Abstract
This paper aims to review the statistical methods that are widely used in medical and clinical research. Statistical analysis is crucial for ensuring the reliability of research results; therefore, methods should be carefully tailored to research interests and objectives, depending on the type and characteristics of the data. This paper explains various types of data, discusses how to confirm whether the data satisfy these methods’ specific assumptions, and elucidates the meaning and interpretation of univariable and multivariable analysis. Finally, it presents corresponding examples to help other researchers understand how these methods are applied in real-world studies and select appropriate methods that ensure both research quality and reliability.
Medical research is essential to ensure appropriate patient treatment and care, as Im [1] discusses in his paper on preparing fine case reports. Statistical analysis is a key component in achieving this goal, rendering it increasingly important for researchers to apply statistical methods that align with their research hypotheses, study objectives, and data structures to infer the characteristics of populations and draw appropriate conclusions. Without appropriate statistical methods, research findings may be unreliable, inconsistent, and potentially misleading. However, the existing literature has primarily guided researchers to improve their academic writing skills [2] and focus on scientific integrity in clinical studies [3]. Although Kim et al. [4] thoroughly review the creation of well-designed clinical studies, their focus remains on applying a rigorous research design to ensure research value and usefulness—an aspect considered before clinical trials. By contrast, this paper presents a systematic review of the statistical methods commonly used in clinical research, helping readers understand the aspects to consider in conducting the analysis and interpreting the findings.
How researchers select analysis methods generally depends on the type of data, which can be categorized into continuous and categorical data. Continuous data can be further classified into interval data, which have equal intervals but no true zero (e.g., temperature and surveys), and ratio data, which have a true zero (e.g., age, height, and weight). Continuous data are typically summarized using the mean with standard deviation (SD) for symmetric distributions or the median with interquartile range (IQR) for skewed distributions.
Categorical data can be divided into nominal data, which involve simple categorization by name (e.g., gender), and ordinal data, which have an inherent order (e.g., satisfaction levels). Categorical data are typically analyzed and summarized using contingency tables, which organize data based on specific variables. The simplest form is a 2×2 contingency with two rows and two columns, which presents the frequency and percentage of observations across two categories.
For continuous data, researchers employ statistical tests or visual inspection to determine whether the data are normally distributed [5,6]. Typically, the Shapiro-Wilk test or Kolmogorov-Smirnov test is applicable for testing the normality assumption. If the null hypothesis is not rejected (p>0.05), it is assumed that the data follow a normal distribution. Histograms can be utilized to assess whether the data are centered and bell-shaped. Further, Q-Q plots with data points aligned along the diagonal indicate that the data are normally distributed. If the continuous data satisfy the normality assumption, the mean is a representative value; otherwise, the median can be used.
The main difference between parametric and nonparametric methods is whether normality assumptions regarding the data’s probability distribution are required.
Parametric methods necessitate the normality assumption, which can be verified using a normality test. Additionally, while normality tests are usually conducted, in cases where the sample size is much larger than 30, the central limit theorem (which states that the sample mean approximates a normal distribution as the sample size increases) allows for the use of the mean without a normality test [7,8].
Unlike parametric methods, nonparametric tests allow statistical inference without requiring specific assumptions regarding the data’s probability distribution. These tests are useful when the sample size is small, which renders the normality assumption questionable, or when the data are highly skewed.
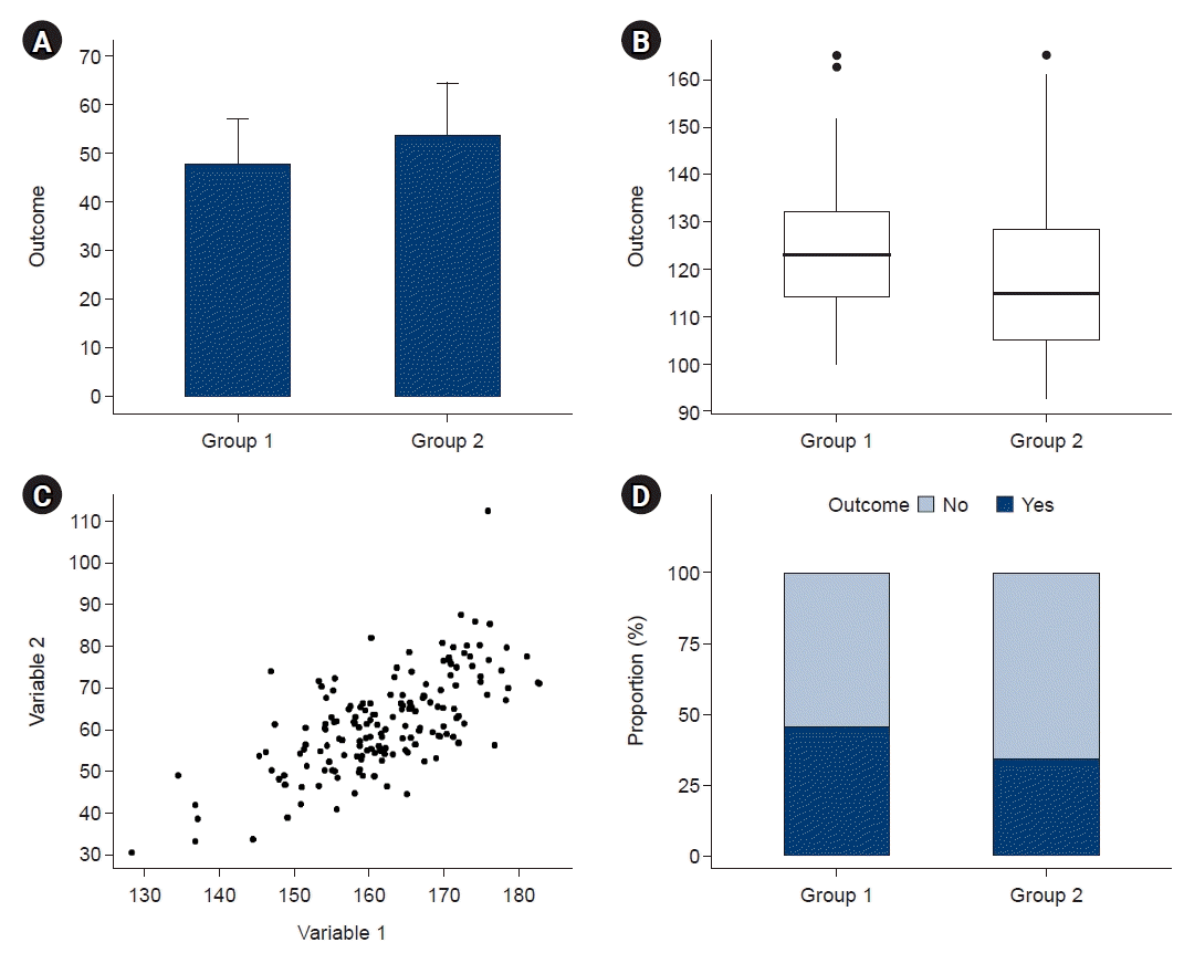
This section introduces the basic statistical methods that are particularly useful at the initial research stage, when researchers aim to identify group differences in specific characteristics or find associations between two continuous variables. These methods are employed to examine the relationship between variables (Table 1), and the results are typically presented using graphs (Fig. 1).
To present the comparison results between groups for a continuous variable, parametric methods report the mean with SD, whereas nonparametric methods describe the median with IQR or range (min–max). Frequencies and proportions represent group differences in categorical variables. Correlation coefficients indicate the associations between two continuous variables.
When researchers assess whether the comparison is significantly different, they formulate a null hypothesis, such as “No difference exists in the variables between groups” or “No correlation exists between the two continuous variables.” Subsequently, statistical analysis assesses whether this null hypothesis can be rejected based on the p-value. Generally, if the p-value <0.05 (with a significance level of 0.05), the null hypothesis can be rejected. This rejection means that considering the null hypothesis true is difficult, and the result is statistically significant. If the p-value falls between 0.05 and 0.1, it indicates a marginally significant result—despite the failure to reject the null hypothesis.
A common approach involves determining whether a difference exists in the means between groups to gain insight into their differences. If the data are normally distributed, the independent two-sample t-test is used to compare the means of two independent groups. The dependent variable must be continuous and normally distributed, and the observations must be independent of each other. When no directional hypothesis exists regarding which group’s mean is larger (two-tailed), the null hypothesis is as follows: “The means of the two groups are equal.” The assumptions and variance used to calculate the test statistic for the t-test vary based on the equal variance test results. For example, if the equal variance test’s p-value is greater than 0.05, the variances of the two groups are considered not different. In this case, if the p-value corresponding to the test statistic of the mean (t*) is less than 0.05, the null hypothesis can be rejected under the equal variance assumption, indicating that the means of the two groups are unlikely to be the same.
The representative non-parametric method for comparing two groups is the Wilcoxon rank sum test (or Mann-Whitney test). It assesses whether the medians of the two groups are equal and serves as a counterpart to the independent two-sample t-test in parametric testing [7]. The Mann-Whitney U and Wilcoxon rank-sum tests yield the same results. The null hypothesis assumes the following: “The two groups’ medians are equal (H0:mediancontrol=mediantreatment).” The results are typically summarized using the median with IQR or range (min–max).
The paired t-test is used to examine whether a significant difference exists in the paired data. Like the independent t-test, the differences between pairs should follow a normal distribution, and the observations must be independent. In this test, the null hypothesis is as follows: “The mean of the difference between before and after (pre and post) is zero.”
The Wilcoxon signed-rank test is used for paired samples—corresponding to the paired t-test. The paired t-test evaluates the mean difference between observations, while the Wilcoxon signed-rank test examines whether the median difference is 0 (H0:mediandifference=0) [7].
Analysis of variance (ANOVA) is the preferred method when comparing the means of three or more groups. If a researcher repeatedly compares the means of each pair of groups, the likelihood of incorrectly rejecting a true null hypothesis (i.e., a type I error rate) increases. The solution to this concern is to reduce the number of comparisons and compare all groups at once. The ANOVA model is advantageous in this context because it consists of factors that influence observations and the level of these factors. It performs testing for all groups at once by comparing variances “between factors” with “those within factors” when comparing the means. The dependent variable is continuous and the independent variable (factor) is categorical. Like the two-group comparison, the dependent variable must follow a normal distribution, and each group’s variance is assumed to be equal, with no association between observations.
The null hypothesis is as follows: “The means of three or more groups are equal (H0:μ1=μ2⋯=μa).” The alternative hypothesis is that at least one group’s mean differs from the others. The ANOVA test statistic is generated based on the variation between and within factors, with the null hypothesis tested based on the extent to which the between-factor variation exceeds the within-factor variation. If the overall p-value for the ANOVA is less than 0.05, indicating a rejection of the null hypothesis that the means of three or more groups are equal, a post-hoc analysis is conducted to identify specific group differences. As post-hoc analysis involves testing all pairs of groups, p-values must be corrected for multiple comparisons [9]. Correction methods include the Bonferroni, Tukey, Scheffé, and Dunnett procedures. The Bonferroni procedure, which is the most conservative approach, is frequently applied in clinical research; it adjusts raw p-values by multiplying them by the number of analyses or sets the criterion for rejecting the null hypothesis at 0.05, divided by the number of analyses.
The Kruskal-Wallis test is applied when comparing three or more groups to assess whether the medians of each group are equal, serving as the one-way ANOVA’s nonparametric equivalent. It combines the Wilcoxon rank-sum test’s principles with the concept of one-way ANOVA. The null hypothesis is as follows: “The medians of the groups are equal (H0:median1=median2⋯=mediank).” If the null hypothesis is rejected (overall p<0.05), post-hoc analysis is typically conducted using the Dunn procedure, applying a correction for multiple comparisons, frequently using the Bonferroni correction, like ANOVA.
We present an actual example of univariable analysis (discussed theoretically in the previous explanation). Yang et al. [10] investigate whether organized clinical pathways for ischemic stroke significantly reduce the time from arrival to treatment in emergencies and improve clinical outcomes. They apply the Kruskal-Wallis test (post-hoc: Dunn procedure) to analyze whether time outcomes, a continuous variable, differ among the four groups and provide the median with range (min–max) for each group. Table 2 in their paper presents statistically significant differences between the four groups across several time outcomes. As an example, In “Door-to-CBC,” the overall p-value of “<0.0001” indicates that there was a statistically significant difference among four groups. The result of the post-hoc analysis revealed significant differences between the following group pairs: (1) vs. (2), (1) vs. (4), (2) vs. (3), and (3) vs. (4). The median Door-to-CBC times with their ranges (min-max) for each group were as follows: group (1), 25 (11–70); group (2), 33 (10–747); group (3), 29 (13–59); and group (4), 34 (14–135). Based on these values, Door-to-CBC time for group (1) was significantly shorter compared to group (2) and (4), while no significant difference was found between group (1) and group (3).
Pearson correlation identifies associations between two continuous variables, focusing on correlation rather than causation. Several considerations exist when applying this analysis. First, the correlation coefficients derived from the data are purely mathematical relationships and should not be extended to interpret the variables’ qualitative properties. Second, as the correlation coefficients indicate the degree of linear association, a small correlation coefficient does not rule out nonlinear relationships. Finally, correlation analysis is typically applied in the early stages of data analysis rather than in the conclusion stage.
When conducting Pearson correlation, the result is typically presented as the Pearson sample correlation coefficient (r)—a measure indicating the degree of linear association between two continuous variables. The correlation coefficient ranges from –1 to 1, with values closer to 1 and –1 indicating a strong positive and strong negative correlation, respectively [11]. A near-0 correlation coefficient suggests a weak or non-existent correlation between the two variables. However, a near-0 correlation may also occur if a quadratic or other nonlinear relationship exists instead of a linear one. Thus, creating a scatter plot of the data along with the correlation analysis is recommended. The null hypothesis in this analysis is as follows: “The correlation coefficient is 0.”
Spearman correlation, like Pearson correlation, is employed to examine associations between continuous variables. However, it is a nonparametric method suitable when one or more variables deviate from a normal distribution. Furthermore, Spearman correlation presents results as the Spearman correlation coefficient and can be interpreted using the same rule of thumb as Pearson correlation [11].
Ridker et al. [12] examine baseline levels of lipid biomarkers to predict cardiovascular events among women. To explore the relationships between lipid variables such as low-density lipoprotein cholesterol (LDL-C), non-high-density lipoprotein cholesterol (non-HDL-C), and total cholesterol, Spearman correlation coefficients were calculated at the initial stage and presented in their Table 2. They observed strong correlations between several variables including LDL-C and apolipoprotein B100 (r=0.81), LDL-C and non-HDL-C (r=0.92), LDL-C and total cholesterol (r=0.91), among others.
The chi-square test is a method for assessing the association or independence between two categorical variables, with the null hypothesis being “Variables A and B are independent.” However, when the frequencies in each cell of a contingency table are low, the chi-square test may be inappropriate. In such cases, Fisher exact test—proposed by Fisher [13]—is used to assess the two nominal variables’ independence. It is typically applied when more than 20% of the contingency cells have expected frequencies of 5 or less [7].
McNemar test is used for paired samples (n) observed before and after an intervention—for example, to examine whether a change in conditions affects the variable. The null hypothesis states the following: “The change in condition does not impact the attribute.” That is, it assesses whether the proportion of a characteristic of interest under one condition (e.g., before the treatment) (p1) is equal to that under the other (e.g., after the treatment) (p2), as represented by H0: p1=p2. Results of the chi-square, Fisher exact, and McNemar tests are typically presented as frequencies and percentages (%).
For clinical outcomes, Yang et al. [10] summarize the frequency and ratio using the chi-square or Fisher exact test. In their Table 2, "Death within 30 days" presents differences between (1) and (4) and between (2) and (4), suggesting that the death incidence rate in group (4) was statistically significantly higher than that in groups (1) and (2).
The regression methods introduced in this section are primarily employed to identify causal relationships in the data [14,15]. The type of regression applied depends on the dependent variable’s nature (continuous or binary) and whether the duration until the dependent event occurs is considered (Table 2). For instance, if the dependent variable is continuous, linear regression is utilized [16]. However, if the dependent variable is binary, Cox regression is applied when considering the time until the event occurs, whereas logistic regression is used when only the event’s occurrence is considered. Regression can discern both one-to-one and one-to-many relationships between variables.
In all three types of regression, the relationship between the independent and dependent variables is examined by assessing whether the regression coefficient (β) differs from zero. When multiple independent variables exist (multivariable regression analysis), an additional model test is performed, with the null hypothesis being “The regression coefficients for all independent variables are zero” (H0:β1=β2=⋯=βk=0).
In multivariable regression analysis, multicollinearity should not exist among the independent variables. Multicollinearity refers to a strong correlation between the independent variables included in the model, which can be assessed by calculating the variance inflation factor (VIF) [17,18]. Multicollinearity is typically considered present if the VIF exceeds 10 [18]. If multicollinearity is detected, variables with high collinearity can be removed from the model, or methods such as principal component regression can be applied to reduce correlations among the independent variables [17].
When building a multivariable regression model, using as few independent variables as possible—following the principle of parsimony—is generally recommended. To this end, statistical variable selection methods can be employed, including forward, backward, and stepwise selection [19]. The forward selection method sequentially adds variables to the minimum model to identify significant predictors. The backward selection method sequentially removes variables from the maximum model, whereas the stepwise selection method combines both approaches, adding and removing factors simultaneously from the minimum model. Additionally, when the dependent variable is binary, the “rule of 10 events per parameter” (number of independent variables ≤ [min (No. of events, No. of non-events)/10]–1) can be considered. Notably, however, building an empirical model that relies solely on the variable selection method is risky. Both clinical and statistical meanings must be considered when constructing an optimal model [20].
Linear regression is a statistical analysis method used to determine independent variables that affect continuous outcomes [16]. The dependent variable (yi) is assumed to satisfy normality, independence, and homoscedasticity. These assumptions can be assessed using the residuals, which are the differences between the observed and estimated values [21].
Multivariable linear regression is used to determine whether two or more independent variables affect a continuous dependent variable using a linear regression model. If the dependent variable is represented as y and the k independent variables as (x1,x2,⋯,xk), the multiple regression model can be written as follows:
When assessing a regression model, the null hypothesis is (H0:β1=β2=⋯=βk=0). Like ANOVA, this null hypothesis is tested by calculating the extent to which the variation explained by the regression model compares to the unexplained variation. When assessing each regression coefficient’s significance, it is assessed individually to determine whether each coefficient is equal to zero (H0:βk=0). Beta (β) is estimated as the value that minimizes the difference between predicted and actual values [7].
If nominal variables exist among the independent variables, n–1 dummy variables should be created for that variable, excluding the reference category. The regression coefficients for each dummy variable do not represent slopes; instead, they indicate the extent to which each category differs from the reference category. That is, they demonstrate each dummy variable’s relative impact on the dependent variable compared with the reference category.
The constructed model is evaluated using various metrics. Of these, the coefficient of determination, R-squared, is widely used to evaluate how effectively the independent variables included in the model explain the dependent variable [22].
Nam et al. [23] perform linear regression analyses to explore factors affecting thrombus resolution after intravenous treatment. Table 2 in their paper summarizes the univariable and multivariable linear regression results, with thrombus volume resolution (%) as the dependent variable. Univariable linear regression is conducted using each independent variable individually, followed by multivariable linear regression, which includes all the variables as explanatory variables. Consequently, in the multivariable linear regression, the “occlusion site” is identified as a variable that significantly affects the dependent variable, thrombus volume resolution (%), indicating that when all other variables’ effects are controlled for, the occlusion site at M2 exhibits a 37% reduction in volume compared to the internal carotid artery.
Logistic regression analysis is utilized to identify factors that influence dichotomous dependent variables, such as a disease’s presence or absence [24]. Linear regression cannot be applied to dichotomous variables because expressing the relationship between the dependent and independent variables linearly is challenging. Instead, logistic regression analysis replaces the dependent variable with a function called g(E(Y)), representing the relationship between the explanatory variables and dependent variable as a linear relationship [25]. That is, logistic regression is a type of generalized linear model that extends existing linear regression models, with g(E(Y)) representing a linear combination of explanatory variables [26]. The expected value of logistic regression (E(Y)) is called the “odds,” which is the ratio of the probability of an event occurring (p) to the probability of the event not occurring (1–p). For example, if the dependent variable is a disease’s presence, the odds indicate the probability of contracting the disease divided by the probability of not contracting it.
That is, logistic regression analysis predicts the likelihood of an event by modeling the effect of a change in an explanatory variable on that event’s odds. Here, β0 denotes ln (odds), representing the odds of an event occurring when X is 0, and β1 denotes the change in ln (odds) for a one-unit increase in X.
The key concept when interpreting logistic regression results is the odds ratio, which is defined as follows:
However, the odds ratio may be estimated as 0 or infinity if even one cell contains a 0 in a 2×2 contingency table of the dichotomous independent variable and the dependent variable.
The univariable logistic regression model extends to a multivariable logistic regression model, which can be expressed as follows:
In the multiple regression model, each independent variable’s odds ratio represents that variable’s influence on the dependent variable’s expected value while the other independent variables are held constant.
The multiple logistic regression model can be evaluated using goodness of fit. First, Pearson χ2 and Deviance χ2, which are χ2statistics based on residuals, can be used. Alternatively, the Hosmer-Lemeshow goodness of fit test indicates model suitability when the p-value is greater than 0.05 [27]. Additionally, the model can be assessed by calculating its predictive power using a classification table or by obtaining the sensitivity, specificity, and area under the receiver operating characteristic curve [28].
Additionally, Nam et al. [23] employ logistic regression. Tables 3 and 4 in their paper present the results of their logistic regression analysis using complete recanalization and desirable outcomes at 3 months as dependent variables. Like the linear regression analysis presented in their Table 2, univariable and multivariable regression analyses are conducted. Both analyses’ results identify several statistically significant factors. For example, in the multivariable logistic regression analysis with complete recanalization as the dependent variable, the p-value for recombinant tissue plasminogen activator (rt-PA) dose (per 10 mg) was below the significance level of 0.05. Since the OR for rt-PA dose (per 10 mg) is 4.52, it can be interpreted that a 10 mg increase in rt-PA dose results in a 4.52-fold increase in the odds of achieving complete recanalization.
Cox regression is a type of survival analysis that examines the time until an event occurs, such as death or recurrence. It is a statistical method that identifies factors influencing the time (duration or survival time) until a specific event occurs from a defined starting point [15].
Here, survival time refers to the duration from a defined starting point until a particular event’s occurrence. When defining survival time, considering whether a clear definition of the starting point exists, whether survival time can be measured accurately, and whether the occurrence of the event is certain is essential.
The Cox regression model is based on the hazard function h(t), which represents the probability of an event (such as death) occurring immediately after time (t), assuming survival up to (t). When all the independent variables are zero, the hazard function is denoted as h0(t). For a Cox regression model with a single independent variable, it is defined as follows [29]:
Therefore, the hazard ratio (HR) of x is calculated as follows:
A HR greater than 1 indicates a higher risk when x=1, whereas an HR less than 1 indicates a lower risk when x=1 than when x=0. A HR of 1 suggests that the hazard function is the same for x=0 and x=1.
Expanding this to multivariable Cox regression, it can be expressed as follows:
That is, like the previous two regression methods, Cox regression identifies risk factors by assessing whether the regression coefficients are equal to zero.
For example, if a binary variable coded 1 for male and 0 for female is employed as an independent variable, the HR is as follows:
In this case, it can be interpreted that the hazard for males is exp (β) times that of females. If a continuous variable, such as age, is employed as an independent variable, the HR is as follows:
That is, for each one-unit increase in age, the hazard increases by exp (β) times.
To perform Cox regression, assuming that the HR between the i-th and j-th patients remains constant over time—irrespective of the specific time point—is necessary. If log hj (t) and log hi (t) exhibit parallel patterns, the proportional hazards assumption is considered appropriate.
Kim et al. [30]—aiming to investigate the relationship between inter-arm blood pressure difference (IAD) and systemic atherosclerosis among patients with acute ischemic stroke—perform Cox regression using two types of mortality as dependent variables. Table 3 in their paper presents the results of the univariable and multivariable analyses (unadjusted) for both outcomes, including HRs and 95% confidence intervals (CIs). The results of the multivariable Cox regression analysis indicate that most variables statistically significantly affect mortality. For instance, the HR for all-cause mortality increases by 2.59 when the systolic IAD exceeds 10 mg compared to when it does not.
To enhance research results’ reliability, deriving them using accurate research design and statistical methods is essential. This paper reviewed the statistical analysis methods commonly employed in medical and clinical research. Additionally, we present basic plots to illustrate the association between the variables along with actual examples. However, this paper focuses on the basic methods and does not cover all possible approaches. It is important to note that there are a variety of other statistical methods beyond those discussed.
Since the main purpose of this article is to introduce several statistical methods, we focused on hypothesis testing based on the p-value as the central aspect of result interpretation. Noteworthily, The p-value merely provides dichotomous conclusion on whether the null hypothesis can be rejected but does not provide clinical relevance [31]. While a p-value indicates statistical significance, it may not be meaningful in terms of clinical criteria. Therefore, researchers should consider both statistical and clinical aspects in their interpretation [20].
Furthermore, the large sample size may lead to rejection of the null hypothesis regardless of the true effect. To complement the p-value, effect size and CI can be presented. They enable researchers to make more clinically relevant interpretations and reduce improper use of the p-value [31]. This review can help researchers in the medical field to initiate their research and interpret their statistical results.
References
1. Im SI. How to write case reports in medicine. Kosin Med J. 2022; 37:102–6. DOI: 10.7180/kmj.22.109.
2. Kang G, Kim SE. How to write an original article in medicine and medical science. Kosin Med J. 2022; 37:96–101. DOI: 10.7180/kmj.22.105.
3. Lee HS. Ethical issues in clinical research and publication. Kosin Med J. 2022; 37:278–82. DOI: 10.7180/kmj.22.132.
4. Kim DJ, Kil SY, Son J, Lee HS. How to conduct well-designed clinical research. Kosin Med J. 2022; 37:187–91. DOI: 10.7180/kmj.22.122.
5. Das KR, Imon AH. A brief review of tests for normality. Am J Theor Appl Stat. 2016; 5:5–12. DOI: 10.11648/j.ajtas.20160501.12.
6. Kwak SG, Park SH. Normality test in clinical research. J Rheum Dis. 2019; 26:5–11. DOI: 10.4078/jrd.2019.26.1.5.
7. Rosner B. Fundamentals of biostatistics. 8th ed. Cengage Learning;2015.
8. Krithikadatta J. Normal distribution. J Conserv Dent. 2014; 17:96–7. DOI: 10.4103/0972-0707.124171. PMID: 24554873.
9. Shaffer JP. Multiple hypothesis testing. Annu Rev Psychol. 1995; 46:561–84. DOI: 10.1146/annurev.ps.46.020195.003021.
10. Yang JM, Park YS, Chung SP, Chung HS, Lee HS, You JS, et al. Implementation of a clinical pathway based on a computerized physician order entry system for ischemic stroke attenuates off-hour and weekend effects in the ED. Am J Emerg Med. 2014; 32:884–9. DOI: 10.1016/j.ajem.2014.04.049. PMID: 24928408.
11. Hinkle DE, Wiersma W, Jurs SG. Applied statistics for the behavioral sciences. 5th ed. Houghton Mifflin;2002.
12. Ridker PM, Rifai N, Cook NR, Bradwin G, Buring JE. Non-HDL cholesterol, apolipoproteins A-I and B100, standard lipid measures, lipid ratios, and CRP as risk factors for cardiovascular disease in women. JAMA. 2005; 294:326–33. DOI: 10.1001/jama.294.3.326. PMID: 16030277.
13. Fisher RA. Statistical methods for research workers. In : Kotz S, Johnson NL, editors. Breakthroughs in statistics: methodology and distribution. Springer;1992. p. 66–70.
14. Draper NR, Smith H. Applied regression analysis. John Wiley & Sons;1998.
15. Harrell FE. Regression modeling strategies: with applications to linear models, logistic regression, and survival analysis. Springer;2001.
16. Seber GA, Lee AJ. Linear regression analysis. John Wiley & Sons;2012.
17. Daoud JI. Multicollinearity and regression analysis. J Phys Conf Ser. 2017; 949:012009.
18. Shrestha N. Detecting multicollinearity in regression analysis. Am J Appl Math Stat. 2020; 8:39–42. DOI: 10.12691/ajams-8-2-1.
19. Mehmood T, Liland KH, Snipen L, Saebo S. A review of variable selection methods in partial least squares regression. Chemom Intell Lab Syst. 2012; 118:62–9. DOI: 10.1016/j.chemolab.2012.07.010.
20. Jeon S, Yang J, Lee HS. Statistical mistakes commonly made when writing medical articles. J Korean Soc Radiol. 2023; 84:866–78. DOI: 10.3348/jksr.2022.0108. PMID: 37559816.
21. Armitage P, Berry G, Matthews JN. Statistical methods in medical research. 4th ed. Wiley-Blackwell;2001.
22. Myers RH. Classical and modern regression with applications. 2nd ed. Duxbury Press;1990.
23. Nam HS, Kim EY, Kim SH, Kim YD, Kim J, Lee HS, et al. Prediction of thrombus resolution after intravenous thrombolysis assessed by CT-based thrombus imaging. Thromb Haemost. 2012; 107:786–94. DOI: 10.1160/th11-08-0585. PMID: 22318312.
24. Kleinbaum DG, Klein M. Logistic regression: a self-learning text. 2nd ed. Springer;2002.
25. Elkin ME, Zhu X. Predictive modeling of clinical trial terminations using feature engineering and embedding learning. Sci Rep. 2021; 11:3446. DOI: 10.1038/s41598-021-82840-x. PMID: 33568706.
26. Faraway JJ. Extending the linear model with R: generalized linear, mixed effects and nonparametric regression models. 2nd ed. Chapman and Hall/CRC;2016.
27. Fagerland MW, Hosmer DW. A generalized Hosmer-Lemeshow goodness-of-fit test for multinomial logistic regression models. Stata J. 2012; 12:447–53. DOI: 10.1177/1536867x1201200307.
28. Kumar R, Indrayan A. Receiver operating characteristic (ROC) curve for medical researchers. Indian Pediatr. 2011; 48:277–87. DOI: 10.1007/s13312-011-0055-4. PMID: 21532099.
29. Friedman LM, Furberg CD, DeMets DL, Reboussin DM, Granger CB. Fundamentals of clinical trials. 5th ed. Springer;2015.
30. Kim J, Song TJ, Song D, Lee HS, Nam CM, Nam HS, et al. Interarm blood pressure difference and mortality in patients with acute ischemic stroke. Neurology. 2013; 80:1457–64. DOI: 10.1212/wnl.0b013e31828cf87c. PMID: 23516316.
31. Nakagawa S, Cuthill IC. Effect size, confidence interval and statistical significance: a practical guide for biologists. Biol Rev Camb Philos Soc. 2007; 82:591–605. DOI: 10.1111/j.1469-185x.2007.00027.x. PMID: 17944619.
Fig. 1.
Visualization of associations between variables. (A) Visualization of the relationship between categorical and continuous variables when using the parametric method: a bar graph with the two groups’ mean and standard deviation values is commonly used to visualize the results of comparing means between groups. Each bar represents the mean of the corresponding group, and the whiskers indicate the standard deviation. (B) Visualization of the relationship between categorical and continuous variables when using the non-parametric method: a box plot with the median (interquartile range) of the two groups is commonly used to visualize the results of comparing means between groups. (C) Visualization of the relationship between continuous and continuous variables: a scatter plot is frequently presented with the results of correlation analysis or univariable linear regression to illustrate the association between two continuous variables. (D) Visualization of the relationship between categorical and categorical variables: a bar graph representing the outcome rates of groups is typically plotted with results from the chi-square test. The proportion of each outcome is shown by each bar.
Table 1.
Univariable analysis
Table 2.
Multivariable analysis



PDF
Citation
Print



XML Download