Journal List > Korean J Orthod > v.55(3) > 1516090721

Kim, Lee, Kim, Kim, Kim, Park, Choi, and Kim: Force and moment analysis of clear aligners: Impact of material properties and design on premolar rotation

Abstract

Objective

To quantitatively analyze and compare the forces and moments generated by thermoformed polyethylene terephthalate glycol (PETG) and direct-printed TC-85 clear aligners (CAs), with various margin designs, during premolar rotation.

Methods

In total, 132 CAs were fabricated and divided into four groups (n = 33 per group). Group C consisted of thermoformed PETG aligners with a 2 mm gingival margin. Group E comprised direct-printed TC-85 aligners with equi-gingival margin, whereas Group G utilized direct-printed TC-85 aligners with 2 mm gingival margins. Finally, Group T featured direct-printed TC-85 aligners with an additional 1 mm thickness at the mesial embrasure. The forces and moments were measured using a 6-axis force/moment transducer at 2°, 3°, and 4° of rotation. All measurements were conducted at 37°C to simulate intraoral conditions. Forces were measured in the buccolingual, anteroposterior, and vertical directions, while moments were measured in the mesiodistal, buccolingual, and rotational planes.

Results

The PETG aligners (Group C) showed significantly increased buccal and posterior force across the rotation angles (P < 0.05), whereas the intrusive force remained consistent. In contrast, the TC-85 aligners maintained consistent forces across all rotation angles. Direct-printed aligners demonstrated significantly lower intrusive forces than PETG aligners (P < 0.001). Group T exhibited reduced unwanted forces while maintaining effective rotational moments. Furthermore, all direct-printed aligners showed more predictable force delivery patterns than thermoformed aligners.

Conclusions

Direct-printed TC-85 aligners demonstrated superior force consistency and reduced unwanted side effects compared with traditional PETG aligners. Although marginal design modifications did not significantly improve rotational efficiency, they effectively reduced unwanted intrusive forces.

INTRODUCTION

In the United States, approximately 2.5 million children undergo orthodontic treatment each year, with the use of clear aligners (CAs) increasingly popular in recent years.1 Compared with traditional orthodontic treatment with fixed brackets and wires, CA use has been successful in non-extraction cases with mild-to-moderate crowding.2,3
Despite improved aesthetics and convenience, orthodontic treatment with CAs have limited use in achieving certain tooth movements, such as rotation, extrusion, overjet correction, extraction space closure, and expansion, when compared to traditional wire and bracket systems.3-6 Of these, the least accurately corrected tooth movement is rotation (46%). Although optimized attachments are used for rotational movements to increase accuracy, the rotation of round teeth such as canines and premolars remains a challenge.7,8 In order to achieve efficient tooth rotation with CAs, geomorphometric modifications based on the biomechanics of CA treatments are required. This can be achieved through direct measurements of the forces and moments exerted on the teeth by CAs.9
Finite element methods (FEM), traditionally used for analyzing complex biomechanics, have also been used to evaluate tooth movement associated with CAs.10,11 However, conditions within FEM simulations can differ from those of the actual treatment, which often results in incomplete evaluations. In particular, traditional CAs have non-uniform thickness due to the thermoforming process, which is often simplified by assuming a uniform value in FEM analysis.12,13 In addition, the potential impact of the CA thickness on loading should be considered and modeled.14 A complete understanding of factors affecting CA evaluation in simulations is lacking. The coefficient of friction between CAs and teeth is not yet known, and its impact has not yet been accurately analyzed.15
Grant et al.16 introduced a device for directly measuring the forces and moments generated by CAs, utilizing a miniature force/torque sensor. This device can measure the forces and moments of direct-printed CAs to enable a more accurate biomechanical analysis of tooth movement.
In this study, we compared the effectiveness of thermoplastic and direct-printed CAs at achieving rotational movement of mandibular premolars. Three direct-printed CA designs were fabricated and compared by adjusting the thickness and margins at specific sites. The forces and moments generated by different fabrication methods and CA designs were analyzed across varying degrees of premolar rotation.

MATERIALS AND METHODS

CA fabrication and measurement device

The mandibular model was designed by scanning the Nissin dental model (NISSIN B3-305; Nissin Dental Product, Kyoto, Japan) using a 3D scanner (TRIOS 4; 3Shape TRIOS, Copenhagen, Denmark). Based on the mandibular model, an apparatus was designed utilizing a Meshmixer (Autodesk, San Francisco, CA, USA) to measure the forces and moments applied to the mandibular second premolars when a CA was fitted to rotate mandibular second premolars. The second premolar was designed to be separated from the model and connected to a 6-axis miniature force/torque sensor (Aidin Robotics, Seoul, Korea) to measure forces and moments (Figure 1). A rotational zig was installed on the lower side of the second premolar to facilitate rotation. The planned rotational movements were 2°, 3°, and 4°.
The thermoforming-fabricated CA comprised 0.75 mm thick polyethylene terephthalate glycol (PETG) (Easy-Vac; 3A MEDES, Goyang, Korea). The three-dimensional (3D)-printed CA was printed using a dental 3D printer (NBEE; UNIZ, San Diego, CA, USA) and TC-85, a transparent light-curable resin (Graphy Inc., Seoul, Korea). To account for potential losses, 33 CAs were fabricated for each experimental group.

Setup tooth movement to improve rotation and design modification of direct-printed CA

To improve the rotation of the mandibular second premolars using CA, a de-rotation setup was created using Meshmixer software. The mandibular second premolars were attached to the buccal surface using a vertical rectangular attachment (3.5 × 1.5 × 1.0 mm). Finally, CAs were prepared for the following groups with different materials and margin designs for the 2–4° rotation improvement plan, with mesial rotations of the mandibular second premolars in the occlusal plane (Figure 2).
  • 1) Group C: conventional type, 2 mm gingival margin design fabricated via thermoforming using PETG.

  • 2) Group E: designed with a 0.5 mm thickness and equi-gingival margin and fabricated via direct printing using TC-85.

  • 3) Group G: designed with a 2 mm gingival margin and 0.5 mm thickness and fabricated via direct printing using TC-85.

  • 4) Group T: 0.5 mm thick, equi-gingival margin, with an additional 1 mm thickness from the anterior area of the attachment to the mesial embrasure. It was fabricated by direct printing using TC-85.

Experimental setup and conditions

The experiments were conducted in a forced convection incubator (C-INDF; Changshin Science, Seoul, Korea) maintained at 37°C to reproduce the intraoral environment. Direct-printed CAs were soaked in a water bath heated to the glass-transition temperature of 69.4°C for 5 seconds, dried, and mounted in the experimental model. The stabilized forces and moments were then measured by placing the experimental apparatus in a 37°C bath. The directions of the force and moment on the x-, y-, and z-axes obtained from the tooth were separated by +/− signs and matched as shown in Table 1.

Statistical analysis

All measurements were normally distributed and presented as means and standard deviations. Within each design group, the force and moment values for the 2°, 3°, and 4° rotation angles were compared using a one-way analysis of variance (ANOVA) followed by Tukey’s least significant difference (LSD) post-hoc test. In addition, the forces and moments generated by the four CA design groups at the rotation angle were compared using one-way ANOVA with Tukey’s LSD. All analyses were performed using R software (R foundation for Statistical Computing, Vienna, Austria) with a significance level of P < 0.05.

RESULTS

Comparison of forces and moments generated by thermoforming type CA (Group C: PETG)

In Group C, as the degree of setup increased, the buccal (Fx) and posterior (Fy) forces tended to increase (P < 0.05), and an intrusive force (Fz) occurred. At 2° and 3° rotations, the mesial rotation moment (Mx) was positive, whereas at 4°, the distal rotation moment was negative. The buccolingual rotational moment (My) showed a buccal moment of 2°, followed by a lingual moment, as the angle increased (P < 0.001). When the rotation moment (Mz) of the second premolar was calculated, the mean value increased significantly with an increasing angle (P < 0.001) (Table 2).

Comparison of forces and moments generated by direct-printed CA with equi-gingival margin (Group E)

In Group E, the buccolingual force (Fx) had similar values at 2° and 3° angles but increased significantly at 4°. No differences were observed between the angles of the anteroposterior (Fy) and vertical (Fz) forces. The anteroposterior rotation moment (Mx) was almost unchanged at 2° at –0.08 ± 1.56 N mm but increased significantly at 3° and 4° (P < 0.001). The buccal rotation moment (My) showed a tendency to rotate more lingually as it increased from 2° to 3° but did not show a significant difference when rotated further. The Z-axis moment used to measure the rotational moment was also significantly different when the angle increased from 2° to 3° (P < 0.001) (Table 3).

Comparison of the forces and moments generated by a direct-printed CA with the proximal thickness (Group T)

In Group T, the buccal force (Fx) had similar values at 2° and 3° but was significantly decreased at 4° (P < 0.001). The posterior force (Fy) change decreased slightly between 2° and 3°, then increased at 4°. The intrusive force (Fz) did not vary with the setup angle. The anterior rotation moment (Mx) increased from 2° to 3° but decreased slightly when it increased to 4° (P < 0.05). The buccolingual rotational moment (My) showed the lingual rotational moment values at all angles. The Z-axis (Mz) values, which determine the rotational moment of the second premolars, tended to increase with increasing angles (Table 4).

Comparison of forces and moments generated by direct-printed CA with a 2 mm gingival margin (Group G)

The buccolingual force (Fx) increased with the angle. Posterior (Fy) and intrusive (Fz) forces occurred at all angles, with no differences between them. The mesial rotation moment (Mx) increased from 2° to 3° but did not differ at 4°. The buccolingual rotation moment (My) showed lingual rotation, with the lowest value at an angle of 2°, increasing at 3°, and then decreasing at 4°. The Z-axis (Mz) values tended to increase with increasing angle (P < 0.05) (Table 5).

Comparison of the forces and moments generated by the CA design groups within each degree of rotation

With a 2° rotation angle, there was no significant difference in the buccolingual force (Fx) among Groups C, E, and T; however, Group G showed significantly lower values (P < 0.001). Regarding the vertical force (Fz), Group C showed the highest intrusive force, followed by Groups G, E, and T, in decreasing order. The anteroposterior rotational moment (Mx) had a mid-range value in Group C, with Group E having the lowest value and Groups T and G having the highest. The buccolingual rotational moment (My) was positive in Group C, indicating a buccal rotational moment, and negative in the other groups, indicating a lingual rotational moment. Groups T and G had significantly lower values than the others (P < 0.001). The Z-axis moment (Mz) used to measure the rotational moment was significantly higher in Group C, whereas the remaining groups showed lower values.
With a 3° rotation angle, the buccolingual force (Fx) was significantly lower in Group G than in the other groups (P < 0.001). Group C showed significantly higher values in the anteroposterior direction (Fy). The intrusive force (Fz) was largest in Group C, followed by Groups G, E, and T, in decreasing order. The rotational moment of the anteroposterior direction (Mx) was higher in Groups T and G and decreased significantly in Groups E and C. The buccolingual rotation moment (My) showed a lingual rotation moment in all groups; however, the highest value in Group C and the lowest values in Groups E and T showed significant lingual rotation moments (P < 0.001). The Z-axis moment (Mz) values used to examine the rotational moment of the second premolars were significantly higher in Group C, but there was no difference between the other groups.
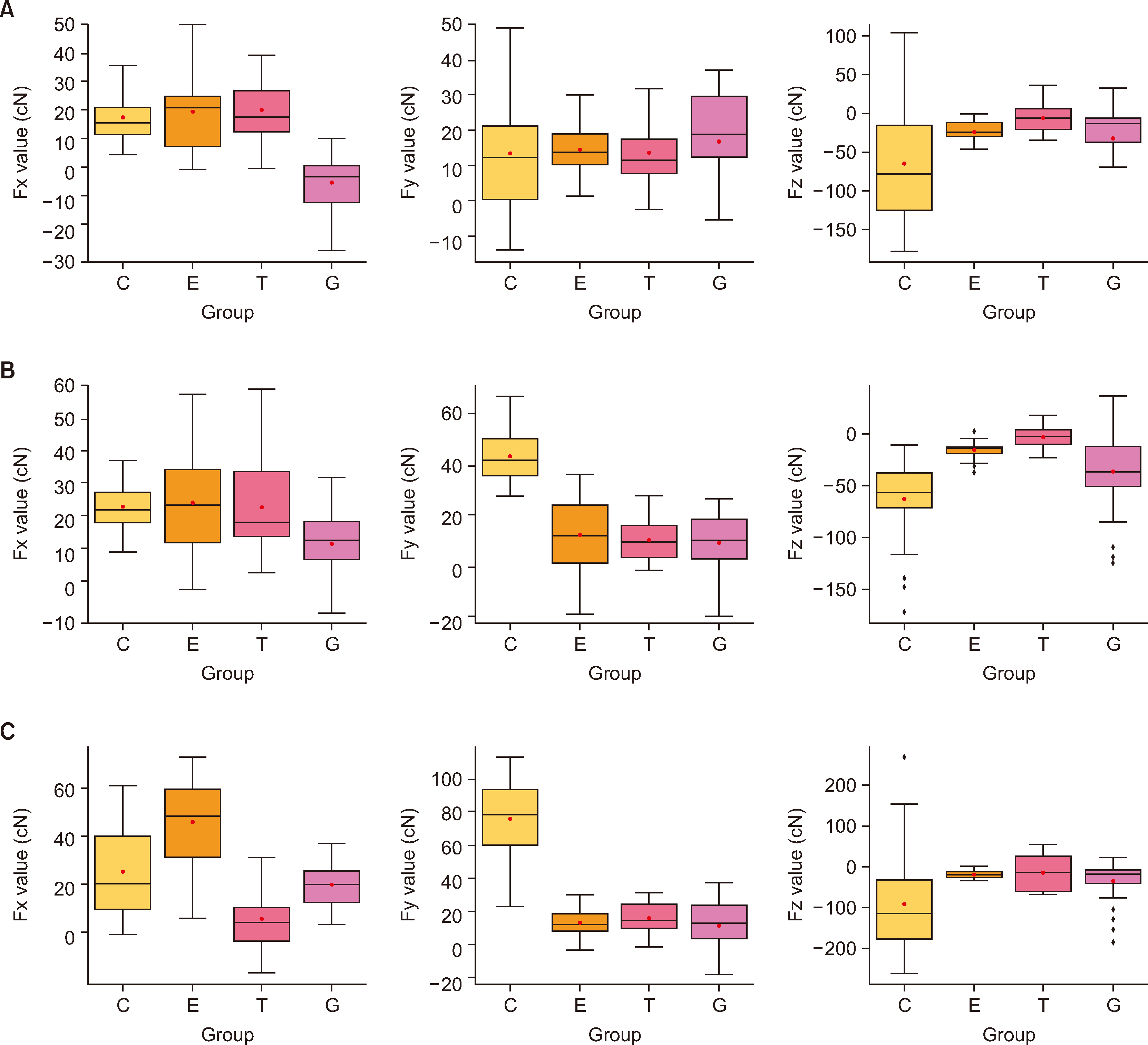
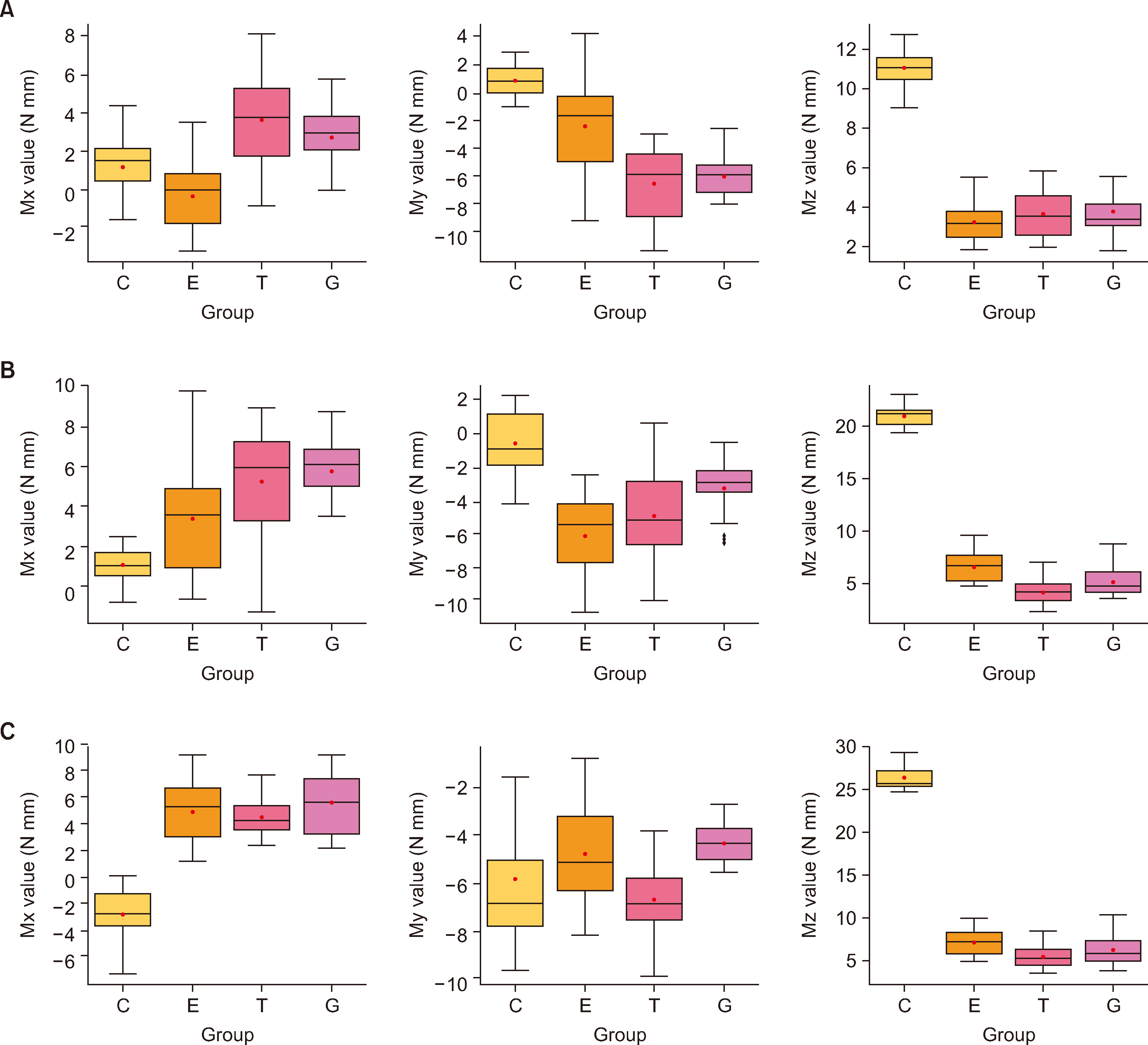
Finally, with a 4° rotation angle, the buccal force (Fx) was significantly higher in Group E, whereas Groups C and G had similar midrange values. Group T had significantly lower values. The distal force (Fy) and intrusive force (Fz) were significantly higher in Group C than in the other groups (P < 0.001). The moment of rotation (Mx) in the anteroposterior direction was positive in the mesial direction without significant differences among Groups E, T, and G. However, Group C had a significantly negative value in the distal direction (P < 0.001). The buccolingual rotation moment (My) showed various values among the groups. Still, all showed lingual rotation moments, with Group T showing the most significant lingual rotation moment and Group G showing the least. The Z-axis moment (Mz) values were significantly higher in Group C than in the other groups (P < 0.001) (Figures 3, 4, and Table 6).

DISCUSSION

This study aimed to evaluate the effectiveness of CA designs in achieving precise premolar rotation. Despite the widespread use of CAs, their ability to achieve complex tooth movements, such as premolar rotation, remains limited due to differences in force application mechanisms. Our findings confirm that aligners have lower predictability for rotational movement compared to fixed appliances, which consistently apply rotational forces through a bracket-wire system with a predictable center of rotation.17-19 In contrast, aligners primarily contact the buccal and palatal surfaces during rotation,20 resulting in reduced grip and unintended movements along multiple axes, as observed in this study. To address these issues, we designed the study to minimize proximal contact (< 0.1 mm) between second premolars during rotational movement, aiming to reduce interference and enhance rotational accuracy, referencing the work of Kravitz et al.21
The material properties of CAs have a significant impact on orthodontic outcomes owing to their force-delivery characteristics. Traditional CAs have been fabricated from thermoplastics, such as PETG, thermoplastic polyurethane, and polycarbonate.22-25 However, these materials present challenges for consistent force delivery. The fabrication process causes thickness variations ranging from 57.5% to 92.6%,26-28 resulting in uneven force application. Thicker areas may apply excessive force, whereas thinner regions may not provide sufficient force for effective tooth movement. The physical properties of thermoplastic materials, such as surface hardness, elasticity, and water absorption, also affect force application.29 For example, the low elasticity of PETG limits its ability to maintain consistent forces beyond 2% strain, leading to plastic deformation and reduced force over time. In addition, these materials struggle to grip tooth undercuts (Figure 5), which affects force transmission and predictability.
Recently, direct-printed CAs using a biocompatible light-curing resin (TC-85) have shown improved force delivery.16,30 The uniform thickness achieved by direct printing ensures consistent force distribution across the tooth. The viscoelastic and shape-memory properties of TC-85 allow it to maintain light forces in an optimal range, preventing force decay seen with thermoplastics.30 The material’s flexibility and geometric stability prevent deformation at elevated temperatures. In addition, TC-85 accurately conformed to the tooth morphology, including undercuts, ensuring effective force transmission and more predictable tooth movement. This results in better orthodontic outcomes than those of traditional thermoplastics.
Optimal force and moment are essential to achieving ideal tooth movement, which involves direct bone resorption without disturbing tissue blood flow and causing bone necrosis and is related to the application of the appropriate light force.31 Proffit et al.32 reported that the optimal force for rotational movement is 35–60 cN, but studies on the forces applied by CA, particularly for rotational movement, are limited.
Elkholy et al.33 reported that on the rotational movement of teeth using CA, the force and moment exhibited a linear relationship with the setup angles (2–4º) at a relatively high slope, followed by a flat, irregular plateau as the setup angle increased. This pattern was also observed in the PETG-made CA (Group C) in the present study, where the values of the rotational moment (Mz) and distal tilting force (Fy) increased rapidly as the derotation setup angle increased. In contrast, in the other groups utilizing direct-printed TC-85, forces closer to the optimal force were produced and maintained. The aforementioned differences in material properties and characteristics explained these results.30 Because of these properties, TC-85 was able to apply consistent light forces to the teeth, and even when the set angle was more significant than that of the PETG, it was able to apply similar forces and moments. Therefore, TC-85 contributed to a reduction in the overall number of CA stages.
Several suggestions have been made regarding the degree of derotation of each CA. Ferlias et al.34 reported that a derotation of 4.5° in the CA generated moments higher than those required to improve rotation. They suggested that it was reasonable not to exceed a rotation angle of 1.5°.34 Simon et al.7 also reported that a setup of more than 1.5° per CA significantly reduced the efficiency of tooth movement. A FEM analysis of stress distributed within the periodontal ligament by Cortona et al.12 also suggested that the rotation angle per CA should not exceed 1.2°. In addition, Elkholy et al.33 reported that the most frequent dislodgement of attachments occurred at rotation angles between 4.9° and 6.1°. Therefore, in the present study, the derotation degree was set to 2°, 3°, and 4° within the range of the dislodgement angle.
The present study measured forces and moments on the second premolars rotated by the PETG-made CA (Group C) and directly printed TC-85 CA with a modified margin design (Groups E, G, and T). The results showed that the force generated by the PETG CA at 2° derotation, which was considered optimal, was significantly greater than that proposed by Proffit et al.32 and increased with the angle. In contrast, the direct-printed CA groups generated less force, were closer to the optimal range, and remained constant with increasing angle. This suggests that the TC-85 direct-printed CA is effective for derotation angles ranging from 2° to 4°.
Despite the use of various attachments, significant intrusion forces and tipping movements have been reported in the rotation of teeth using CA,18,33-35 which are consistent with the results of the present study. In particular, the intrusion force of the CA made of PETG ranged from 62.86 to 90.62 cN, similar to the results of Ferlias et al.,34 and exceeded the optimal force of 10–20 cN for intrusion. However, the three groups that used direct-printed CAs exhibited lower intrusion forces. Similarly, as the rotational angle increased, the distal force gradually increased for CA made of PETG. Still, it remained relatively constant for the direct-printed CA groups, likely because of the material properties.32 Therefore, direct-printed CAs could improve treatment efficiency by reducing side effects such as intrusive forces and tipping.
The present study also examined whether modification of the margin design of direct-printed CAs could improve rotational movement efficiency. Group T was designed to increase the thickness of the anterior embrasure, which was based on a study that showed that a thicker CA delivered stronger tipping forces.36 The results showed that the tipping force was significantly less than that of other direct printing types but had minimal impact on rotational moments. Therefore, a thickened anterior embrasure design could reduce intrusive forces, a side effect discussed earlier. However, its efficiency in rotational improvement alone is limited.
In CA treatment, it is necessary to use attachments of different designs to prevent the CA from slipping.12,33,37-39 In a previous study evaluating the moments to rotate the teeth, Ferlias et al.34 reported that the vertical rectangular attachment generated the most considerable moment, with significant buccal root torque. Simon et al.40 reported that the moment was significantly higher with the attachment, 8.8 N mm, compared to 1.2 N mm without the attachment, and the intrusive force was reduced. Therefore, in the present study, we also applied vertical rectangular attachment to the mandibular second premolars, and all groups showed buccal root torque except for the Mx value of CA with PETG at derotation of 2°. In contrast, the direct-printed CA with a thickened mesial embrasure showed a more significant buccal root moment at all setup angles, which was attributed to the deep fit extending from the mesial embrasure area to the proximal contact point with the thicker CA.
To produce optimal forces for tooth movement while maintaining elasticity to reduce CA deformation, PETG’s low elasticity and risk of plastic deformation if the strain exceeds 2% must be considered. Therefore, the degree of de-rotation should remain within the elastic limits of the material. However, TC-85, a material used for direct-printed CA with its shape memory effect and significant energy loss from dynamic mechanical analysis results at oral temperatures (37°C),30 can deliver weak forces even if the strain exceeds 2%, making it a more effective material for CA. TC-85 recovered its elastic phase without plastic deformation with temperature changes, allowing for better force management through material properties rather than modifying the alignment margin design.
This study measured the forces and moments generated by PETG and TC-85 CAs using a 6-axis force/moment transducer at intraoral temperatures (37°C), providing insight into their initial force systems. However, this study has several limitations. This study did not fully replicate the intraoral environment by excluding humidity, friction, and occlusal force. While focusing on the initial force, the study lacked data on long-term material performance, deformation, or force reduction with repeated use. In addition, biological processes that affect tooth movement, such as the periodontal ligament response or bone remodeling, were not considered, limiting the clinical relevance of the findings. Future research should address these limitations by evaluating force reduction and material deformation with repeated use, including oral environmental factors, and by conducting longitudinal clinical studies to better understand the relationship between mechanical data and actual tooth movement, thereby providing deeper insights into the biological and clinical effects of CAs.

CONCLUSIONS

In this study, we quantitatively measured the forces and moments generated when applying rotational forces to second premolars using thermoformed PETG CA and direct-printed TC-85 CA with various margin designs to identify the CA material and design that achieves rotational movement more effectively. Consequently, the forces and moments of the CA printed directly using TC-85 remained relatively constant as the rotational setup angle increased. However, the various margin designs did not increase the efficiency of rotational movement by themselves; instead, they reduced unwanted movements such as intrusion forces.

Notes

AUTHOR CONTRIBUTIONS

Conceptualization: YIK. Data curation: DWK, SHK. Formal analysis: YKC, YIK. Funding acquisition: YIK. Investigation: DWK, HJL. Methodology: DWK, HJL, KBK, YKC. Project administration: DWK, HJL, SHK, SBP. Resources: SHK, SSK. Software: YIK, YKC. Supervision: SSK, SBP. Validation: YCK, YIK. Visualization: YKC. Writing–original draft: DWK. Writing–review & editing: YIK, YKC.

CONFLICTS OF INTEREST

No potential conflict of interest relevant to this article was reported.

FUNDING

This study was supported by the Busan-Gyeongnam-Ulsan branch of the Korean Association of Orthodontics.

REFERENCES

1. Jeremiah HG, Bister D, Newton JT. 2011; Social perceptions of adults wearing orthodontic appliances: a cross-sectional study. Eur J Orthod. 33:476–82. https://doi.org/10.1093/ejo/cjq069. DOI: 10.1093/ejo/cjq069. PMID: 20651044.
2. Djeu G, Shelton C, Maganzini A. 2005; Outcome assessment of Invisalign and traditional orthodontic treatment compared with the American Board of Orthodontics objective grading system. Am J Orthod Dentofacial Orthop. 128:292–8. discussion 298https://doi.org/10.1016/j.ajodo.2005.06.002. DOI: 10.1016/j.ajodo.2005.06.002. PMID: 16168325.
3. Gu J, Tang JS, Skulski B, Fields HW Jr, Beck FM, Firestone AR, et al. 2017; Evaluation of Invisalign treatment effectiveness and efficiency compared with conventional fixed appliances using the Peer Assessment Rating index. Am J Orthod Dentofacial Orthop. 151:259–66. https://doi.org/10.1016/j.ajodo.2016.06.041. DOI: 10.1016/j.ajodo.2016.06.041. PMID: 28153154.
4. Galan-Lopez L, Barcia-Gonzalez J, Plasencia E. 2019; A systematic review of the accuracy and efficiency of dental movements with Invisalign®. Korean J Orthod. 49:140–9. https://doi.org/10.4041/kjod.2019.49.3.140. DOI: 10.4041/kjod.2019.49.3.140. PMID: 31149604. PMCID: PMC6533182.
5. Rossini G, Parrini S, Castroflorio T, Deregibus A, Debernardi CL. 2015; Efficacy of clear aligners in controlling orthodontic tooth movement: a systematic review. Angle Orthod. 85:881–9. https://doi.org/10.2319/061614-436.1. DOI: 10.2319/061614-436.1. PMID: 25412265. PMCID: PMC8610387.
6. Robertson L, Kaur H, Fagundes NCF, Romanyk D, Major P, Flores Mir C. 2020; Effectiveness of clear aligner therapy for orthodontic treatment: a systematic review. Orthod Craniofac Res. 23:133–42. https://doi.org/10.1111/ocr.12353. DOI: 10.1111/ocr.12353. PMID: 31651082.
7. Simon M, Keilig L, Schwarze J, Jung BA, Bourauel C. 2014; Treatment outcome and efficacy of an aligner technique--regarding incisor torque, premolar derotation and molar distalization. BMC Oral Health. 14:68. https://doi.org/10.1186/1472-6831-14-68. DOI: 10.1186/1472-6831-14-68. PMID: 24923279. PMCID: PMC4068978.
8. Charalampakis O, Iliadi A, Ueno H, Oliver DR, Kim KB. 2018; Accuracy of clear aligners: a retrospective study of patients who needed refinement. Am J Orthod Dentofacial Orthop. 154:47–54. https://doi.org/10.1016/j.ajodo.2017.11.028. DOI: 10.1016/j.ajodo.2017.11.028. PMID: 29957318.
9. Cervinara F, Cianci C, De Cillis F, Pappalettera G, Pappalettere C, Siciliani G, et al. 2019; Experimental study of the pressures and points of application of the forces exerted between aligner and tooth. Nanomaterials (Basel). 9:1010. https://doi.org/10.3390/nano9071010. DOI: 10.3390/nano9071010. PMID: 31336979. PMCID: PMC6669747. PMID: 24315cd63aa54dbeaf43e58f85f769e3.
10. Jiang T, Wu RY, Wang JK, Wang HH, Tang GH. 2020; Clear aligners for maxillary anterior en masse retraction: a 3D finite element study. Sci Rep. 10:10156. https://doi.org/10.1038/s41598-020-67273-2. DOI: 10.1038/s41598-020-67273-2. PMID: 32576935. PMCID: PMC7311544.
11. Gomez JP, Peña FM, Martínez V, Giraldo DC, Cardona CI. 2015; Initial force systems during bodily tooth movement with plastic aligners and composite attachments: a three-dimensional finite element analysis. Angle Orthod. 85:454–60. https://doi.org/10.2319/050714-330.1. DOI: 10.2319/050714-330.1. PMID: 25181252. PMCID: PMC8612436.
12. Cortona A, Rossini G, Parrini S, Deregibus A, Castroflorio T. 2020; Clear aligner orthodontic therapy of rotated mandibular round-shaped teeth: a finite element study. Angle Orthod. 90:247–54. https://doi.org/10.2319/020719-86.1. DOI: 10.2319/020719-86.1. PMID: 31469592. PMCID: PMC8051248.
13. Hong K, Kim WH, Eghan-Acquah E, Lee JH, Lee BK, Kim B. 2021; Efficient design of a clear aligner attachment to induce bodily tooth movement in orthodontic treatment using finite element analysis. Materials (Basel). 14:4926. https://doi.org/10.3390/ma14174926. DOI: 10.3390/ma14174926. PMID: 34501017. PMCID: PMC8433704.
14. Seo JH, Eghan-Acquah E, Kim MS, Lee JH, Jeong YH, Jung TG, et al. 2021; Comparative analysis of stress in the periodontal ligament and center of rotation in the tooth after orthodontic treatment depending on clear aligner thickness-finite element analysis study. Materials (Basel). 14:324. https://doi.org/10.3390/ma14020324. DOI: 10.3390/ma14020324. PMID: 33435457. PMCID: PMC7826543.
15. Yokoi Y, Arai A, Kawamura J, Uozumi T, Usui Y, Okafuji N. 2019; Effects of attachment of plastic aligner in closing of diastema of maxillary dentition by finite element method. J Healthc Eng. 2019:1075097. https://doi.org/10.1155/2019/1075097. DOI: 10.1155/2019/1075097. PMID: 30944717. PMCID: PMC6421825.
16. Grant J, Foley P, Bankhead B, Miranda G, Adel SM, Kim KB. 2023; Forces and moments generated by 3D direct printed clear aligners of varying labial and lingual thicknesses during lingual movement of maxillary central incisor: an in vitro study. Prog Orthod. 24:23. https://doi.org/10.1186/s40510-023-00475-2. DOI: 10.1186/s40510-023-00475-2. PMID: 37423974. PMCID: PMC10329968. PMID: dde3a9dad6254735b63e88aa717b05b0.
17. Grünheid T, Loh C, Larson BE. 2017; How accurate is Invisalign in nonextraction cases? Are predicted tooth positions achieved? Angle Orthod. 87:809–15. https://doi.org/10.2319/022717-147.1. DOI: 10.2319/022717-147.1. PMID: 28686090. PMCID: PMC8317555.
18. Lombardo L, Arreghini A, Ramina F, Huanca Ghislanzoni LT, Siciliani G. 2017; Predictability of orthodontic movement with orthodontic aligners: a retrospective study. Prog Orthod. 18:35. https://doi.org/10.1186/s40510-017-0190-0. DOI: 10.1186/s40510-017-0190-0. PMID: 29130127. PMCID: PMC5682257. PMID: 6a742898868040d58c7b55aee2d8b42c.
19. Haouili N, Kravitz ND, Vaid NR, Ferguson DJ, Makki L. 2020; Has Invisalign improved? A prospective follow-up study on the efficacy of tooth movement with Invisalign. Am J Orthod Dentofacial Orthop. 158:420–5. https://doi.org/10.1016/j.ajodo.2019.12.015. DOI: 10.1016/j.ajodo.2019.12.015. PMID: 32620479.
20. Hahn W, Engelke B, Jung K, Dathe H, Fialka-Fricke J, Kubein-Meesenburg D, et al. 2010; Initial forces and moments delivered by removable thermoplastic appliances during rotation of an upper central incisor. Angle Orthod. 80:239–46. https://doi.org/10.2319/033009-181.1. DOI: 10.2319/033009-181.1. PMID: 19905847. PMCID: PMC8973237.
21. Kravitz ND, Kusnoto B, Agran B, Viana G. 2008; Influence of attachments and interproximal reduction on the accuracy of canine rotation with Invisalign. A prospective clinical study. Angle Orthod. 78:682–7. https://doi.org/10.2319/0003-3219(2008)078[0682:Ioaair]2.0.Co;2. DOI: 10.2319/0003-3219(2008)078[0682:IOAAIR]2.0.CO;2. PMID: 18302468.
22. Liu CL, Sun WT, Liao W, Lu WX, Li QW, Jeong Y, et al. 2016; Colour stabilities of three types of orthodontic clear aligners exposed to staining agents. Int J Oral Sci. 8:246–53. https://doi.org/10.1038/ijos.2016.25. DOI: 10.1038/ijos.2016.25. PMID: 27660048. PMCID: PMC5168413.
23. Condo R, Pazzini L, Cerroni L, Pasquantonio G, Lagana G, Pecora A, et al. 2018; Mechanical properties of "two generations" of teeth aligners: change analysis during oral permanence. Dent Mater J. 37:835–42. https://doi.org/10.4012/dmj.2017-323. DOI: 10.4012/dmj.2017-323. PMID: 29998941.
24. Bendler JT. 1999. Handbook of polycarbonate science and technology. CRC Press;Boca Raton: https://search.worldcat.org/ko/title/1027759168. DOI: 10.1201/9781482273694.
25. Lu QW, Macosko CW. 2004; Comparing the compatibility of various functionalized polypropylenes with thermoplastic polyurethane (TPU). Polymer (Guildf). 45:1981–91. https://doi.org/10.1016/j.polymer.2003.12.077. DOI: 10.1016/j.polymer.2003.12.077.
26. Johal A, Sharma NR, McLaughlin K, Zou LF. 2015; The reliability of thermoform retainers: a laboratory-based comparative study. Eur J Orthod. 37:503–7. https://doi.org/10.1093/ejo/cju075. DOI: 10.1093/ejo/cju075. PMID: 25431104.
27. Min S, Hwang CJ, Yu HS, Lee SB, Cha JY. 2010; The effect of thickness and deflection of orthodontic thermoplastic materials on its mechanical properties. Korean J Orthod. 40:16–26. https://doi.org/10.4041/kjod.2010.40.1.16. DOI: 10.4041/kjod.2010.40.1.16.
28. Ryokawa H, Miyazaki Y, Fujishima A, Miyazaki T, Maki K. 2006; The mechanical properties of dental thermoplastic materials in a simulated intraoral environment. Orthod Waves. 65:64–72. https://doi.org/https://doi.org/10.1016/j.odw.2006.03.003. DOI: 10.1016/j.odw.2006.03.003.
29. Ryu JH, Kwon JS, Jiang HB, Cha JY, Kim KM. 2018; Effects of thermoforming on the physical and mechanical properties of thermoplastic materials for transparent orthodontic aligners. Korean J Orthod. 48:316–25. https://doi.org/10.4041/kjod.2018.48.5.316. DOI: 10.4041/kjod.2018.48.5.316. PMID: 30206530. PMCID: PMC6123073.
30. Lee SY, Kim H, Kim HJ, Chung CJ, Choi YJ, Kim SJ, et al. 2022; Thermo-mechanical properties of 3D printed photocurable shape memory resin for clear aligners. Sci Rep. 12:6246. https://doi.org/10.1038/s41598-022-09831-4. DOI: 10.1038/s41598-022-09831-4. PMID: 35428796. PMCID: PMC9012852. PMID: 916cae2b1906469492ffad0957859600.
31. Masella RS, Meister M. 2006; Current concepts in the biology of orthodontic tooth movement. Am J Orthod Dentofacial Orthop. 129:458–68. https://doi.org/10.1016/j.ajodo.2005.12.013. DOI: 10.1016/j.ajodo.2005.12.013. PMID: 16627170.
32. Proffit WR, Fields HW, Larson B, Sarver DM. 2018. Contemporary orthodontics. 6th ed. Mosby;Philadelphia: https://search.worldcat.org/ko/title/1053796533. DOI: 10.1053/j.sodo.2018.10.005.
33. Elkholy F, Mikhaiel B, Repky S, Schmidt F, Lapatki BG. 2019; Effect of different attachment geometries on the mechanical load exerted by PET-G aligners during derotation of mandibular canines: an in vitro study. J Orofac Orthop. 80:315–26. https://doi.org/10.1007/s00056-019-00193-7. DOI: 10.1007/s00056-019-00193-7. PMID: 31595320.
34. Ferlias N, Dalstra M, Cornelis MA, Cattaneo PM. 2022; In vitro comparison of different Invisalign® and 3Shape® attachment shapes to control premolar rotation. Front Bioeng Biotechnol. 10:840622. https://doi.org/10.3389/fbioe.2022.840622. DOI: 10.3389/fbioe.2022.840622. PMID: 35372304. PMCID: PMC8966893. PMID: f5ac4683d4e649fab5a415605e6e3fc3.
35. Brezniak N. 2008; The clear plastic appliance: a biomechanical point of view. Angle Orthod. 78:381–2. https://doi.org/10.2319/0003-3219(2008)078[0381:Tcpa]2.0.Co;2. DOI: 10.2319/0003-3219(2008)078[0381:TCPA]2.0.CO;2. PMID: 18251593.
36. Hahn W, Zapf A, Dathe H, Fialka-Fricke J, Fricke-Zech S, Gruber R, et al. 2010; Torquing an upper central incisor with aligners--acting forces and biomechanical principles. Eur J Orthod. 32:607–13. https://doi.org/10.1093/ejo/cjq007. DOI: 10.1093/ejo/cjq007. PMID: 20462912.
37. Bowman SJ. 2017; Improving the predictability of clear aligners. Semin Orthod. 23:65–75. https://doi.org/10.1053/j.sodo.2016.10.005. DOI: 10.1053/j.sodo.2016.10.005.
38. Savignano R, Valentino R, Razionale AV, Michelotti A, Barone S, D'Antò V. 2019; Biomechanical effects of different auxiliary-aligner designs for the extrusion of an upper central incisor: a finite element analysis. J Healthc Eng. 2019:9687127. https://doi.org/10.1155/2019/9687127. DOI: 10.1155/2019/9687127. PMID: 31485303. PMCID: PMC6702849.
39. Meier B, Wiemer KB, Miethke RR. 2003; Invisalign--patient profiling. Analysis of a prospective survey. J Orofac Orthop. 64:352–8. https://doi.org/10.1007/s00056-003-0301-z. DOI: 10.1007/s00056-003-0301-z. PMID: 14692049.
40. Simon M, Keilig L, Schwarze J, Jung BA, Bourauel C. 2014; Forces and moments generated by removable thermoplastic aligners: incisor torque, premolar derotation, and molar distalization. Am J Orthod Dentofacial Orthop. 145:728–36. https://doi.org/10.1016/j.ajodo.2014.03.015. DOI: 10.1016/j.ajodo.2014.03.015. PMID: 24880843.

Figure 1
Experimental apparatus design. The second premolar was separated and connected to a 6-axis miniature force/torque sensor. A rotation zig was installed on the lower side of the second premolar.
kjod-55-3-212-f1.tif
Figure 2
Designs of clear aligners. A, D, Group E; B, E, Group T; C, F, Groups C and G.
Group E, equi-gingival margin; Group T, mesial thickness; Group C, control-polyethylene terephthalate glycol; Group G, 2 mm gingival margin.
kjod-55-3-212-f2.tif
Figure 3
Forces generated by four groups at each of the rotation degrees. A, Rotation degree of 2°; B, Rotation degree of 3°; C, Rotation degree of 4°. Red dot indicates the mean value, and diamond-shaped symbols (◇) represent outliers beyond 1.5 times the interquartile range.
Group C, control-polyethylene terephthalate glycol; Group E, equi-gingival margin; Group T, mesial thickness; Group G, 2 mm gingival margin.
kjod-55-3-212-f3.tif
Figure 4
Moments generated by four groups at each of the rotation degrees. A, Rotation degree of 2°; B, Rotation degree of 3°; C, Rotation degree of 4°. Red dot indicates the mean value, and diamond-shaped symbols (◇) represent outliers beyond 1.5 times the interquartile range.
Group C, control-polyethylene terephthalate glycol; Group E, equi-gingival margin; Group T, mesial thickness; Group G, 2 mm gingival margin.
kjod-55-3-212-f4.tif
Figure 5
Conventional type (PETG material) and direct-printing type (TC-85 material) clear aligners fitting in the embrasure area.
PETG, polyethylene terephthalate glycol.
kjod-55-3-212-f5.tif
Table 1
The sign convention of the force/moment measurement system
Component Definition Sign convention
Force (x) Buccolingual (+) Buccal, (–) lingual
Force (y) Mesiodistal (+) Distal, (–) mesial
Force (z) Occlusogingival (+) Occlusal, (–) gingival
Moment (x) Angulation (+) Mesial, (–) distal
Moment (y) Inclination (+) Buccal, (–) lingual
Moment (z) Rotation (+) Distal, (–) mesial
Table 2
Forces and moments generated by Group C (PETG) according to rotation degrees
Group C Set-up degree (mean ± standard deviation) P value (ANOVA)
Fx (cN) 18.68 ± 9.06a 24.20 ± 6.77ab 27.08 ± 16.95b 0.02*
Fy (cN) 14.55 ± 16.45a 44.03 ± 10.04b 76.99 ± 25.03c < 0.001***
Fz (cN) –64.70 ± 80.27 –62.86 ± 40.89 –90.62 ± 126.54 0.41
Mx (N mm) 1.39 ± 1.59a 1.42 ± 0.88a –2.48 ± 1.87b < 0.001***
My (N mm) 0.93 ± 1.09a –0.54 ± 1.80b –5.73 ± 3.16c < 0.001***
Mz (N mm) 11.05 ± 0.90a 20.99 ± 1.03b 26.43 ± 1.64c < 0.001***

One-way ANOVA with Tukey LSD post-hoc.

The different superscript letters mean a significant difference (P < 0.05).

PETG, polyethylene terephthalate glycol; ANOVA, analysis of variance; LSD, least significant difference; Fx, buccal force; Fy, posterior forces; Fz, intrusive force; Mx, mesiodistal moment; My, buccolingual moment; Mz, rotational moment.

*P < 0.05, ***P < 0.001.

Table 3
Forces and moments generated by Group E (equi-gingival margin) according to rotation degrees
Group E Set-up degree (mean ± standard deviation) P value (ANOVA)
Fx (cN) 20.48 ± 13.52a 25.56 ± 16.12a 47.34 ± 18.22b < 0.001***
Fy (cN) 15.54 ± 7.06 13.90 ± 13.52 15.67 ± 8.38 0.75
Fz (cN) –23.51 ± 18.07 –15.91 ± 8.09 –16.75 ± 9.42 0.07
Mx (N mm) –0.08 ± 1.56a 3.63 ± 2.80b 5.14 ± 2.12c < 0.001***
My (N mm) –2.25 ± 3.23a –5.94 ± 2.30b –4.68 ± 1.98b < 0.001***
Mz (N mm) 3.24 ± 1.01a 6.54 ± 1.40b 7.15 ± 1.45b < 0.001***

One-way ANOVA with Tukey LSD post-hoc.

The different superscript letters mean a significant difference (P < 0.05).

ANOVA, analysis of variance; LSD, least significant difference; Fx, buccal force; Fy, posterior forces; Fz, intrusive force; Mx, mesiodistal moment; My, buccolingual moment; Mz, rotational moment.

***P < 0.001.

Table 4
Forces and moments generated by Group T (mesial thickness) according to rotation degrees
Group T Set-up degree (mean ± standard deviation) P value (ANOVA)
Fx (cN) 21.11 ± 11.06a 24.06 ± 13.17a 7.78 ± 14.02b < 0.001***
Fy (cN) 14.75 ± 9.74ab 11.84 ± 8.41a 18.44 ± 9.50b 0.03*
Fz (cN) –5.59 ± 18.87 –3.17 ± 11.48 –13.28 ± 42.75 0.34
Mx (N mm) 3.78 ± 2.23a 5.42 ± 2.50b 4.74 ± 1.37ab 0.01*
My (N mm) –6.21 ± 2.45a –4.75 ± 2.58b –6.51 ± 1.38a 0.01*
Mz (N mm) 3.67 ± 1.17a 4.13 ± 1.14a 5.41 ± 1.31b < 0.001***

One-way ANOVA with Tukey LSD post-hoc.

The different superscript letters mean a significant difference (P < 0.05).

ANOVA, analysis of variance; LSD, least significant difference; Fx, buccal force; Fy, posterior forces; Fz, intrusive force; Mx, mesiodistal moment; My, buccolingual moment; Mz, rotational moment.

*P < 0.05, ***P < 0.001.

Table 5
Forces and moments generated by Group G (2 mm gingival margin) according to rotation degrees
Group G Set-up degree (mean ± standard deviation) P value (ANOVA)
Fx (cN) –3.53 ± 9.64a 13.42 ± 11.84b 21.79 ± 9.14c < 0.001***
Fy (cN) 17.77 ± 16.35 10.76 ± 12.08 14.08 ± 17.74 0.22
Fz (cN) –32.42 ± 54.16 –36.54 ± 38.27 –33.24 ± 49.74 0.94
Mx (N mm) 2.90 ± 1.78a 5.90 ± 1.60b 5.82 ± 2.35b < 0.001***
My (N mm) –5.74 ± 1.25a –3.15 ± 1.60b –4.25 ± 0.80c < 0.001***
Mz (N mm) 3.79 ± 1.34a 5.11 ± 1.32b 6.21 ± 1.67c < 0.001***

One-way ANOVA with Tukey LSD post-hoc.

The different superscript letters mean a significant difference (P < 0.05).

ANOVA, analysis of variance; LSD, least significant difference; Fx, buccal force; Fy, posterior forces; Fz, intrusive force; Mx, mesiodistal moment; My, buccolingual moment; Mz, rotational moment.

***P < 0.001.

Table 6
Comparisons of the forces and moments generated by four groups at each of the rotation degrees
Measurement Groups (mean ± standard deviation) P value
(ANOVA)
Group C Group E Group T Group G
2° set-up degree
Fx (cN) 18.68 ± 9.06a 20.48 ± 13.52a 21.11 ± 11.06a –3.53 ± 9.64b < 0.001***
Fy (cN) 14.55 ± 16.45 15.54 ± 7.06 14.75 ± 9.74 17.77 ± 16.35 0.77
Fz (cN) –64.70 ± 80.27a –23.51 ± 18.07b –5.59 ± 18.87b –32.42 ± 54.16ab < 0.001***
Mx (N mm) 1.39 ± 1.59a –0.08 ± 1.56b 3.78 ± 2.23c 2.90 ± 1.78c < 0.001***
My (N mm) 0.93 ± 1.09a –2.25 ± 3.23b –6.21 ± 2.45c –5.74 ± 1.25c < 0.001***
Mz (N mm) 11.05 ± 0.90a 3.24 ± 1.01b 3.67 ± 1.17b 3.79 ± 1.34b < 0.001***
3° set-up degree
Fx (cN) 24.20 ± 6.77a 25.56 ± 16.12a 24.06 ± 13.17a 13.42 ± 11.84b < 0.001***
Fy (cN) 44.03 ± 10.04a 13.90 ± 13.52b 11.84 ± 8.41b 10.76 ± 12.08b < 0.001***
Fz (cN) –62.86 ± 40.89a –15.91 ± 8.09b –3.17 ± 11.48b –36.54 ± 38.27c < 0.001***
Mx (N mm) 1.42 ± 0.88a 3.63 ± 2.80b 5.42 ± 2.50c 5.90 ± 1.60c 0.001**
My (N mm) –0.54 ± 1.80a –5.94 ± 2.30b –4.75 ± 2.58b –3.15 ± 1.60c < 0.001***
Mz (N mm) 20.99 ± 1.03a 6.54 ± 1.40b 4.13 ± 1.14c 5.11 ± 1.32d < 0.001***
4° set-up degree
Fx (cN) 27.08 ± 16.95a 47.34 ± 18.22b 7.78 ± 14.02c 21.79 ± 9.14a < 0.001***
Fy (cN) 76.99 ± 25.03a 15.67 ± 8.38b 18.44 ± 9.50b 14.08 ± 17.74b < 0.001***
Fz (cN) –90.62 ± 126.54a –16.75 ± 9.42b –13.28 ± 42.75b –33.24 ± 49.74b < 0.001***
Mx (N mm) –2.48 ± 1.87a 5.14 ± 2.12b 4.74 ± 1.37b 5.82 ± 2.35b < 0.001***
My (N mm) –5.73 ± 3.16ab –4.68 ± 1.98ac –6.51 ± 1.38b –4.25 ± 0.80c < 0.001***
Mz (N mm) 26.43 ± 1.64a 7.15 ± 1.45b 5.41 ± 1.31c 6.21 ± 1.67bc < 0.001***

One-way ANOVA with Tukey LSD post-hoc.

The different superscript letters mean a significant difference (P < 0.05).

Group C, control-polyethylene terephthalate glycol; Group E, equi-gingival margin; Group T, mesial thickness; Group G, 2 mm gingival margin; ANOVA, analysis of variance; LSD, least significant difference; Fx, buccal force; Fy, posterior forces; Fz, intrusive force; Mx, mesiodistal moment; My, buccolingual moment; Mz, rotational moment.

**P < 0.01, ***P < 0.001.

TOOLS
DB Error: no database selected