Abstract
Background
Monoclonal protein (M-protein), crucial for diagnosing and monitoring multiple myeloma, is detected and quantified using serum and urine protein electrophoresis (SPEP/UPEP). Agarose gel electrophoresis (AGE), traditionally used, is increasingly being replaced by capillary electrophoresis (CE). This study compares CE-based Capillarys 3 TERA (Sebia) with AGE-based Epalyzer (Helena Laboratories).
Methods
We assessed Capillarys 3 TERA for precision, linearity, and carryover rates following CLSI guidelines. Precision was assessed across six fractions (albumin, alpha-1, alpha-2, beta-1, beta-2, and gamma-globulin) using control materials, measured five times daily over five days. Linearity was tested for M-protein concentrations (0.4–5.2 g/dL) using patients samples. We compared 58 serum and 60 urine samples between Epalyzer and Capillarys 3 TERA. UPEP results from spot urine and 24-hour toluene-preserved samples from 20 patients were compared.
Results
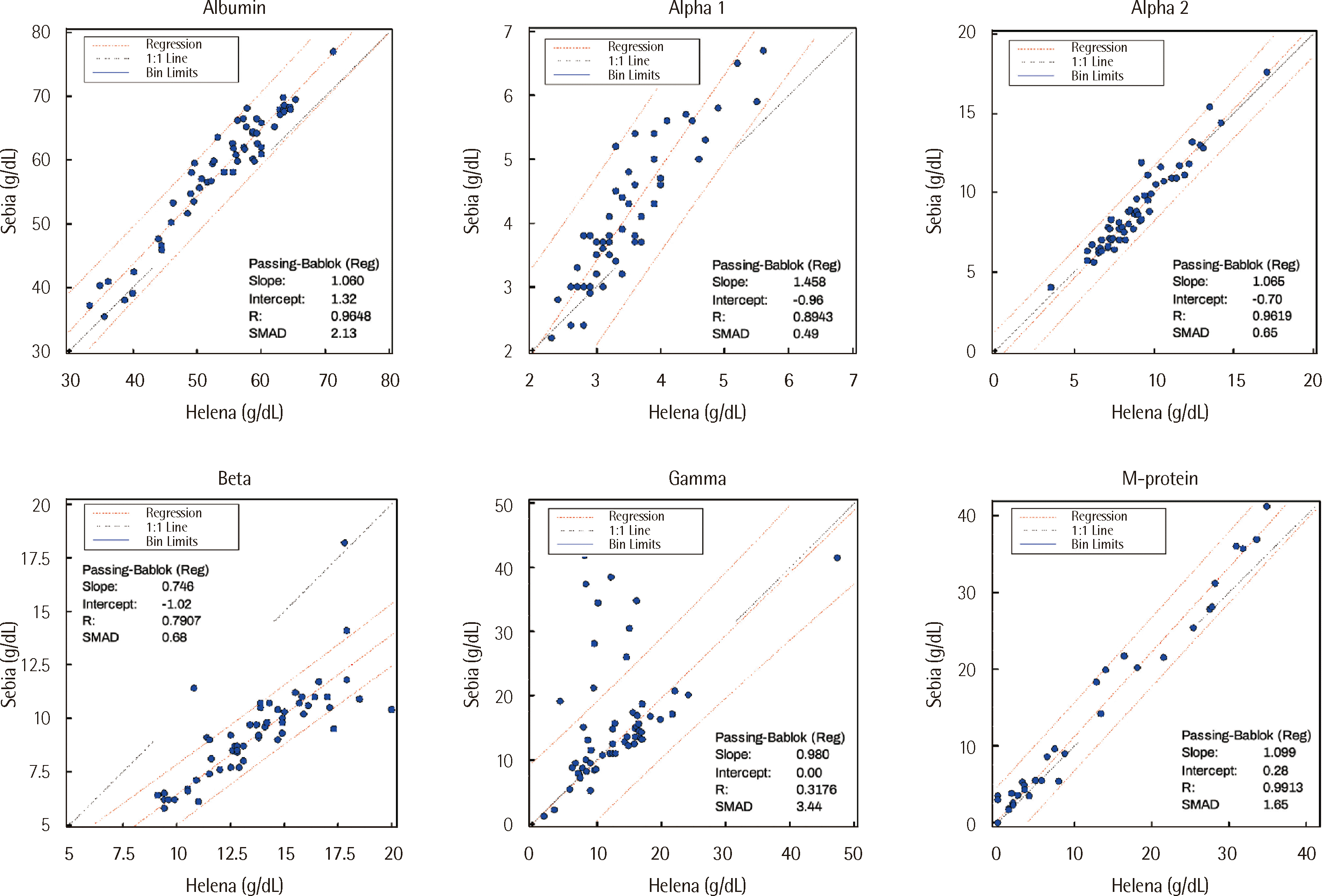
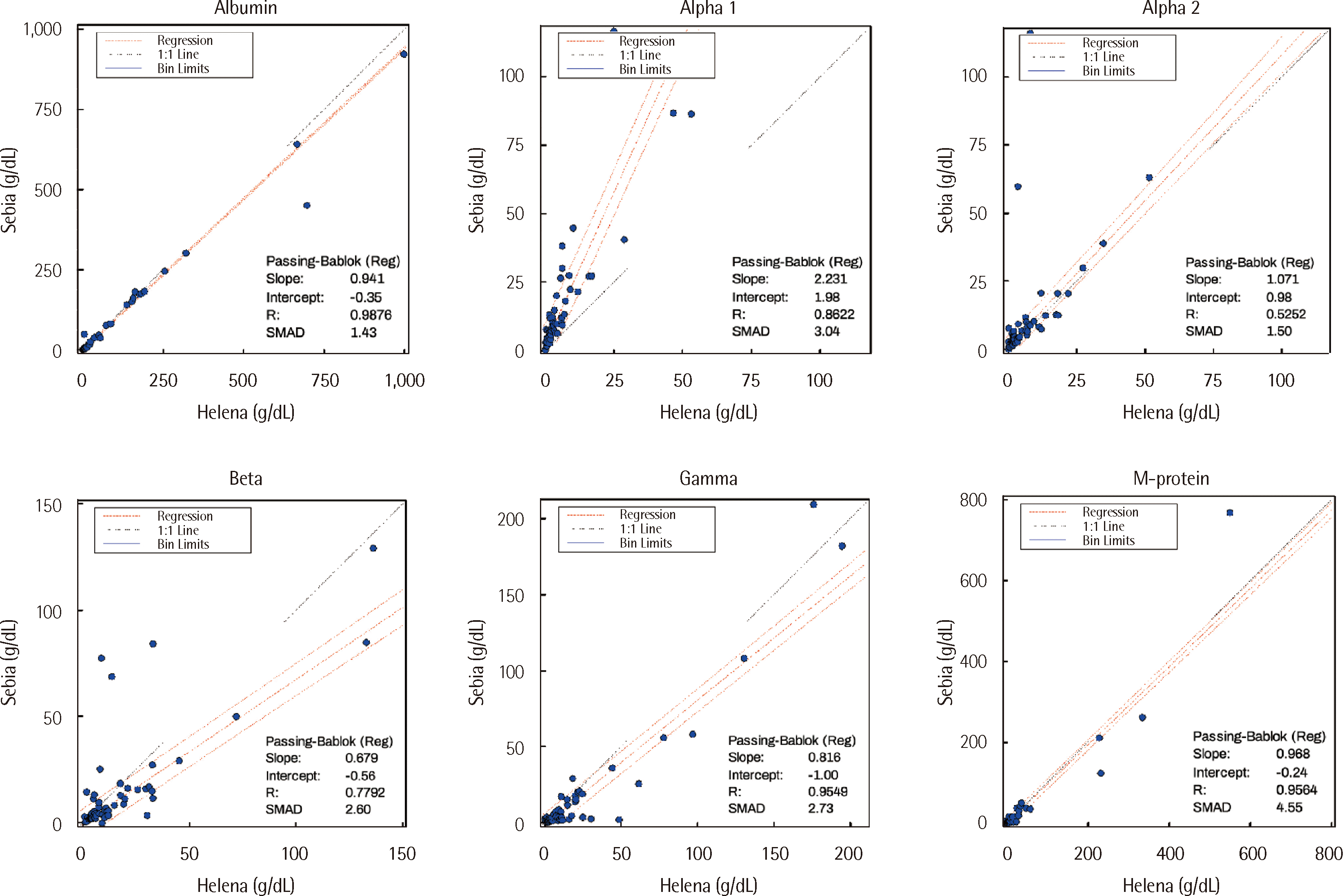
Precision showed coefficients of variation below 5% for all fractions. M-protein demonstrated strong linearity, and no carryover. Correlation coefficients between Epalyzer and Capillarys 3 TERA for serum/urine were: albumin 0.9648/0.9876; alpha-1, 0.8943/0.8622; alpha-2, 0.9619/0.5252; beta, 0.7907/0.7792; gamma, 0.3176/0.9549; and M-protein, 0.9913/0.9564. M-protein detection concordance was 94.8% (serum) and 91.7% (urine). Sensitivity/specificity for M protein detection in serum was 96.9%/92.3 for Capillarys 3 TERA and 93.8%/100.0% for Epalyzer. In urine, Capillarys 3 TERA showed 90.5%/100.0%, while Epalyzer showed 76.2%/100.0%. M-protein levels were higher in random spot urine than in 24-hour samples.
다발골수종(multiple myeloma)은 골수의 형질세포가 비정상적으로 증식하는 혈액암으로 국내 발생률이 빠르게 증가하고 있다[1]. 과거에는 고칼슘혈증, 신부전, 빈혈, 뼈 병변 등의 임상 소견만으로 진단하였으나, 치료법이 개발되면서 조기진단 및 치료 모니터링이 중요해졌다[2]. 임상증상이 없더라도 혈액이나 소변에서 단클론성 단백(monoclonal protein, M단백)을 확인하거나 골수 내에서 형질세포 증가를 확인할 경우 무증상 골수종으로 진단된다[3]. 또한 치료 시작 후에는 M단백을 추적관찰 하여 치료효과를 판정하고 재발을 확인해야 한다[3]. 따라서 혈액과 소변 내의 비정상 단백질, 즉 M단백의 양을 측정하는 것이 다발성골수종의 진단과 모니터링에 필수적이다[3]. 다발골수종 이외에도 아밀로이드증(amyloidosis), 림프종(lymphoma), 발덴스트롬마크로글로불린혈증(Waldenström macroglobulinemia), 의미불명 단세포군감마글로불린병증(monoclonal gammopathy of undetermined significance, MGUS)에서도 M단백 검출이 중요하다[4].
M단백을 검출하는 데에는 전기영동 방법이 일반적으로 사용된다[5]. 전기영동이란 전기장 영향 하의 액체매질 내에서 전하를 띤 입자를 분리하는 방법으로, 이를 통해 각 단백질 분획을 정량 측정할 수 있다[6]. 임상검사실에서는 혈청단백 전기영동(serum protein electrophoresis, SPEP)과 소변단백 전기영동(urine protein electrophoresis, UPEP)을 흔히 시행한다. 다발성골수종의 발생률이 증가됨에 따라 단백 전기영동 검사도 증가 추세이다. 국내에서 요양급여로 청구되는 SPEP가 2018년 75,208건에서 2023년 117,762건으로, UPEP는 2018년 50,786건에서 2023년 75,417건으로 늘었다[7].
전기영동 검사를 시행하면 M단백 검출 외에도 단백질 분획 정량을 통해 여러 임상 상황을 평가할 수 있다. SPEP를 통해 저알부민혈증, 알파1-항트립신결핍증 등의 소견을 확인할 수 있으며[8], UPEP를 통해 단백뇨를 보이는 환자의 신장 손상의 위치와 원인을 파악에 도움을 줄 수 있다[9]. 국내 29개 임상검사실을 대상으로 시행한 설문조사에서도 M단백 정량 외 단백질 분획 결과가 다양하게 활용되고 있음을 확인할 수 있었다[10].
전기영동 방법으로는 우무겔전기영동(agarose gel electrophoresis, AGE)과 모세관전기영동(capillary electrophoresis, CE) 방법이 사용된다. 최근 조사에 따르면 CE 사용 비율이 증가하는 추세이다. 미국 임상검사실의 경우 2016년에는 AGE와 CE 사용비율이 각각 약 68.6%, 31.4%였으나[11], 2023년에는 44.7%, 55.3%로 역전되었다[12]. 국내의 경우 2022년 조사에서 AGE, CE 사용비율이 각각 17.2%, 69.0%로 CE가 높았다[10].
AGE와 CE는 염색제와 완충액 조성, 구획 설정과 분석 방법이 다르기 때문에, 각 단백 분획의 정량 값이 다를 수 있다[13–18]. 따라서 AGE에서 CE로 검사법을 변경할 경우 검사법 비교평가가 중요하다. 또한 환자 검사결과의 상호운용성 확보 및 임상 데이터를 이용한 다기관 연구를 위해서도 두 검사법 간 차이를 정확히 파악하는 것이 필요하다. CE와 AGE의 성능을 비교 평가한 연구가 소수 있으나[13–21], 혈청 검체만 평가하였거나, 정밀도, 직선성, 검체 간 오염 등 검사법 평가에 기본적으로 포함되어야 할 항목들을 포함하지 않았거나, M단백 외의 기타 단백질 분획은 평가하지 않은 등[20, 21] 제한점이 있었다. 이에, 저자들은 본원에 도입된 Capillarys 3 TERA (Sebia, Lisses, France)를 이용한 SPEP, UPEP 검사의 분석성능을 포괄적으로 평가하고, 기존에 사용하던 Epalyzer (Helena Laboratories, Beaumont, TX, USA) 결과와 비교하고자 하였다.
한편, 다발성골수종 환자의 정확한 진단과 치료 모니터링을 위해 2024년 National Comprehensive Cancer Network (NCCN) 가이드라인 등은 UPEP 검사 시 24시간 소변 사용을 권장한다[3, 22]. 24시간 소변 수집 시 이상적으로는 냉장보관이 권장되나[23] 임상실무에서는 소변 검체를 냉장 관리하기 어렵기 때문에 24시간 소변 대신 무작위 단회뇨(random spot urine)로 대체하거나, 톨루엔(toluene)을 보존제로 사용한 24시간 소변을 많이 사용한다. 그러나 아직 두 검체 종류를 비교한 연구가 없다. 따라서 이번 연구에서는 무작위단회뇨와 톨루엔을 첨가한 24시간 소변에서의 M단백 측정값의 차이도 추가적으로 확인하고자 하였다.
2022년 4월 25일부터 7월 13일까지, 혈청 및 소변 단백 전기영동에 대하여 정밀도, 직선성, 검체 간 교차오염률 평가 및 검사법 간 비교를 시행하였다. 모든 연구과정은 서울아산병원 임상연구심의 위원회의 심의면제(IRB과제번호: 2023-0746)을 받아 진행되었다.
정밀도 평가는 CLSI EP15-A3 지침[24]에 준하여 수행되었다. 혈청 검체의 전기영동 결과에서 총단백량과 함께 알부민, 알파-1, 알파-2, 베타-1, 베타-2, 감마 글로불린의 정량 값(g/dL)과 총단백 대비 비율(ratio, %)을 평가하였다. 제조사에서 제공한 정상농도 정도 관리물질(normal control; 총단백질, 6.22 g/dL; Lot. 29041)과 고감마글로불린 정도관리물질(hypergamma control; 총단백질, 4.75 g/dL; Lot. 23091)을 사용하였다. 모세관별로 5일간 하루 5회씩 반복 측정하여 평균, 반복정밀도(repeatability), 총변이계수(total coefficient of variation, tCV) (%)를 산출하였다. 총 12개의 모세관에 대해 동일한 방식으로 정밀도를 평가하였고, 결과를 12개 모세관의 평균 및 표준편차로 나타냈다.
직선성 평가는 CLSI EP06-ED2 가이드라인[25]에 따라 수행하였다. 혈청 M단백 값이 정상인 검체를 농도수준 1, 혈청 M단백 값이 매우 높은 환자 검체를 농도수준 5로 하여 각각 4회 반복 측정하여 평균값을 구하였다. 농도수준 1 검체와 농도수준 5 검체를 단계적으로 혼합하여 총 5개의 검체를 만들었다(농도수준 1-5 검체의 목표농도는 각각 0.4, 1.6, 2.8, 4.0, 5.2 g/dL). 이 5개의 검체를 각각 Capillarys 3 TERA 장비로 2회 반복 측정하여 총단백량, 알부민, 알파-1, 알파-2, 베타-1, 베타-2, 감마 값을 구하였다.
5개 검체에 대해 교정 수직작도법(corrected perpendicular drop) 방식으로 M단백 값을 측정하고, 가중 최소제곱 회귀분석(weighted least squares regression)을 통해 직선에 최적화하였다. 직선성 분석에는 CLSI EP06-Ed2-workbook [26]을 사용하였다. 5개 검체 모두에서 95% 신뢰구간이 직선성으로부터 허용가능한 편차(allowable deviation from linearity, ADL) 영역 이내에 있거나 일부라도 중첩될 경우 직선성이 검증되었다고 판단하였다. ADL은 Clinical Laboratory Improvement Amendments (CLIA) 2024에서 제시한 총단백 검사의 총허용오차 기준인 8%로 설정하였다[27].
검사법 비교는 CLSI EP12-ED3 가이드라인[28]에 따라 시행하여 정량 값을 비교하였다.
2022년 4월부터 7월까지 기존 기기인 Epalyzer로 전기영동 검사를 수행한 후 남은 잔여 검체 중 M단백 분포가 다양한 혈청 검체 58개와 소변 검체 60개를 수집하였다. 소변 검체는 단회뇨 36개와 24시간 소변 검체 24개로 구성되었으며, 24시간 소변 검체는 톨루엔을 보존제로 사용하였다. 검체들은 4주 이내로 냉장 보관하였고, 5-7월에 Capillarys 3 TERA로 검사하였다.
혈청 검체는 혈청분리튜브(serum separating tube)로 최소 3 mL 이상 채취 후, 3,515 g에서 10분간 원심분리하여 검사하였다. 소변 검체는 분석 장비에 따라 전처리 방법을 달리하였다. Epalyzer 장비의 경우, 소변 5 mL를 3,515 g에서 10-20분간 원심분리하여 최종 부피 100 fiL까지 농축하였다. Capillarys 3 TERA 장비에서는 소변 20 mL 이상 채취 후 Sebia Dialysis systems tube를 이용하여 증류수와 혼합하였다. 희석 비율은 소변의 총단백량에 따라 검체와 증류수(distilled water, DW)의 비율을 달리하되, 최종 부피는 20 mL로 통일하였다. 소변의 총단백량은 Cobas 8000 기기와 Roche사의 TPUC3 시약(Roche Diagnostics GmbH, Mannheim, Germany)을 사용하여 측정하였다. EDTA 함유 염기성 용액으로 시료를 전처리한 후, 벤제토늄 클로라이드(Benzethonium chloride)를 첨가하여 발생하는 탁도를 혼탁측정법으로 분석하였다. 혼합액을 3,515 g에서 40분간 원심분리한 후, 튜브 하단의 용액을 제거하고 working dialysis buffer (dialysis buffer:DW=1:1) 20 mL를 첨가하였다. 다시 3,515 g에서 40분간 원심분리한 후 최종 부피를 0.5 mL로 조정하였다.
각 검사방법은 제조사의 지침을 준수하였다. M단백 값(g/dL)은 교정 수직작도법을 사용하여 측정하였다. 각 장비에서 측정한 알부민, 알파-1, 알파-2, 베타-1, 베타-2, 감마, M단백 값(g/dL)으로 두 방법간 회귀방정식과 상관계수(coefficient of correlation, r)를 산출하였다. Epalyzer에서는 ‘베타’로, Capillarys 3에서는 ‘베타-1’와 ‘베타-2’로 세분화되므로 Capillarys 3 TERA 장비의 베타-1과 베타-2값을 합산하여 Epalyzer의 베타 값과 비교하였다.
혈청 검체 58개와 소변 검체 60개에 대해 Epalyzer와 Capillarys 3 TERA 장비 간 M단백 검출 여부로 M단백 검출 일치도를 계산하였다. 민감도와 특이도는 Capillarys 3 TERA를 이용한 면역형검사(immunotyping, IT) 결과를 참고기준(gold standard)으로 사용하여 산출하였다. 모든 전기영동 결과는 2명 이상의 숙련된 판독자가 해석하였으며, 판독자 간 불일치가 발생한 경우 합의를 통해 최종 결과를 도출하였다. AGE와 CE 간 결과가 상이하거나 추가 확인이 필요한 경우, 추가적으로 겔 면역고정전기영동(immunofixation electrophoresis, IFE) 확인 또는 환자 의무기록 검토를 실시하여 정확성을 높였다. 민감도는 참고기준에서 M단백이 검출된 샘플 중 해당 장비가 이를 정확히 식별한 비율로, 특이도는 참고기준에서 M단백이 검출되지 않은 샘플 중 해당 장비가 이를 올바르게 음성으로 판정한 비율로 각각 산출하였다.
교차오염률을 평가하기 위해, 제조사에서 제공한 DW 및 혈청 EP 검사 후 남은 혈청 검체 중 무작위로 선택된 12개를 사용하였다. 12개의 모세관에 환자 혈청 및 DW 샘플을 교대로 장착한 후 검사를 시행하였다. DW와 환자 혈청의 최대흡광도(optical density max, ODmax)를 측정하여, 각각 OD-DW와 OD-serum으로 정의하였다. 제조사의 기준에 따라 12개 OD-DW 값이 모두 0.005 미만 인지 확인하였고, 신호대잡음비(signal-to-noise ratio, S/N ratio)=(mean of OD-serum/mean of OD-DW)를 계산하여 S/N ratio가 60 이상이면 교차오염이 없다고 판단하였다.
통계분석에는 Microsoft Excel 2010 (Microsoft Corporation, Redmond, WA, USA), EP evaluator (Data innovations LLC, South Burlington, Vermont, USA), R version 4.3.1 (R foundation for statistical Computing, Vienna, Austria), CLSI EP06-Ed2-workbook [26]를 이용하였다.
알부민, 알파-1, 알파-2, 베타-1, 베타-2, 감마, 총 6개 항목의 반복정밀도(%) 및 tCV (%)의 12개 모세관 평균과 표준편차는 Table 1과 같다. 총 변이계수는 모든 모세관, 모든 항목에서 정밀도 5% 이내였다.
직선성 평가를 위한 5개의 물질(M단백 농도범위: 0.4–5.2 g/dL) 모두에서 하나 이상의 신뢰 구간 막대가 ADL 영역 내에 위치하여 직선성이 유지되는 것으로 평가하였다. 직선성 평가결과는 Fig. 1에 표시하였다.
Capillarys 3 TERA와 기존 장비인 Epalyzer를 Passing-Bablok 회귀분석으로 비교한 결과를 Fig. 2, Fig. 3에 제시하였다. 상관성이 낮은 항목은 혈청에서 감마 분획(r=0.3176), 소변에서 알파-2 분획(r=0.5252)이었다. 그 외 항목은 혈청, 소변 검체 모두에서 높은 상관성을 보였다(r=0.8622–0.9913).
혈청 검체에서 Capillarys 3 TERA는 Epalyzer에 비해 알부민, 알파-1 분획 값이 더 높게 측정되는 경향이 있었고, 베타 분획 값은 더 낮게 측정되는 경향이 있었다. 소변 검체에서 Capillarys 3 TERA는 Epalyzer에 비해 알파-1 분획이 높게 측정되는 경향이 있었다.
M단백 검출의 일치도는 혈청에서 94.8% (55/58), 소변에서 91.7% (55/60)이었다. 혈청 검체에서 CE의 민감도와 특이도는 각각 96.9% (31/32)와 92.3% (24/26)로 나타났으며, AGE는 93.8% (30/32)의 민감도와 100.0% (26/26)의 특이도를 보였다. 소변 검체의 경우, CE는 90.5% (38/42)의 민감도와 100.0% (18/18)의 특이도를 나타냈고, AGE는 76.2% (32/42)의 민감도와 100.0% (18/18)의 특이도를 보였다.
수집된 24시간 소변의 평균 용량은 1,905±899 mL였다. 24시간 소변 검체 수집 시 보존제로 톨루엔 10 mL를 첨가하였는데, 이는 검체 평균 용량의 약 0.5% 수준이었다. 24시간 소변과 무작위단회뇨 검체 간의 M단백 측정값은 높은 상관성을 보였으나(R=0.9869), 24시간 요검체보다 무작위단회뇨의 M단백 정량값이 높게 나타났다(Fig. 4).
이번 연구에서는 대표적인 모세관 전기영동 장비인 Capillarys 3 TERA를 이용하여 SPEP, UPEP 검사의 분석성능을 정밀도, 직선성, 검체 간 오염 등을 포함하여 포괄적으로 평가하였고, 무작위단회뇨와 톨루엔을 첨가한 24시간 소변에서의 M단백값의 차이를 처음으로 확인하였다. Capillarys 3 TERA 시스템은 단백질 분획 분석에 있어 유효한 정밀도, 직선성, 교차오염률을 나타내었다. 임상적으로 가장 중요한 M단백 정량도 기존 AGE 방법과 높은 상관성을 보였다. 24시간 요검체에 비해 무작위 단회뇨의 M단백 정량 값이 더 높게 나타났다.
서론에서 언급한 것처럼 임상검사실에서의 전기영동 방법이 AGE에서 CE로 점차 바뀌고 있는 이유는 두 검사법의 실용성에 차이가 있기 때문으로 생각된다. AGE 검사는 도포된 시료의 양, 실행 시간, 염색 시간, 탈염색 시간 등에서의 작은 차이가 결과에 큰 영향을 미친다[29]. 검사과정이 여러 단계로 이루어지기 때문에 자동화가 어려우며, 겔 및 염색약 등의 폐기물이 생긴다. 반면, CE 검사는 시료 희석 및 버퍼(buffer) 준비만 필요하며, 폐기물이 비교적 적게 발생한다[30]. 또한 완전 자동화가 가능하여 검체 뒤바뀜 등의 오류를 감소시키고 신속한 결과 도출이 가능해 필요한 시간과 인력을 최소화한다[30]. 다만 두 검사법 간 원리 차이로 결과가 다를 수 있으므로 검사법 변경 시에는 검사법 간 비교평가가 필요하다.
이번 연구에서 CE (Capillays 3 TERA)와 AGE (Epalyzer)의 M단백 검출의 일치도는 혈청 94.8%, 소변 91.7%였다. 2021년 Howard 등[18]의 연구에서는 두 검사법 간 M단백 검출 일치도가 88% (268/304)였다. M단백 검출의 민감도/특이도는 CE (Capillays 3 TERA)의 경우 혈청에서 96.9%/92.3%, 소변에서 90.5%/100.0%였으며, AGE는 혈청에서 93.8%/100.0%, 소변에서 76.2%/100.0%였다. 혈청 검체로 민감도와 특이도를 구했던 연구들과 비교해보면, 2021년 Howard 등[18]의 연구에서는 CE (Capillarys 3 TERA, Sebia), AGE (Hydrasys 2, Sebia)의 민감도/특이도가 각각 76%/92%, 73%/95%였다. 2012년 Jessica Poisson 등의 연구[19]에서는 CE (Capillays 2), CE (V8, Helena), AGE (SPIFE3000, Helena)의 민감도/특이도가 각각 97.4%/57.6%, 92.3%/72.2%, 89.9%/75.4%로 나타났다. 2008년 McCudden 등은 CE (Capillarys 2, Sebia), AGE (Hydrasys, Sebia)의 민감도/특이도를 각각 92%/74%, 91%/81%로 보고하였다[20]. 본 연구와 기존 연구들 간의 민감도 및 특이도 차이는 여러 요인에 기인할 것으로 추정된다. 첫째, 연구에 포함된 M단백 농도 범위의 차이가 있다. 둘째, 분석 장비, 시약, 그리고 참고기준의 차이가 있다. 본 연구는 CE IT를 참고기준으로 사용한 반면, 이전 연구들은 AGE IFE를 사용하였다. 또한, 연구에 따라 검체 보관 방법이 달랐으나[19], 본 연구에서 5개의 검체를 냉장 및 냉동 조 건에서 4주간 보관하며 검사한 추가분석 결과, 보관 온도 조건과 기간에 따른 측정값의 차이는 크지 않았다(Supplement Table 1).
한편 M단백 뿐 아니라 그 외 단백질 분획의 정량화 역시 중요하다. 2018년 Canadian Society of Clinical Chemists Monoclonal Gammopathy Working Group (CSCC MGWG)의 합의 기준에 따르면, 단백 전기영동 보고서에는 단백질 분획의 정량 분석이 포함되어야 한다[31]. 이는 저감마글로불린혈증에서 M단백 식별을 용이하게 하고, 위음성이 의심되는 검체에 대해 추가적인 IFE를 시행할 수 있게 한다[32]. 또한 알부민 감소, 알파-1 및 알파-2 분획 상승, 베타 글로불린 상승 등을 통해 염증, 반응성, 용혈 등 임상적으로 유용한 정보를 제공할 수 있다[32]. 그러나 기존에 AGE와 CE를 비교한 선행연구들[20, 21]은 주로 M단백 결과 위주로만 분석하여 다른 분획에 대한 검사법 간 비교연구는 찾아보기 어렵다.
이번 연구에서 Epalyzer와 Capillarys 3 TERA기기를 이용한 단백질 분획 정량 비교 결과, 단백질 분획별로 두 검사법 간 다양한 차이가 관찰되었다. 혈청 감마 분획과 소변 알파-2 분획에서 두 검사법 간 상관성이 낮았는데 염색 시약과 완충액의 조성 차이가 주요 원인일 수 있다[14]. 이번 연구에서 혈청과 소변의 알파-1 분획은 기존 AGE 방법에 비해 CE 방법에서 상대적으로 높은 값을 나타내었다. 이러한 결과는 선행연구들과 일치하며[13–16, 18], 이는 겔 기반 시스템에서 alpha-1-acid glycoprotein의 높은 시알산(sialic acid) 함량이 염색제와의 결합을 방해하는 것과 관련이 있을 수 있다[14–16, 18]. 혈청과 소변의 베타 글로불린 분획은 상대적으로 낮은 상관계수 값을 보였는데, 이는 이전 연구들과 일치하며[13, 14, 17], CE 검사에서 베타-1 분획과 베타-2 분획을 분리하여 계산하는 방식, 완충액 구성의 차이, 그리고 베타 분획에 대한 헤모펙신(hemopexin) 통합 등이 원인일 수 있다[14]. 혈청과 소변의 감마 글로불린 분획의 상관계수도 상대적으로 낮게 나타났으며, 이는 완충액 구성의 차이, 특히 면역글로불린 A 성분이 어느 분획에 위치하는지에 따라 감마 글로불린 값이 영향을 받을 수 있다는 이전 연구 결과와 일치한다[14].
이번 연구는 기존 연구와 달리 소변 검체도 포함시켜 평가하였다. 이는 UPEP 검사의 임상적 중요성을 고려한 것으로, UPEP 검사를 병행하면 SPEP 검사만으로는 놓칠 수 있는 환자를 식별할 수 있다. 2016년 출간된 IMWG (International Myeloma Working Group) 합의 기준에서도 진단 및 반응평가에 UPEP와 소변 IFE를 권장하고 있으며[33], 전신성 면역글로불린 경쇄 아밀로이드증(systemic immunoglobulin light-chain amyloidosis) 진단 및 반응평가에도 소변 IFE가 필요하다[34]. NCCN 가이드라인[3]에서는 MM의 진단과 추적관찰에 24시간 소변 검체를 표준 검체로 권장하고 있으며, 보존제로 사용되는 톨루엔은 여러 분석물질(칼슘, 마그네슘, 나트륨, 인산염, 요산, 옥살산염)의 측정값에 영향을 미치지 않는다고 보고되었다[35]. 본 연구에서 24시간 요검체와 무작위단회뇨의 M단백 정량값을 비교한 결과, 24시간 요검체에 비해 무작위단회뇨의 M단백 정량값이 높게 나타났다. 이는 소변의 M단백 측정 시 검체 종류에 따라 결과가 달라질 수 있음을 시사한다.
본 연구에는 몇 가지 제한점이 존재한다. 검사법 평가 과정에서 정량 한계와 검출 한계를 평가하지 않았으며, 별도의 알부민 정량 검사 등을 통한 참값과의 비교 분석은 수행하지 못하였다.
저자들은 이번 연구에서 Capillarys 3 TERA 장비의 성능을 종합적으로 평가하였다. Capillarys 3 TERA는 우수한 정밀도, 직선성 및 낮은 교차오염률을 보였으며, M단백 검출의 일치도, 민감도, 특이도 모두 우수하였다. 다만 각 분획의 정량 결과는 Epalyzer와 차이가 있어 검사법 변경시 주의가 필요하다. 추가적으로, 24시간 요검체와 무작위단회뇨의 결과값이 차이가 있음을 확인하였다. 이러한 평가결과는 Capillarys 3 TERA 시스템 도입을 고려하는 임상검사실에 유용한 참고자료가 될 것으로 기대한다.
REFERENCES
1. Park WJ, Park JH, Cho S, Shin MG. 2021; Twenty-year incidence trend of hematologic malignancies in the Republic of Korea: 1999-2018. Blood Res. 56:301–14. DOI: 10.5045/br.2021.2021187. PMID: 34880144. PMCID: PMC8721445.

2. Son AY, Chung HW. 2023; Imaging for Multiple Myeloma according to the Recent International Myeloma Working Group Guidelines: Analysis of Image Acquisition Techniques and Response Evaluation in Whole-Body MRI according to MY-RADS. J Korean Soc Radiol. 84:150–69. DOI: 10.3348/jksr.2021.0179. PMID: 36818702. PMCID: PMC9935955.

3. National Comprehensive Cancer Network (NCCN). NCCN Clinical Practice Guidelines in Oncology (NCCN Guidelines®) for Multiple Myeloma. Version 1.2025. https://www.nccn.org/guidelines/category_1. 2024, accessed 12 November 2024.
4. The International Myeloma Working Group. 2003; Criteria for the classification of monoclonal gammopathies, multiple myeloma and related disorders: a report of the International Myeloma Working Group. Br J Haematol. 121:749–57. DOI: 10.1046/j.1365-2141.2003.04355.x.
5. Turner KA, Frinack JL, Ettore MW, Tate JR, Graziani MS, Jacobs JFM, et al. 2020; An international multi-center serum protein electrophoresis accuracy and M-protein isotyping study. Part I: factors impacting limit of quantitation of serum protein electrophoresis. Clin Chem Lab Med CCLM. 58:533–46. DOI: 10.1515/cclm-2019-1104. PMID: 31940284.

6. Bazydlo Lindsay A.L., Landers James P.. 2017. Chapter 15. Electrophoresis. Tietz Textbook of Clinical Chemistry and Molecular Diagnostics. Elsevier Inc.;St. Louis, Missouri, United States: p. 250.
7. Health Insurance Review, Assessment Service (HIRA). HIRA Big Data Open Portal. https://opendata.hira.or.kr/home.do. accessed 21 August 2024.
8. Satish Ramanathan, Chakravarthy Narasimhachar Srinivas. Serum Protein Electrophoresis and Its Clinical Applications. https://www.intechopen.com/chapters/69537. accessed 21 August 2024.
9. Pallet N, Bastard J-P, Claeyssens S, Fellahi S, Delanaye P, Piéroni L, et al. 2019; Proteinuria typing: how, why and for whom? Ann Biol Clin (Paris). 77:13–25. DOI: 10.1684/abc.2018.1401. PMID: 30799294.

10. Cho J, Lee DH, Rim JH, Lee S-G, Kim Y, Kim J-H. 2022; Current Status of Serum Protein and Immunofixation Electrophoresis from 29 Hospitals in Korea. Lab Med Online. 12:91–9. DOI: 10.47429/lmo.2022.12.2.91.

11. Genzen JR, Murray DL, Abel G, Meng QH, Baltaro RJ, Rhoads DD, et al. 2018; Screening and Diagnosis of Monoclonal Gammopathies: An International Survey of Laboratory Practice. Arch Pathol Lab Med. 142:507–15. DOI: 10.5858/arpa.2017-0128-CP. PMID: 29266967.

12. College of American Pathologists (CAP). 2023. CAP 2023 SPE-B Participant Summary. College of American Pathologists.
13. Gay-Bellile C, Bengoufa D, Houze P, Le Carrer D, Benlakehal M, Bousquet B, et al. 2003; Automated Multicapillary Electrophoresis for Analysis of Human Serum Proteins. Clin Chem. 49:1909–15. DOI: 10.1373/clinchem.2003.017756. PMID: 14578323.

14. Chartier C, Boularan AM, Dupuy AM, Badiou S, Bargnoux AS, Cognot C, et al. 2011; Evaluation of two automated capillary electrophoresis systems for human serum protein analysis. Clin Biochem. 44:1473–9. DOI: 10.1016/j.clinbiochem.2011.05.022. PMID: 21664899.

15. Bossuyt Xavier, Schiettekatte Gilberte, Bogaerts Ann, Blanckaert Norbert. 1998; Serum protein electrophoresis by CZE 2000 clinical capillary electrophoresis system. Clin Chem. 44:749–59. DOI: 10.1093/clinchem/44.4.749. PMID: 9554485.

16. Bossuyt X, Lissoir B, Mariën G, Maisin D, Vunckx J, Blanckaert N, et al. 2003; Automated Serum Protein Electrophoresis by Capillarys®. 41:704–10. DOI: 10.1515/CCLM.2003.107.
17. Roudiere L, Boularan AM, Bonardet A, Vallat C, Cristol JP, Dupuy AM. 2006; Evaluation of a capillary zone electrophoresis system versus a conventional agarose gel system for routine serum protein separation and monoclonal component typing. Clin Lab. 52:19–27.
18. Howard BM, Kuh A, Rezavi L, Caturegli P. 2021; A Comparison of gel (Hydragel 30) and capillary (Capillarys III Tera) electrophoresis for the characterization of human serum proteins. Pract Lab Med. 25:e00233. DOI: 10.1016/j.plabm.2021.e00233. PMID: 34095418. PMCID: PMC8145771.

19. Poisson J, Fedoriw Y, Henderson MPA, Hainsworth S, Tucker K, Uddin Z, et al. 2012; Performance evaluation of the Helena V8 capillary electrophoresis system. Clin Biochem. 45:697–9. DOI: 10.1016/j.clinbiochem.2012.03.018. PMID: 22465274.

20. McCudden CR, Mathews SP, Hainsworth SA, Chapman JF, Hammett-Stabler CA, Willis MS, et al. 2008; Performance comparison of capillary and agarose gel electrophoresis for the identification and characterization of monoclonal immunoglobulins. Am J Clin Pathol. 129:451–8. DOI: 10.1309/6KT8N49BRNVVVBT1. PMID: 18285269.

21. Yang Z, Harrison K, Park YA, Chaffin CH, Thigpen B, Easley PL, et al. 2007; Performance of the Sebia CAPILLARYS 2 for detection and immunotyping of serum monoclonal paraproteins. Am J Clin Pathol. 128:293–9. DOI: 10.1309/1L3CG8GK6F8VYNYH. PMID: 17638665.

22. Tate J, Caldwell G, Daly J, Gillis D, Jenkins M, Jovanovich S, et al. 2012; Recommendations for standardized reporting of protein electrophoresis in Australia and New Zealand. Ann Clin Biochem. 49:242–56. DOI: 10.1258/acb.2011.011158. PMID: 22402916.

23. Doris M. 2017. Chapter 4. Specimen Collection and Processing. Tietz Textbook of Clinical Chemistry and Molecular Diagnostics. Elsevier Inc.;St. Louis, Missouri, United States: p. 74.
24. Clinical, Laboratory Standards Institute. 2014. User Verification of Precision and Estimation of Bias; Approved Guideline-Third Edition (EP15-A3). CLSI document EP15-A3. Clinical and Laboratory Standards Institute;Wayne, PA:
25. Clinical, Laboratory Standards Institute. 2020. Evaluation of Linearity of Quantitative Measurement Procedures. CLSI document EP06-Ed2. Clinical and Laboratory Standards Institute;Wayne, PA:
26. Clinical, Laboratory Standards Institute. 2022. User Verification of Linearity Workbook. Clinical and Laboratory Standards Institute;Wayne, PA: DOI: 10.1007/0-387-28094-4_7.
27. Department of Health, Human Services, Centers for Medicare, Medicaid Services. REVISED: Final Rule - Clinical Laboratory Improvement Amendments of 1988 (CLIA) Proficiency Testing - Analytes and Acceptable Performance Final Rule (CMS-3355-F). QSO-24-15-CLIA, enters for Medicare & Medicaid Services. https://www.cms.gov/medicare/health-safety-standards/quality-safety-oversight-general-information/policy-memos-states/revised-final-rule-clinical-laboratory-improvement-amendments-1988-clia-proficiency-testing-analytes. 8 July 2024, accessed 12 November 2024.
28. Clinical, Laboratory Standards Institute. 2023. User Protocol for Evaluation of Qualitative Test Performance; Approved Guideline-Third Edition. CLSI document EP12-ED3. Clinical and Laboratory Standards Institute;Wayne, PA:
29. Jenkins MA, Kulinskaya E, Martin HD, Guerin MD. 1995; Evaluation of serum protein separation by capillary electrophoresis: prospective analysis of 1000 specimens. J Chromatogr B Biomed Appl. 672:241–51. DOI: 10.1016/0378-4347(95)00224-7. PMID: 8581130.

30. Petersen JR, Okorodudu AO, Mohammad A, Payne DA. 2003; Capillary electrophoresis and its application in the clinical laboratory. Clin Chim Acta Int J Clin Chem. 330:1–30. DOI: 10.1016/S0009-8981(03)00006-8. PMID: 12636924.

31. Booth RA, McCudden CR, Balion CM, Blasutig IM, Bouhtiauy I, Rodriguez-Capote K, et al. 2018; Candidate recommendations for protein electrophoresis reporting from the Canadian Society of Clinical Chemists Monoclonal Gammopathy Working Group. Clin Biochem. 51:10–20. DOI: 10.1016/j.clinbiochem.2017.10.013. PMID: 29061378.

32. Chan PC, Chen J. 2015; Value of reflex testing based on hypogammaglobulinemia as demonstrated in serum protein electrophoresis. Clin Biochem. 48:674–8. DOI: 10.1016/j.clinbiochem.2015.03.014. PMID: 25828046.

33. Kumar S, Paiva B, Anderson KC, Durie B, Landgren O, Moreau P, et al. 2016; International Myeloma Working Group consensus criteria for response and minimal residual disease assessment in multiple myeloma. Lancet Oncol. 17:e328–46. DOI: 10.1016/S1470-2045(16)30206-6. PMID: 27511158.

34. Comenzo RL, Reece D, Palladini G, Seldin D, Sanchorawala V, Landau H, et al. 2012; Consensus guidelines for the conduct and reporting of clinical trials in systemic light-chain amyloidosis. Leukemia. 26:2317–25. DOI: 10.1038/leu.2012.100. PMID: 22475872.

35. Wu Wenqi, Yang Dong, Tiselius Hans-Goran, Ou Lili, Mai Zanlin, Chen Kang, et al. Collection and storage of urine specimens for measurement of urolithiasis risk factors. https://d.docksci.com/collectionand-storage-of-urine-specimens-for-measurement-of-urolithiasis-riskf_5a6953c2d64ab273f2be6f97.html. accessed 21 August 2024.
Fig. 1
Linearity evaluation of M-protein. (A) Comparison of measured and expected data with the fitted line. (B) Comparison of allowable deviation from linearity (ADL) and percentage deviation from linearity.
Fig. 2
Passing-Bablok regression analysis of serum protein electrophoresis results comparing Epalyzer and Capillarys 3 TERA.
Abbreviation: M-protein, monoclonal protein.
Fig. 3
Passing-Bablok regression analysis of urine protein electrophoresis results comparing Epalyzer and Capillarys 3 TERA.
Abbreviation: M-protein, monoclonal protein.
Fig. 4
Comparison of M-protein levels between 24hr urine preserved with toluene and random urine. Bias was calculated as (Random urine M-protein − 24hr urine M-protein) for each sample. Percent bias was calculated as 100 × (Random urine M-protein − 24hr urine M-protein) / 24hr urine M-protein. The y-axis for percent bias was set to 500 for visualization purposes. One outlier (value: 900.0) was removed from the percent bias analysis.
Abbreviation: M-protein, monoclonal protein.
Table 1
Precision of Capillarys 3 TERA electrophoresis



PDF
Citation
Print



XML Download