Abstract
Background
Methods
Results
Supplementary Material
Supplemental Table S1.
Supplemental Table S2.
Supplemental Table S3.
Notes
ACKNOWLEDGMENTS
This research was supported by a grant from the Patient-Centered Clinical Research Coordinating Center funded by the Ministry of Health & Welfare, Republic of Korea (grant number: RS-2024-00398702) and the National Cancer Center (2210521). The funding source played no role in the data collection, the decision to submit the manuscript for publication, or the design, data collection, analysis, interpretation of the data, or writing of the manuscript.
REFERENCES
Fig. 2.
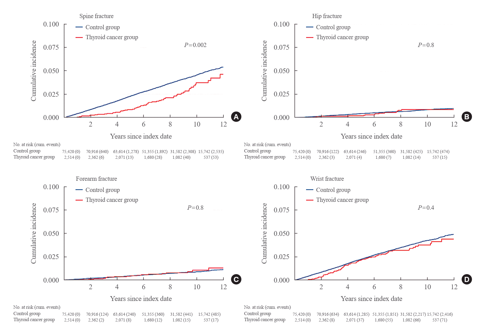
Fig. 3.
Table 1.
Values are expressed as median (interquartile range) or number (%). Household income information was grouped into categories based on the following percentages: lower, 40%; middle, 30%; and upper, 30%. The alcohol consumption categories were as follows: none, mild to moderate (1–5 times a week and <7 drinks on any day per week), and heavy (>6 times a week or ≥7 drinks on any day per week).
BMI, body mass index; SBP, systolic blood pressure; DBP, diastolic blood pressure; FPG, fasting plasma glucose; TC, total cholesterol.
Table 2.
| Outcome |
Total thyroid cancer |
Control |
HR (95% CI) | P value | ||
|---|---|---|---|---|---|---|
| No. of events (%)a | Incidence rate, /1,000 PY | No. of events (%)a | Incidence rate, /1,000 PY | |||
| Overall | 166 (6.6) | 9.03 (7.76–10.51) | 6,173 (8.2) | 11.17 (10.90–11.45) | 0.81 (0.69–0.94) | 0.006 |
| Men | 9 (2.0) | 2.81 (1.46–5.40) | 384 (2.9) | 3.97 (3.59–4.39) | 0.71 (0.37–1.37) | 0.306 |
| Women | 157 (7.6) | 10.34 (8.84–12.09) | 5,789 (9.3) | 12.7 (12.38–13.03) | 0.81 (0.70–0.95) | 0.010 |
| Age <50 yearsb | 27 (5.3) | 6.98 (4.84–5.60) | 723 (3.9) | 5.21 (4.84–5.60) | 1.33 (0.91–1.96) | 0.143 |
| Age ≥50 yearsb | 130 (6.5) | 11.49 (9.68–13.65) | 5,066 (8.9) | 15.98 (15.55–16.43) | 0.72 (0.60–0.85) | <0.001 |
Table 3.
| Osteoporosis treatment |
Total thyroid cancer |
Control |
HR (95% CI) | P value | ||
|---|---|---|---|---|---|---|
| No. (%)a | Treatment rate, /1,000 PY | No. (%)a | Treatment rate, /1,000 PY | |||
| Overall | 281 (11.2) | 15.64 (13.91–17.58) | 7,411 (9.8) | 13.39 (13.09–13.70) | 1.17 (1.04–1.31) | 0.010 |
| Men | 3 (0.1) | 0.93 (0.30–2.88) | 47 (0.06) | 0.48 (0.36–0.64) | 1.95 (0.60–6.31) | 0.267 |
| Women | 278 (11.1) | 18.86 (16.77–21.22) | 7,364 (9.8) | 16.16 (15.80–16.54) | 1.16 (1.03–1.31) | 0.012 |
| Age <50 yearsb | 31 (1.2) | 7.95 (5.59–11.30) | 622 (0.8) | 4.43 (4.09–4.79) | 1.78 (1.24–2.56) | 0.002 |
| Age ≥50 yearsb | 247 (9.8) | 22.79 (20.12–25.85) | 6,742 (8.9) | 21.40 (20.89–21.91) | 1.06 (0.93–1.20) | 0.387 |
| Age at starting osteoporosis treatment, yr | ||||||
| Age <50 yearsb | 54.6±3.0 | 54.6±2.8 | 0.896 | |||
| Age ≥50 yearsb | 65.5±7.5 | 67.3±7.6 | <0.001 | |||
| Time from index date to osteoporotic fracture, mo | ||||||
| Age <50 yearsb | 73.0±42.1 | 71.5±37.6 | 0.833 | |||
| Age ≥50 yearsb | 63.4±32.5 | 50.8±33.9 | <0.001 | |||
Table 4.
|
Total thyroid cancer |
Control |
HR (95% CI) | P value | |||||
|---|---|---|---|---|---|---|---|---|
| No. of events (%)a | Incidence rate, 1,000 PY | Cumulative incidence at 10 years, % (95% CI) | No. of events (%)a | Incidence rate, 1,000 PY | Cumulative incidence at 10 years, % (95% CI) | |||
| Total | ||||||||
| Spine | 58 (35.0) | 3.16 (2.44–4.08) | 3.70 (2.70–4.90) | 2,659 (43.1) | 4.84 (4.63–4.99) | 4.50 (4.40–4.70) | 0.66 (0.51–0.85) | 0.001 |
| Hip | 15 (9.0) | 0.82 (0.49–1.35) | 0.88 (0.50–1.40) | 495 (8.0) | 0.90 (0.82–0.98) | 0.86 (0.78–0.95) | 0.91 (0.55–1.52) | 0.722 |
| Humerus | 18 (10.8) | 0.98 (0.62–1.55) | 1.00 (0.59–1.70) | 511 (8.3) | 0.92 (0.85–1.01) | 0.88 (0.8–0.97) | 1.06 (0.66–1.69) | 0.814 |
| Wrist | 75 (45.2) | 4.08 (3.25–5.12) | 3.80 (2.90–4.80) | 2,508 (40.6) | 4.54 (4.36–4.72) | 4.30 (4.10–4.40) | 0.90 (0.72–1.13) | 0.365 |
| Age <50 yearsb | ||||||||
| Spine | 12 (41.4) | 2.54 (1.44–4.47) | 2.60 (1.30-4.80) | 306 (38.0) | 1.76 (1.57–1.97) | 1.70 (1.50–1.90) | 1.44 (0.81–2.57) | 0.213 |
| Hip | 1 (3.4) | 0.21 (0.03–1.50) | 0.20 (0.02-1.10) | 43 (5.3) | 0.25 (0.18–0.33) | 0.27 (0.19–0.37) | 0.86 (0.12–6.22) | 0.878 |
| Humerus | 4 (13.8) | 0.85 (0.32–2.26) | 0.95 (0.30-2.40) | 84 (10.4) | 0.48 (0.39–0.60) | 0.47 (0.37–0.59) | 1.75 (0.64–4.78) | 0.275 |
| Wrist | 12 (41.4) | 2.54 (1.44–4.47) | 2.30 (1.10-4.00) | 374 (46.3) | 2.15 (1.94–2.38) | 2.10 (1.90–2.40) | 1.18 (0.66–2.10) | 0.575 |
| Age ≥50 yearsb | ||||||||
| Spine | 46 (33.6) | 3.37 (2.52–4.50) | 4.20 (2.90–5.70) | 2,353 (43.8) | 6.22 (5.97–6.47) | 5.90 (5.60–6.20) | 0.54 (0.40–0.72) | <0.001 |
| Hip | 14 (10.2) | 1.02 (0.61–1.73) | 1.10 (0.64–1.90) | 452 (8.4) | 1.19 (1.09–1.31) | 1.10 (1.00–1.30) | 0.86 (0.50–1.45) | 0.562 |
| Humerus | 14 (10.2) | 1.02 (0.61–1.73) | 1.10 (0.56–2.00) | 427 (8.0) | 1.13 (1.03–1.24) | 1.10 (0.96–1.20) | 0.90 (0.53–1.54) | 0.713 |
| Wrist | 63 (46.0) | 4.61 (3.60–5.90) | 4.30 (3.20–5.50) | 2,134 (39.8) | 5.64 (5.40–5.88) | 5.20 (4.90–5.40) | 0.82 (0.64–1.05) | 0.119 |



PDF
Citation
Print



XML Download