Abstract
Objectives
To propose age group classification criteria for efficient tooth loss management by analyzing the distribution of tooth loss in Korean adults by age group and causes of tooth loss. In addition, to determine the efficacy of a Significant Tooth Loss index.
Methods
The study included 13,199 adults who participated in the seventh Korea National Health and Nutrition Examination Survey (2016-2018). The mean number of missing teeth was compared by classifying the ages into 10- and 5-year intervals. Based on this analysis, the distribution of missing teeth was determined by classifying the age groups into 15-year intervals. Subsequently, the causes of tooth loss by age group at 15-year intervals and the efficacy of the Significant Tooth Loss Index were determined.
Results
Classification at 5-year age intervals was more appropriate for analyzing changes in the distribution of missing teeth than classification at 10-year age intervals. However, establishing a public oral health program for the management of tooth loss on a 5-year or 10-year basis is impractical. Therefore, a classification method with 15-year age intervals was proposed, in which the groups were young (19-34 years), middle-aged (35-49 years), older adult (50-64 years), and elderly (65 years or older). Although the criteria for the Significant Tooth Loss Index were appropriate for the young, older adults, and elderly groups, modifications were required for the middle-aged group.
우리나라에서 성인은 민법1)에 따라 일반적으로 19세 이상의 사람을 의미하며, 이들은 사회적, 경제적 활동의 주축을 이루는 중요한 인구 집단이다. 성인의 연령대는 다양한데 노인은 노인복지법에 따라 65세 이상으로 정의되고 있고, 청년기본법을 통해 청년을 19세 이상 34세 이하로 정의하고 있으며, 청소년기본법에서는 청소년을 9세 이상 24세 이하인 사람으로 규정하였다2-4). 이러한 법률들은 특정 연령대의 사회적 특성과 필요를 반영한 결과이다.
성인에게 있어 가장 심각한 구강건강결과는 치아상실이다. 치아상실은 단순히 기능적 손상을 넘어 삶의 질, 사회적 상호작용, 영양 섭취 등 다양한 측면에서 부정적인 영향을 미친다. 특히 고령화가 가속화되고 있는 한국에서는 노인 인구의 증가와 함께 치아상실관리 및 예방의 중요성이 더욱 강조되고 있다5). 치아상실은 주로 치아우식증과 치주질환이라는 양대 구강병으로 인해 발생하며, 이러한 질환들은 조기 개입이 중요하다. 그러므로 성인의 치아상실을 줄이기 위해서는 연령별 구분을 통한 관리가 효율적일 것이다.
구체적으로 치아상실관리를 위한 연령구분이 필요한 이유는 다양한 측면에서 살펴볼 수 있다. 첫째, 각 연령대의 성인은 개별 법령에 따라 서로 다른 정책과 제도의 적용을 받는다. 예를 들어 노인복지법2)에서는 65세 이상을 노인으로 규정하여 노인 대상 보건사업을 시행하고, 청년기본법3)에서는 청년을 19세 이상 34세 이하로 정의하여 청년층을 위한 정책을 수립하는 등 특정 연령군에 대한 차별화된 접근이 이루어지고 있다. 또한, 보건복지부에서도 연령별 특성을 반영하여 정책을 시행하고 있다. 연령별로 국가건강검진 항목이 다르며, 노년층을 대상으로 한 스케일링 및 불소도포사업, 청년층을 위한 예방적 구강보건교육사업 등이 이루어지고 있다6,7). 이는 연령별로 전신 건강 및 구강건강 상태가 다르다는 점을 반영한 것이다. 셋째로 연령구분이 필요한 이유는 치아우식증과 치주질환의 발생률과 유병률이 연령에 따라 차이를 보인다는 점이다. Lee8)의 연구에 따르면 20대에서는 우식기인 치아상실보다 비우식기인 치아상실이, 30대 이후의 연령대에서는 우식기인 치아상실이 더 많다. 따라서 치아상실은 연령별 상실 원인의 차이를 고려하지 않고 일률적인 구강보건사업을 진행할 경우 특정 연령군의 치아상실 예방 효과가 감소할 가능성이 크다. 넷째, 공중구강보건사업의 효율성을 고려할 때도 연령구분이 필요하다. 개별 치과의원에서는 환자별 특성에 맞추어 맞춤형 치료 및 관리가 가능하지만, 공중구강보건 영역에서는 한정된 자원을 활용하여 보다 효율적인 서비스를 제공해야 하므로, 연령군별 특성을 반영한 표준화된 사업 운영이 현실적이다. 이에, 치아상실관리의 효과적인 수행을 위해 연령별 차이를 반영한 연령구분이 필요하다. 공중구강보건사업에서 연령별 특성을 반영한 체계적인 관리가 이루어진다면, 구강 건강 증진과 치아상실 예방을 보다 효율적으로 수행할 수 있을 것이다.
치아상실 결과 지표로는 평균 상실치아수, 잔존치아수, 상실치율, 무치악자율 등이 사용되고 있다. 그러나 치아상실은 소수의 인구가 전체 치아상실의 대부분을 차지하는 경우가 많다9). 즉, 치아상실분포에 있어 파레토 법칙이 적용된다는 것이다. 최근 이러한 특성을 반영하여 다수치아상실치지수(significant tooth loss index, SiTL)라는 새로운 치아상실지표가 제안되었다9). 이 지표는 전체 상실치아수에서 제3사분위수 이상인 집단의 치아상실 평균치를 나타내며, 소수 집단의 치아상실관리를 통하여 전체 치아상실수를 효과적으로 관리할 수 있는 도구로 활용될 수 있다. 이에 본 연구에서는 이 지표가 구분된 연령군별에서도 유용한지 함께 확인하고자 하였다.
성인을 연령별로 구분한 사례를 살펴보면, Kim 등10)은 청년을 18세부터 39세로, 장년을 40세 이상 65세 미만으로 구분한 적이 있다. 보건복지부는 지역사회 통합건강증진사업을 통해 2021년까지 주로 만 65세 이상 노인을 대상으로 불소도포 및 스케일링사업을 진행하였다. 2022년부터는 특정연령군인 자립준비청년, 취약계층 성인, 보건소(보건지소) 만성질환 연계프로그램 적용 성인까지 사업대상을 확대하였다11,12).
이에 본 연구에서는 우리나라 성인의 치아상실 특성을 분석하여, 효율적인 치아상실관리를 위한 연령군 구분의 기준을 제안하고, 다수치아상실치지수의 효용성을 평가하고자 한다.
본 연구는 제7기 국민건강영양조사(2016-2018)의 원시자료를 이용하여 분석하였다. 만 19세 이상 성인 중 건강설문조사와 구강검진을 모두 완료한 13,199명을 최종 연구대상으로 하였다. 본 연구는 원광대학교 생명윤리위원회의 심의면제 승인을 받아 수행되었다(승인번호 WKUIRB 202311-105-01).
분석의 첫 번째는 효율적인 치아상실관리를 위해 연령별로 성인을 몇 개의 집단으로 나누는 것이었다. 먼저 연령을 10년 간격, 5년 간격으로 각각 나누어 연령군별 평균 상실치아수의 변화를 비교하였다. 자세한 연령군별 상실치아수의 분포를 파악하기 위하여 평균, 표준오차, 표준편차, 중위수, 왜도, 첨도, 변이계수를 산출하였다. 다음으로 위의 분석을 바탕으로 연령군을 15년 간격으로 나누었다. 연령군은 19세에서 34세까지는 청년, 35세에서 49세까지는 중(中)년, 50세에서64세까지는 장(長)년, 65세 이상은 노년으로 구분하여 명명하였다. 15년 간격 연령군별 상실치아수의 분포를 파악하기 위하여 평균, 표준오차, 표준편차, 중위수, 왜도, 첨도, 변이계수를 산출하였다. 분석의 두 번째는 치아상실의 원인을 확인해보는 것이었다. 이를 위해 4개의 연령군별 상실치아 원인 비중을 각각 산출하였다. 세 번째 분석은 소수의 사람이 전체 치아상실의 다수를 차지한다는 근거로 제시된 다수치아상실치지수(Significant Tooth Loss index, SiTL)의 효용성을 확인하는 것이었다. 통계분석은 IBM SPSS Statistics 29.0 program (IBM Corp., Armonk, NY, USA)과 Excel (Microsoft Corp., Redmond, WA, USA)을 이용하였다.
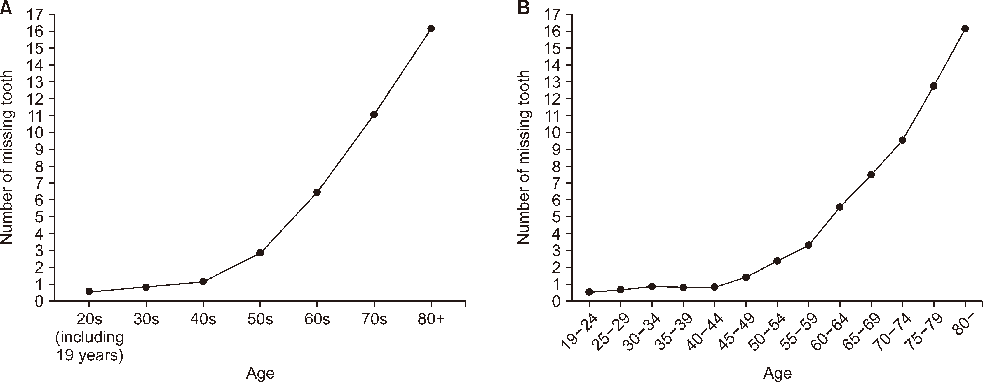
10년 간격과 5년 간격 연령군의 상실치아수의 연령에 따른 변화를 대략적으로 확인한 꺾은선 그래프는 Fig. 1과 같다. 10년 간격 연령군에서는 40대까지는 평균 상실치아수가 원만한 증가를 보이는 것으로 나타났고, 이후 50대와 60대에서 급격히 증가하는 양상을 보여주었다. 5년 간격 연령군에서는 40-44세 연령군까지 완만한 변화를 보여주다가 45-49세 연령군부터 증가하는 양상이 뚜렷하였고, 55-59세 연령군에서 급격한 증가를 보이는 것으로 나타났다. 두 그래프를 비교하면 10년 간격 그래프는 간격에 따라 계속 증가하는 양상을 보이고 있는데 반해 5년 간격 그래프에서는 30-35세군까지는 평균치가 증가하다가 35-39세군에서는 감소를, 40-44세 군에서는 다시 30-35세군과 같은 수준으로 되돌아옴을 알 수 있다. 즉 10년 간격 내에서도 증감의 변동이 있다는 것을 확인할 수 있다. 다시 이를 구체적으로 확인한 10년 간격 연령군과 5년 간격 연령군의 상실치아수의 분포는 Table 1과 같다.
10년 간격 연령군에서는 연령의 증가에 따라 평균 상실치아수가 증가하는 양상을 나타냈고, 50대에 이르러서 평균 상실치아수가 40대 연령군보다 약 2.5배 이상 증가하는 양상을 나타냈다. 또한, 이러한 급격한 변화는 60대와 70대에서도 두드러졌다. 중위수는 40대까지 0으로 나타나 치아상실이 있는 사람과 치아상실이 없는 사람으로 구분됨을 알 수 있다. 왜도는 40대까지는 증가하였고 이후 감소하는 양상을 보였다. 첨도는 30대까지 증가하였으나 이후 감소하는 양상을 보였다. 변이계수는 40대까지는 약 2.1에서 2.3 사이를 나타내다가 50대 이후 줄어드는 것으로 확인되었다. 이같은 분포에 따라서 치아상실관리를 위한 연령구분은 20대에서 40대를 1군으로 50대와 60대를 2군으로 70대 이상은 3군으로 구분할 수 있을 것이다.
5년 간격 연령군에서 평균 상실치아수는 40-44세 연령군까지 완만한 변화를 보이고 있고 45-49세 연령군에서 뚜렷한 증가가 시작되었고 55-59세에서 또 한 번 급격한 증가를 나타내었으며 이러한 급격한 증가는 60-64세 연령군으로 이어졌다. 이후 65-69세 이상부터는 계속 증가하는 양상을 보이고 있다. 중위수의 경우 45-49세 연령군까지 0으로 나타나 치아를 상실한 사람과 치아를 상실하지 않은 사람으로 구분됨을 볼 수 있다. 왜도는 35-39세 연령군까지 증가하였으나 이후 감소하는 양상을 보였다. 첨도 또한 35-39세 연령군까지 증가하였으나 이후 감소하였다. 변이계수는 30-34세까지 감소하였으나 35-39세까지는 증가하였고 그 이후 꾸준히 감소하는 양상을 나타냈다. 평균 변화에 따라 연령구분을 한다면 40-44세까지를 1군으로 45-49세부터 55-59세까지는 2군, 60-64세는 3군, 65-69세 이상은 4군으로 나눌 수 있으며, 중위수로 보면 45-49세까지를 1군으로 45-49세부터 60-64세는 2군으로 65-69세 이상부터는 3군으로 구분될 수 있을 것이다. 변이계수로 구분한다면 30-34세까지는 1군, 35-39세부터 45-49세까지는 2군, 50-54세부터 60-64세까지는 3군, 65-69세 이상은 4군으로 나눌 수 있을 것이다.
우리나라의 법적 노인 기준 연령이 65세이고 이에 따라 65세 이상의 노인이 별도의 구강보건사업군이 되겠으나, 65세가 포함된 10년 간격의 60세군과 50세군의 상실치 평균치 차이가 크고, 5년 간격의 55-59세군과 60-64세군의 평균치 차이 역시 커서 10년 간격으로 연령구분을 하는 것보다 5년 간격으로 연령구분을 하는 것이 효율적이라는 점을 확인할 수 있다. 그럼에도 치아상실이 누적적 결과라는 점에서 65세 이상 노인군의 평균 상실치아수를 줄이려고 한다면 이전의 연령대에서 미리 관리가 되어야 할 것이다.
연령구분을 시도할 때 처음으로 고려한 것은 Kim 등10)이 주장한 연령구분이었다. Kim 등이 주장한 연령구분은 청년이 18세부터 39세, 장년은 40-64세였다.
앞서 언급한 바와 노인의 법적 연령이 65세 이상이라는 점에서 성인의 연령구분에서 노년(65세 이상)은 고정하였다. 이럴 경우 30대 60대와 같은 10년 간격의 연령구분은 적용하기가 어려우므로 5년 간격의 연령구분을 적용하기로 하였다. 연령구분의 간격이 동일한 것이 좋으므로 15년 간격으로 연령을 구분하고자 하였다. 2023년 우리나라 초혼 평균 연령13)은 남자가 34.0세 여자는 31.5세인 점을 감안하여 청년군은 19세에서 34세로, 중년은 35-49세로, 장년은 50-64세로 설정하였다. 중년을 따로 선정한 이유는 우리나라 2023년 퇴직 평균 연령14)이 49.4세여서 생활조건이 바뀌는 경우가 많고 앞선 연령인 45-49세군과 비교할 때 50-54세군의 상실치 평균이 급격히 증가한다는 점에 근거하였다.
15년 간격으로 설정된 연령군별 상실치아수의 분포는 Table 2와 같다.
평균 상실치아수는 중년(1.03)이 청년(0.68)보다 약 1.5배, 장년(3.75)은 중년(1.03)보다 약 3.6배, 노년(10.88)은 장년(3.75)보다 약 2.8배 컸다. 왜도와 첨도는 중년군까지 증가하는 양상을 보였으나 이후 줄어드는 양상을 보였다. 변이계수는 청년에서는 2.12, 중년에서는 2.17로 장년(1.50)과 노년(0.87)보다 개인 간의 편차가 큰 것으로 나타났다.
15년 간격 연령군에 따른 상실치아의 원인 비중을 본 결과는 Table 3과 같다. 청년에서 비우식으로 상실한 치아의 비중(71.3%)은 우식으로 상실한 치아의 비중(28.7%)보다 약 2.5배 많았으며, 중년에서는 우식기인으로 상실한 치아의 비중(58.4%)이 비우식기인으로 상실한 치아의 비중(41.6%)보다 약 1.4배 많았다. 장년에서는 우식기인으로 상실한 치아의 비중은 50.4%, 비우식기인으로 상실한 치아의 비중은 49.6%로 거의 차이가 없었고, 노년은 우식기인으로 상실한 치아의 비중이 51.8%, 비우식기인으로 상실한 치아의 비중은 48.2%로 우식기인 상실치아의 비중이 비우식기인 상실치아 비중보다 3.6% 더 많았다.
치아상실을 관리하기 위한 통계지표인 다수치아상실치지수의 효용성을 확인하고자 하였다. 먼저, 다수치아상실치지수를 산출하기 위한 다수치아상실경험자 판정기준을 전체 상실치아수 분포에서 제3사분위수(상위 25%) 이상인 집단으로 설정하였다. 이에 따른 연령군별 다수치아상실경험자의 판정기준은 청년과 중년에서는 1개 이상 치아상실자, 장년은 5개 이상 치아상실자, 노년은 19개 이상 치아상실자였다. 연령군별로 다수치아상실경험자의 비중을 확인하였을 때 청년(26%), 장년(26%), 노년(25%)에서는 다수치아상실치지수의 효용성이 높음을 확인하였으나, 중년에서는 다수치아상실군의 비중이 37%로 나타나 다수치아상실치지수에 속하는 사람이 약 25%가 되어야 한다는 지표의 특성을 반영하지 못함을 확인하였다(Table 4).
다수치아상실치지수에서 중년군은 지표의 특성을 반영하지 못함을 확인하였기에 첫 번째로 중년(35-49)군에서 중년을 대표할 수 있는 특정 연령을 지정하여 다수치아상실치지수의 효용성을 확인하였다. 특정 연령은 치아상실을 미리 막아야 한다는 측면에서 35세와 국가에서 시행되는 일반건강검진에서 치면세균막 검사가 추가되는 40세, 이로부터 5년 후인 45세였다. 중년을 대표할 수 있는 특정 연령의 다수치아상실군의 비중은 각각 32% (35세), 35% (40세), 37.5% (45세)로 여전히 다수치아상실치지수의 효용성이 떨어짐을 확인하였다. 두 번째로 다수치아상실경험자의 판정기준을 기존 1개 이상 치아상실자에서 2개 이상 치아상실자로 변경하여 다수치아상실치지수를 다시 분석하였다. 판정기준을 변경한 후의 다수치아상실경험자의 비중은 중년(35-49)군에서는 22%, 35세에서 22%, 40세에서는 23%, 45세에서는 23%로 나타났다(Table 5). 이에 중년에서 다수치아상실치지수를 적용하기 위해서는 다수치아상실경험자의 판정기준을 변경하여 적용되어야 할 것으로 확인되었다.
본 연구에서는 우리나라 성인의 치아상실분포를 연령군별 및 원인비중별로 분석하여 효율적인 치아상실관리를 위한 연령군 구분 기준을 제안하고자 하였다. 또한, 치아상실다수자를 구분할 수 있는 통계지표인 다수치아상실치지수가 연령군별 대표치로써 활용가능한지 확인하고자 하였다.
먼저, 저자들은 10년 간격과 5년 간격으로 연령군을 나누어 상실치아수의 분포 변화를 분석하였다. 10년 간격으로 나눈 연령군에서는 상실치아수가 연령 증가에 따라 비교적 지속적으로 증가하는 양상을 보인 반면, 5년 간격 연령군에서는 특정 연령대인 45-49세와 55-59세에서 뚜렷한 증가가 나타나, 연령 구간에 따른 세부적인 평균 상실치아수의 변화를 보다 명확히 파악할 수 있었다. 치아상실이 누적적 결과이므로 치아상실을 줄이기 위해서는 급격하거나 뚜렷한 치아상실을 보인 연령군 이전의 연령에서 관리가 이루어져야 할 것이다. 이는 10년 간격보다 5년 간격의 분포분석이 치아상실의 조기예방시점을 정하는데 보다 유용함을 보여준다. 그러나, 5년 간격 또는 10년 간격의 연령군별로 공중구강보건사업을 실시하기에는 현실적인 어려움이 있을 것이다. 그러므로 저자들은 15년 간격의 연령군 구분이 치아상실 예방을 위한 관리에 적합한 것으로 판단하였다. 이에 따라 청년(19-34세), 중년(35-49세), 장년(50-64세), 노년(65세 이상)으로 연령군을 구분하였다. 한편, 보건복지부에서 시행하는 건강검진사업에서 정신건강검사의 경우 20세부터 70세까지 10년 간격으로 검사를 받도록 하다가, 2025년부터는 20세에서 34세 청년들을 2년 주기로 검사를 받도록 연령구분의 변화가 이루어진 바 있다. 이는 중증 정신질환이 청년기에 주로 처음 발생함으로 건강검진을 통해 질병을 조기에 발견하고 만성화를 예방하고자 하는 조치였다. 본고에서 치아상실 원인 비중은 중년, 장년, 노년에서는 우식기인 상실이 많으나, 청년군에서는 비우식기인 상실이 많은 것으로 나타났다. Lee8)의 연구에서, 청년에서 비우식기인 치아상실이 많은 것은 소구치가 상실이 많다는 것과 전치에 외상이 많이 발생한다는 이전 연구를 근거로 교정치료 및 외상과 같은 요인이 작용한 결과라고 주장한 바 있다. 그러므로 청년군에서 치아상실관리는 미적인 측면과 상병관리라는 차원으로 구분되어 추진되어야 함을 의미할 것이다. 중년부터 우식기인 치아상실수의 비중이 감소하고, 35세 이후 치주병이 증가한다는 보고를 감안할 때, 중년 이후의 치주병 관리사업이 확대되어야 할 것이다. 45-49세 연령군에서 치아상실이 뚜렷하다는 점에서 현재 40세에 행해지고 있는 구강검진항목 중 치면세균막 검사의 중요성을 확인할 수 있었다. 치면세균막 검사와 연계된 구강보건사업이 전개된다면 치아상실 예방에 효과적일 것이다. 55-59세 연령군에서 치아상실이 급격히 이루어진다는 점에서 65세 이상 노인을 대상으로 한 치아상실 예방은 매우 한계가 있을 것이다. 그러므로, 노인기 이전에서 치아상실 예방을 위한 구강보건사업이 전개되어야 하며, 노인에서는 상실된 치아의 기능을 회복하기 위한 사업의 비중을 높여야 할 것이다. 15년 간격의 연령구분은 공중구강보건사업의 효율성을 높이기 위한 것이나, 연령군 내에서 집중관리가 필요한 연령대를 선정하여 독자적인 사업을 하는 것도 고려해볼 필요가 있을 것이다.
다수치아상실치지수는 소수가 전체 결과의 대부분을 차지한다는 파레토 법칙15)을 반영한 지표로, 다수치아상실치지수는 치아상실분포에서 상위 25% (제3사분위수)에 해당되는 사람들의 평균 상실치아수를 말한다. 본 연구에서는 청년, 장년, 노년군에서 다수치아상실치지수의 효용성이 높은 것으로 나타났다. 그러나 중년군에서는 다수치아상실경험자의 비중이 37%로 나타나 다수치아상실치지수의 특성을 충분히 반영하지 못하였다. 즉, 제3사분위수 이상을 구분하기 위한 상실치아수 기준에 동일한 결과로 보인 사람이 많아 파레토 법칙에서 의미한 소수를 선정하는데 제한점이 있었다는 것을 뜻한다. 이러한 경우 표본 수를 늘리면 결과가 달라질 가능성이 높으나 국민건강영양조사의 표본 수를 늘리는 것은 현실적으로 어려울 것이다. 이에 중년군의 다수치아상실치지수 효용성을 개선하기 위해 두 가지를 추가 분석하였다. 첫 번째는 중년군을 대표할 수 있는 특정 연령(35세, 40세, 45세)을 선정하여 분석하는 것이었다. 특정 연령을 선정하여 분석했음에도 불구하고 다수치아상실경험자의 비율이 평균 약 35%로 나타나 지표의 특성을 제대로 반영하지 못하였다. 두 번째 방법은 다수치아상실경험자의 판정기준을 변경하여 분석하는 것이다. 즉, 제3사분위수와는 별개로 상실치아수 분포에서 약 25%의 대상자를 선정할 수 있는지 확인하였다. 기존의 판정기준은 1개 이상 치아상실자가 다수치아상실경험자로 구분되었으므로, 2개 이상 치아상실자를 기준으로 했을 때, 다수치아상실경험자에 해당되는 사람의 비율이 얼마인지 확인하였다. 이 결과, 약 23%로 나타나, 지표의 특성을 충족시키는 것으로 확인되었다. 그러므로 중년군에서는 다수치아상실경험자의 판정기준을 1개 이상에서 2개 이상으로 변경하여 적용할 필요가 있다. 이러한 기준을 적용할 때 35세, 40세, 45세를 대표 연령으로 지정하여 분석하는 것 역시 다수치아상실치지수의 특성을 반영하는 것으로 나타났다.
본 연구의 제한점은 분석자료가 제7기 국민건강영양조사(2016-2018)에 국한되어 있었다는 점이다. 이전의 국민건강영양조사 결과나 추후 이루어질 국민건강영양조사 결과를 분석하였을 경우 본 연구결과와 다를 수 있다는 점은 부인하기 어렵다. 또한, 15년 간격의 연령구분이 다소 주관적일 수 있을 것이다. 그러나, 생애주기별 구강보건사업 중 성인구강보건사업이 매우 적고 성인구강보건사업이 각기 다른 법령이나 제도에 의해서 수행될 가능성이 높다는 점에서 연령구분은 성인구강보건사업을 효율적으로 진행하는데 도움이 될 것으로 생각하였다. 그럼에도 불구하고, 성인구강보건사업을 활성화하기 위한 본 연구에서의 연령구분 제시에 대해 많은 비판과 제안이 이루어지기를 저자들은 소망한다.
본 연구는 한국 성인의 치아상실관리에 적합한 연령구분을 제안할 목적으로 제7기 국민건강영양조사(2016-2018)의 원시자료를 분석하여 다음과 같은 결론을 얻었다.
1. 5년 간격 연령구분이 10년 간격보다 상실치아 분포 변화 분석에 더 적합하였다.
2. 5년 혹은 10년 단위의 치아상실관리를 위한 공중구강보건사업 체계를 마련하기가 어려우므로, 청년(19-34세), 중년(35-49세), 장년(50-64세), 노년(65세 이상) 15년 간격의 연령군 구분법을 제시하였다.
3. 다수치아상실치지수는 청년, 장년, 노년군에서는 적합하였으나, 중년에서는 지수의 판정기준을 변경할 필요가 있었다.
References
1. Ministry of Government Legistaion. KOREAN LAW INFORMAION CENTER, CIVIL ACT [Internet]. Available from: https://www.law.go.kr/LSW/lsInfoP.do?lsiSeq=222427&chrClsCd=010203&urlMode=engLsInfoR&viewCls=engLsInfoR#0000. cited 2025 Feb 03.
2. Ministry of Government Legistaion. KOREAN LAW INFORMAION CENTER, WELFARE OF SENIOR CITIZENS ACT [Internet]. Available from: https://www.law.go.kr/%EB%B2%95%EB%A0%B9/%EB%85%B8%EC%9D%B8%EB%B3%B5%EC%A7%80%EB%B2%95. cited 2025 Feb 03.
3. Ministry of Government Legistaion. KOREAN LAW INFORMAION CENTER, FRAMEWORK ACT ON YOUTH [Internet]. Available from: https://www.law.go.kr/%EB%B2%95%EB%A0%B9/%EC%B2%AD%EB%85%84%EA%B8%B0%EB%B3%B8%EB%B2%95. cited 2025 Feb 03.
4. Ministry of Government Legistaion. KOREAN LAW INFORMAION CENTER, FRAMEWORK ACT ON YOUTH [Internet]. Available from: https://www.law.go.kr/%EB%B2%95%EB%A0%B9/%EC%B2%AD%EC%86%8C%EB%85%84%EA%B8%B0%EB%B3%B8%EB%B2%95. cited 2025 Feb 03.
5. Park JH, Jeong SH, Lee GR, Song KB. 2008; The impact of tooth loss on oral health related quality of life among the elderly in Seongju, Korea. J Korea Acad Oral Health. 32:63–74.
6. Ministry of Health and Welfare. 2024. 2024 Health Checkup. Ministry of Health and Welfare;Sejong: p. 6.
7. Ministry of Health and Welfare. 2022. Oral Health Plan 2026, 2022~2026. Ministry of Health and Welfare;Sejong: p. 17–19.
8. Lee DY. 2024. Patterns of tooth loss in permanent teeth of Korean adult. [dissertation]. Wonkwang University;Iksan: [Korean].
9. Choi JI, Lee HS, Ju HJ, Oh HW. 2024; The regional distribution and sociodemographic characteristics of adults with Significant Tooth Loss. J Korea Acad Oral Health. 48:15–19. DOI: 10.11149/jkaoh.2024.48.1.15.

10. Kim JB, Choi YJ, Moon HS, Kim JB, Kim DK, Lee HS, et al. 2007. Public Oral Health. 4th ed. Komoonsa;Seoul: p. 259–276.
11. Ministry of Health and Welfare, Korea Health Promotion Institute. 2021. 2021 Integrated health promotion program in the local community oral health. Ministry of Health and Welfare, Korea Health Promotion Institute;Sejong, Seoul: p. 1–242.
12. Ministry of Health and Welfare, Korea Health Promotion Institute. 2022. 2022 Integrated health promotion program in the local community oral health. Ministry of Health and Welfare, Korea Health Promotion Institute;Sejong, Seoul: p. 1–232.
13. Statistics Korea. Korea Statistical Information System (KOSIS), Statistics DB, age at first marriage [Internet]. Available from: https://kosis.kr/visual/populationKorea/PopulationDashBoardDetail.do?statJipyoId=3770&vStatJipyoId=5282&listId=A_02&areaId=&areaNm=. cited 2025 Feb 03.
14. Statistics Korea. 2023. Supplementary results of the economically active population survey for the old population in May 2023. Statistics Korea;Daejeon: p. 1–32.
15. Dunford R, Su Q, Tamang E. 2014; The pareto principle. Plymouth Stud Sci. 7:140–148.
Table 1
Tooth loss by age group
Table 2
Tooth loss by classified age
Table 3
Percentage of causes of tooth loss by age group
Table 4
Significant Tooth Loss Index by age group
Table 5
Result of the change in the criteria for determining tooth loss group



PDF
Citation
Print



XML Download