Abstract
Purpose
Methods
Notes
Authors’ contributions
Conceptualization: ESA. Data curation: ESA, SMH, AFAD, OMAA. Methodology/formal analysis/validation: ESA, SMH. Project administration: ESA, SMH, AFAD, OMAA. Funding acquisition: ESA. Writing–original draft: ESA. Writing–review & editing: ESA, SMH, AFAD, OMAA.
Funding
This research was funded by the deanship of research at Jordan University of Science and Technology (grant no., 20190327).
Data availability
Data files are available from Harvard Dataverse: https://doi.org/10.7910/DVN/TY8DQB
Dataset 1. Cleaned quantitative research data which include all anonymized data for the study participants used for creating the study Figs. 2–7.
Supplementary materials
References
Fig. 2.
Fig. 3.
Fig. 4.
Fig. 5.
Fig. 6.
Fig. 7.
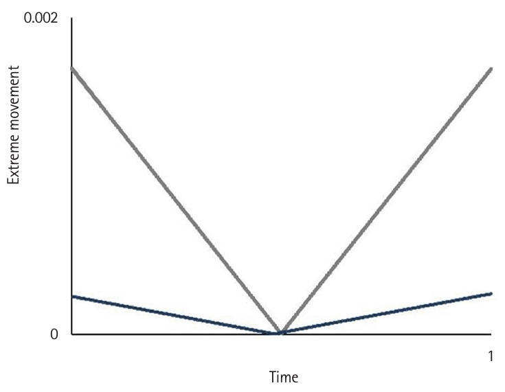
Table 1.
| Definition | |
|---|---|
| Motion analysis metrics | |
| Time | Minutes |
| Error | Number of dropped triangles per trial |
| Tremor | SD of the signal data minus data line of good fit |
| Extreme movement | SD of the data for line of good fit minus best fit |
| Overall pattern of movement | SD of the signal data |
| GOALS metricsa) | |
| Dexterity | Assesses the use of both hands in a complementary and optimal manner |
| Depth perception | Assesses the quality of movement toward the target accurately without missing it, swinging or overshooting |
| Efficiency | Assesses the number of wasted moves, grasps without leaving the scene |
| Autonomy | Assesses the ability to complete task without guidance |
| Operation flow | Assesses the ability to perform procedure with an appropriate pace and with planned course |
Table 2.
| Characteristic | Value |
|---|---|
| Gender | |
| Male | 20 (62.5) |
| Female | 12 (37.5) |
| Hand-dominance | |
| Right-handed | 29 (90.6) |
| Left-handed | 3 (9.4) |
| Vision | |
| 20/20 (with or without corrective lenses) | 32 (100.0) |
| Less than 20/20 | 0 |
| Age (yr) | |
| Novices | 24.5±5.5 |
| Intermediates | 29±3.2 |
| Experience | |
| Novices | |
| No. of operations attended in generala) | 18±20.8 |
| No. of MIS operations attendeda) | 0±0 |
| Intermediates | |
| No. of operations attended in generala) | 48±2.8 |
| No. of the MIS operations attendeda) | 6±7.3 |



PDF
Citation
Print




XML Download