0.86; P<0.001 for CKD stage 3, Fig. 3D; AUC, 0.83; 95% CI, 0.69 to 0.92; P=0.007 for CKD stages 4–5, Fig. 3F). At a CV of 36% [11-13], the sensitivity and specificity for TBR (<54 mg/dL) greater than 1% were 65.6% and 86.8% in CKD stages 1–2, Fig. 3B, and 52.9% and 70.7% in CKD stage 3, Fig. 3D, respectively.
We also evaluated the ability of random C-peptide levels and CGM-assessed CV to predict TBR (<70 mg/dL) greater than 4% (Supplemental Fig. S4). The results were consistent with the findings for TBR <54 mg/dL greater than 1%. Specifically, random C-peptide levels did not significantly predict TBR (<70 mg/dL) greater than 4% in patients with CKD stage 3 (AUC, 0.59; 95% CI, 0.47 to 0.71; P=0.257) and CKD stages 4–5 (AUC, 0.53; 95% CI, 0.38 to 0.67; P=0.803). However, CGM-assessed CV significantly predicted TBR (<70 mg/dL) greater than 4% across all CKD stages.
In this real-world, observational study involving 1,185 individuals with diabetes who underwent professional CGM, which was blinded to prevent real-time behavioral modifications, the plasma C-peptide criteria established for the White European population [8,14] were effectively applied to Korean individuals with diabetes, provided their kidney function was equivalent to CKD stages 1–2. However, a random C-peptide level exceeding 600 pmol/L, typically recognized as an indicator of a low risk of hypoglycemia [4,10,14], did not ensure a reduced risk of CGM-assessed hypoglycemia as CKD progressed.
Previous studies did not use ROC analysis to establish cut-off values of C-peptide for predicting hypoglycemia or increased GV. Instead, these studies assessed the severity of hypoglycemia in groups with random non-fasting C-peptide levels below 200 pmol/L and above 600 pmol/L [4], or they explored the correlation between fasting C-peptide levels and CGM-defined CV [10] or between non-fasting C-peptide levels and TIR (54 to 180 mg/dL) [9]. Although the previous studies consistently indicated a significantly higher risk of hypoglycemia in individuals with non-fasting C-peptide levels below 200 pmol/L, they also suggested that detectable residual non-fasting C-peptide provides protection against further increases in risk, even below the 200 pmol/L threshold [24,25]. Therefore, non-fasting C-peptide levels should be viewed as a continuous variable rather than a categorical threshold when predicting hypoglycemia. Indeed, our subgroup analysis of participants with T1D—most of whom had random C-peptide levels below 200 pmol/L—confirmed that random C-peptide levels still have predictive value for TBR <54 mg/dL greater than 1%. The cut-off value for predicting TBR <54 mg/dL greater than 1% in this group was 67 pmol/L, significantly lower than that observed in participants with T2D.
With the recent widespread adoption of CGM, physicians are increasingly aware of the hypoglycemia risk in individuals with diabetes who have a CGM-defined CV greater than 36%. This metric also serves as a predictor of hypoglycemia. Accordingly, we have demonstrated the correlation between random C-peptide levels and CGM-defined CV, and concurrently provided AUCs for both variables to assist in predicting TBR <54 mg/dL greater than 1%. This analysis helps readers evaluate the predictive value of random C-peptide levels under various clinical conditions. Additionally, we compiled and segmented data from all participants by type of diabetes and CKD stage. This approach provides insights for multiple clinical scenarios, such as differentiating between types of diabetes, assessing hypoglycemia risk according to diabetes type, and choosing a hypoglycemia predictor based on kidney function levels. This is particularly pertinent for policymakers, considering that current CGM reimbursement criteria in Korea partially depend on C-peptide levels but do not take kidney function into account [22]. We recommend that individuals with impaired kidney function should be prioritized for reimbursement to reduce their risk of hypoglycemia if they have a high CGM-defined CV, even if they do not meet the C-peptide criteria.
Our study demonstrated that the risk of high GV was minimal in patients with CKD stage 1–2 whose random C-peptide levels were 600 pmol/L or more, and this finding is similar to that of prior studies [4,10]. However, the impact of CKD stages on this association has not been explored, given that renal dysfunction influences serum β-cell peptide levels [26]. As CKD progresses, we observed a negative correlation between plasma C-peptide levels and CGM-assessed CV, along with a diminished predictive ability of plasma C-peptide levels for hypoglycemia. Moreover, as CKD advanced to stage 3 or beyond, even extremely high levels of random plasma C-peptide did not preclude the possibility of high GV. Cases still exhibited a CV greater than 36% despite C-peptide levels exceeding 600 pmol/L. This result can be attributed to the primary renal clearance of C-peptide, which may lead to inaccurate measurements in individuals with CKD [16,27]. This finding is consistent with a previous study that found elevated C-peptide levels in most T1D patients with advanced CKD, making it difficult to distinguish between T1D and T2D based on C-peptide alone [27].
A strength of this study is that it provided an opportunity to evaluate the relationship between C-peptide status and blinded CGM-assessed hypoglycemia in people with diabetes in a real-world clinical context, including 251 participants with CKD stage 3 or higher. Since personal CGM devices alert users to severe hypoglycemia beforehand, such events are likely to be intentionally avoided. Consequently, blinded CGM is more appropriate for studies aiming to observe hypoglycemic events.
This study has several limitations. First, it is based on data from a single tertiary center, which may introduce selection bias. Second, the retrospective nature of the study within a real clinical setting meant that the study protocol, including CGM indications and diabetes management, was not standardized. Third, the inclusion of patients undergoing various diabetes treatments, such as insulin and insulin secretagogues, could influence C-peptide levels [28,29]. The use of insulin secretagogues might result in lower glucose/C-peptide ratios, potentially increasing the risk of hypoglycemic episodes. Our study did not adjust for these variables, which could act as potential confounders affecting the results [29]. Fourth, although the use of blinded CGM helps reduce bias, it limits the study’s applicability in real-world settings. Another significant limitation is the low incidence of hypoglycemic events in the T1D subgroup, which restricted our ability to conduct a thorough ROC analysis by CKD stages. Further research involving larger cohorts of T1D patients is necessary to validate these findings.
In conclusion, random plasma C-peptide levels were effective in predicting hypoglycemia among Korean individuals with diabetes, consistent with international cut-off values when kidney function was equivalent to CKD stages 1–2. However, the reliability of these criteria for predicting hypoglycemia risk diminishes in cases of impaired kidney function at CKD stages 3–5. In contrast, CGM-defined CV proved to be a useful predictor of hypoglycemia across all stages of kidney function.
Supplementary Material
Supplemental Fig. S1.
Correlation between random C-peptide and continuous glucose monitoring-assessed coefficient of variation (CV) in type 1 diabetes (T1D) patients. (A) Chronic kidney disease (CKD) stage 1–2, (B) CKD stage 3, and (C) CKD stage 4–5.
Supplemental Fig. S2.
Correlation between random C-peptide and continuous glucose monitoring-assessed coefficient of variation (CV) in type 2 diabetes (T2D) patients, stratified by insulin treatment: (A) total T2D with chronic kidney disease (CKD) stage 1–2, (B) total T2D with CKD stage 3, (C) total T2D with CKD stage 4–5, (D) insulin-treated T2D with CKD stage 1–2, (E) insulin-treated T2D with CKD stage 3, (F) insulin-treated T2D with CKD stage 4–5, (G) non-insulin-treated T2D with CKD stage 1–2, (H) non-insulin-treated T2D with CKD stage 3, and (I) non-insulin-treated T2D with CKD stage 4–5.
Supplemental Fig. S3.
Receiver operating characteristic (ROC) analysis of random C-peptide and continuous glucose monitoring (CGM)defined coefficient of variation (CV) predicting time below range <70 mg/dL more than 4% according to type of diabetes. (A) ROC curve for random C-peptide in patients with type 1 diabetes (T1D), (B) ROC curve for CGM-defined CV in patients with T1D, (C) ROC curve for random C-peptide in patients with type 2 diabetes (T2D), (D) ROC curve for CGM-defined CV in patients with T2D. The values indicated on the graph represent the Youden index-derived cut-off value and the recommended target criterion set by the international guidelines, which is 36%. AUC, area under the curve. aThe value closest to 36% coincided with the Youden index-derived cut-off value.
Supplemental Fig. S4.
Receiver operating characteristic (ROC) analysis of random C-peptide and continuous glucose monitoring (CGM)defined coefficient of variation (CV) predicting time below range <70 mg/dL more than 4% according to chronic kidney disease (CKD) stages. (A) ROC curve for random C-peptide in CKD stage 1–2, (B) ROC curve for CGM-defined CV in CKD stage 1–2, (C) ROC curve for random C-peptide in CKD stage 3, (D) ROC curve for CGM-defined CV in CKD stage 3, (E) ROC curve for random C-peptide in CKD stage 4–5, (F) ROC curve for CGM-defined CV in CKD stage 4–5. The values indicated on the graph represent the Youden index-derived cut-off value and the recommended target criterion set by the international guidelines. AUC, area under the curve.
Notes
REFERENCES
1. Rickels MR, Evans-Molina C, Bahnson HT, Ylescupidez A, Nadeau KJ, Hao W, et al. High residual C-peptide likely contributes to glycemic control in type 1 diabetes. J Clin Invest. 2020; 130:1850–62.

2. International Hypoglycaemia Study Group. Hypoglycaemia, cardiovascular disease, and mortality in diabetes: epidemiology, pathogenesis, and management. Lancet Diabetes Endocrinol. 2019; 7:385–96.
3. Hypoglycemia in the diabetes control and complications trial: the diabetes control and complications trial research group. Diabetes. 1997; 46:271–86.
4. Hope SV, Knight BA, Shields BM, Hill AV, Choudhary P, Strain WD, et al. Random non-fasting C-peptide testing can identify patients with insulin-treated type 2 diabetes at high risk of hypoglycaemia. Diabetologia. 2018; 61:66–74.

5. Steffes MW, Sibley S, Jackson M, Thomas W. Beta-cell function and the development of diabetes-related complications in the diabetes control and complications trial. Diabetes Care. 2003; 26:832–6.
6. Monnier L, Wojtusciszyn A, Colette C, Owens D. The contribution of glucose variability to asymptomatic hypoglycemia in persons with type 2 diabetes. Diabetes Technol Ther. 2011; 13:813–8.

7. Ceriello A, Monnier L, Owens D. Glycaemic variability in diabetes: clinical and therapeutic implications. Lancet Diabetes Endocrinol. 2019; 7:221–30.

8. Effect of intensive therapy on residual beta-cell function in patients with type 1 diabetes in the diabetes control and complications trial: a randomized, controlled trial. Ann Intern Med. 1998; 128:517–23.
9. Brooks AM, Oram R, Home P, Steen N, Shaw JA. Demonstration of an intrinsic relationship between endogenous C-peptide concentration and determinants of glycemic control in type 1 diabetes following islet transplantation. Diabetes Care. 2015; 38:105–12.

10. Christensen MB, Gaede P, Hommel E, Gotfredsen A, Norgaard K. Glycaemic variability and hypoglycaemia are associated with C-peptide levels in insulin-treated type 2 diabetes. Diabetes Metab. 2020; 46:61–5.

11. Jin SM, Kim TH, Bae JC, Hur KY, Lee MS, Lee MK, et al. Clinical factors associated with absolute and relative measures of glycemic variability determined by continuous glucose monitoring: an analysis of 480 subjects. Diabetes Res Clin Pract. 2014; 104:266–72.

12. Battelino T, Danne T, Bergenstal RM, Amiel SA, Beck R, Biester T, et al. Clinical targets for continuous glucose monitoring data interpretation: recommendations from the international consensus on time in range. Diabetes Care. 2019; 42:1593–603.
13. Monnier L, Colette C, Wojtusciszyn A, Dejager S, Renard E, Molinari N, et al. Toward defining the threshold between low and high glucose variability in diabetes. Diabetes Care. 2017; 40:832–8.

14. Holt RI, DeVries JH, Hess-Fischl A, Hirsch IB, Kirkman MS, Klupa T, et al. The management of type 1 diabetes in adults: a consensus report by the American Diabetes Association (ADA) and the European Association for the Study of Diabetes (EASD). Diabetologia. 2021; 64:2609–52.

15. Hohberg C, Pfutzner A, Forst T, Lubben G, Karagiannis E, Borchert M, et al. Successful switch from insulin therapy to treatment with pioglitazone in type 2 diabetes patients with residual beta-cell function: results from the PioSwitch study. Diabetes Obes Metab. 2009; 11:464–71.
16. Jones AG, Hattersley AT. The clinical utility of C-peptide measurement in the care of patients with diabetes. Diabet Med. 2013; 30:803–17.

17. Rahhal MN, Gharaibeh NE, Rahimi L, Ismail-Beigi F. Disturbances in insulin-glucose metabolism in patients with advanced renal disease with and without diabetes. J Clin Endocrinol Metab. 2019; 104:4949–66.

19. Ludvigsson J. Methodological aspects on C-peptide measurements. Acta Med Scand Suppl. 1983; 671:53–9.

20. Maddaloni E, Bolli GB, Frier BM, Little RR, Leslie RD, Pozzilli P, et al. C-peptide determination in the diagnosis of type of diabetes and its management: a clinical perspective. Diabetes Obes Metab. 2022; 24:1912–26.

21. Buzzetti R, Tuomi T, Mauricio D, Pietropaolo M, Zhou Z, Pozzilli P, et al. Management of latent autoimmune diabetes in adults: a consensus statement from an international expert panel. Diabetes. 2020; 69:2037–47.

22. Jin SM, Baek JH, Suh S, Jung CH, Lee WJ, Park CY, et al. Factors associated with greater benefit of a national reimbursement policy for blood glucose test strips in adult patients with type 1 diabetes: a prospective cohort study. J Diabetes Investig. 2017; 9:549–57.

23. Levey AS, Stevens LA, Schmid CH, Zhang YL, Castro AF, Feldman HI, et al. A new equation to estimate glomerular filtration rate. Ann Intern Med. 2009; 150:604–12.

24. Wellens MJ, Vollenbrock CE, Dekker P, Boesten LS, Geelhoed-Duijvestijn PH, de Vries-Velraeds MM, et al. Residual C-peptide secretion and hypoglycemia awareness in people with type 1 diabetes. BMJ Open Diabetes Res Care. 2021; 9:e002288.

25. Gibb FW, McKnight JA, Clarke C, Strachan MW. Preserved C-peptide secretion is associated with fewer low-glucose events and lower glucose variability on flash glucose monitoring in adults with type 1 diabetes. Diabetologia. 2020; 63:906–14.

26. Jaspan JB, Mako ME, Kuzuya H, Blix PM, Horwitz DL, Rubenstein AH. Abnormalities in circulating beta cell peptides in chronic renal failure: comparison of C-peptide, proinsulin and insulin. J Clin Endocrinol Metab. 1977; 45:441–6.

27. Covic AM, Schelling JR, Constantiner M, Iyengar SK, Sedor JR. Serum C-peptide concentrations poorly phenotype type 2 diabetic end-stage renal disease patients. Kidney Int. 2000; 58:1742–50.

Fig. 1.
Correlation between random C-peptide and continuous glucose monitoring-defined coefficient of variation (CV). (A) Chronic kidney disease (CKD) stage 1–2, (B) CKD stage 3, and (C) CKD stage 4–5.
Fig. 2.
Receiver operating characteristic (ROC) analysis of random C-peptide and continuous glucose monitoring (CGM)-defined coefficient of variation (CV) for predicting time below range (<54 mg/dL) more than 1% according to type of diabetes. (A) ROC curve for random C-peptide in patients with type 1 diabetes (T1D), (B) ROC curve for CGM-defined CV in patients with T1D, (C) ROC curve for random C-peptide in patients with type 2 diabetes (T2D), (D) ROC curve for CGM-defined CV in patients with T2D. The values indicated on the graph represent the Youden index-derived cut-off value and the recommended target criterion set by the international guidelines, which is 36. AUC, area under the curve. aThe value closest to 36% coincided with the Youden index-derived cut-off value.
Fig. 3.
Receiver operating characteristic (ROC) analysis of random C-peptide and continuous glucose monitoring (CGM)-defined coefficient of variation (CV) predicting time below range (<54 mg/dL) more than 1% according to chronic kidney disease (CKD) stages. (A) ROC curve for random C-peptide in CKD stage 1–2, (B) ROC curve for CGM-defined CV in CKD stage 1–2, (C) ROC curve for random C-peptide in CKD stage 3, (D) ROC curve for CGM-defined CV in CKD stage 3, (E) ROC curve for random C-peptide in CKD stage 4–5, (F) ROC curve for CGM-defined CV in CKD stage 4–5. The values indicated on the graph represent the Youden index-drived cut-off value and the recommended target criterion set by the international guidelines, which is 36%. AUC, area under the curve. aThe value closest to 36% coincided with the Youden index-derived cut-off value.
Table 1.
Characteristics of the Patients according to CKD Stages
| Variable | CKD stage 1–2 (n=934) | CKD stage 3 (n=161) | CKD stage 4–5 (n=90) | P value |
|---|---|---|---|---|
| Age, yr | 54.1±12.8 | 64.4±11.3 | 54.0±15.1 | <0.001 |
| Male sex | 541 (57.9) | 81 (50.3) | 53 (58.9) | 0.183 |
| BMI, kg/m2 | 24.8±8.7 | 25.1±4.0 | 23.9±3.5 | 0.479 |
| Diabetes type | ||||
| T1D | 167 (17.9) | 10 (6.2) | 19 (21.1) | <0.001 |
| T2D | 767 (82.1) | 151 (93.8) | 71 (78.9) | <0.001 |
| Diabetes duration, yr | 11.7±8.1 | 17.4±8.8 | 19.7±8.5 | <0.001 |
| Diabetes treatmenta | ||||
| Any insulin sensitizer | 613 (65.6) | 77 (47.8) | 7 (7.8) | <0.001 |
| Any insulin secretagogue | 388 (41.5) | 68 (42.2) | 23 (25.6) | 0.011 |
| Any glucosidase inhibitor | 121 (13.0) | 35 (21.7) | 10 (11.2) | 0.047 |
| Any DPP-4 inhibitor | 183 (19.6) | 46 (28.6) | 18 (20.0) | 0.124 |
| Any SGLT2 inhibitor | 18 (1.9) | 3 (1.9) | 0 | <0.001 |
| Any GLP-1 agonist | 13 (1.4) | 4 (2.5) | 0 | <0.001 |
| Insulin treatment | 506 (54.2) | 108 (67.1) | 82 (91.2) | <0.001 |
| Basal insulin regimen | 168 (18.0) | 46 (28.6) | 15 (16.7) | <0.001 |
| Mixed insulin regimen | 100 (10.7) | 27 (16.8) | 14 (15.6) | <0.001 |
| Basal-bolus regimen | 238 (25.5) | 35 (21.7) | 53 (58.9) | <0.001 |
| HbA1c, % | 8.0 (7.2–9.0) | 7.8 (7.2–9.3) | 7.7 (6.9–9.2) | 0.163 |
| Random C-peptide, pmol/L | 520.0 (223.3–813.3) | 663.3 (368.3–1,048.3) | 945.0 (273.3–1,591.7) | <0.001 |
| eGFR, mL/min/1.73 m2 | 89.8±19.3 | 47.5±8.3 | 16.7±12.2 | <0.001 |
| Positive GAD II Ab | 88 (9.4) | 7 (4.3) | 10 (11.1) | 0.470 |
| CGM parameters | ||||
| %CV | 29.5 (22.8–36.6) | 31.7 (26.3–38.0) | 33.3 (26.6–40.3) | <0.001 |
| TIR | 61.4 (40.7–81.7) | 59.7 (41.3–76.0) | 52.3 (37.0–65.4) | 0.023 |
| TBR <70 mg/dL | 0.2 (0.0–3.3) | 0.5 (0.0–3.9) | 0.5 (0.0–2.7) | 0.910 |
| TBR <54 mg/dL | 0.0 (0.0–0.4) | 0.0 (0.0–0.6) | 0.0 (0.0–0.4) | 0.815 |
| TAR | 33.7 (14.3–56.9) | 35.4 (19.3–55.0) | 44.6 (30.2–58.2) | 0.031 |
Values are expressed as mean±standard deviation, number (%), or median (interquartile range).
CKD, chronic kidney disease; BMI, confidence interval; T1D, type 1 diabetes; T2D, type 2 diabetes; DPP-4, dipeptidyl peptidase-4; SGLT2, sodiumglucose cotransporter 2; GLP-1, glucagon-like peptide-1; HbA1c, glycosylated hemoglobin; eGFR, estimated glomerular filtration rate; GAD, glutamic acid decarboxylase; Ab, antibody; CGM, continuous glucose monitoring; CV, coefficient of variation; TIR, time in range; TBR, time below range; TAR, time above range (>180 mg/dL).



PDF
Citation
Print



XML Download