Abstract
Backgrounds/Aims
Methods
Results
Notes
Acknowledgements
This study was conducted as part of the project of the Committee for Primary Liver Cancer Registry of the Korean Liver Cancer Association and the Korea Central Cancer Registry.
Conflicts of Interest
Young Chang is an editorial board member of Journal of Liver Cancer, and was not involved in the review process of this article. Otherwise, the authors have no conflicts of interest to disclose.
Ethics Statement
The Institutional Review Board (IRB) of Hanyang University Guri Hospital decided to waive the need for IRB approval and written informed consent (IRB No. 2024-02-010) because the KPLCR data were collected anonymously as part of the KCCR in accordance with the Cancer Control Act.
Author Contributions
Conceptualization: JA, YC, GHC, HYJ, BHK
Data curation: JA, KWJ, EHP, EK, BHK
Formal analysis: JA, BHK
Investigation: BHK
Project administration: BHK
Supervision: YC, WS, GHC, HS, JWH
Validation: JA, JHY, HYJ, JYC, BHK
Visualization: WS, JSY, EJC, SKH, BHK
Writing - original draft: JA, BHK
Writing - review & editing: JA, YC, GHC, WS, JES, HS, JHY, JSY, HYJ, EJC, JWH, SKH, JYC, KWJ, EHP, EK, BHK
Supplementary Material
References
Figure 1.
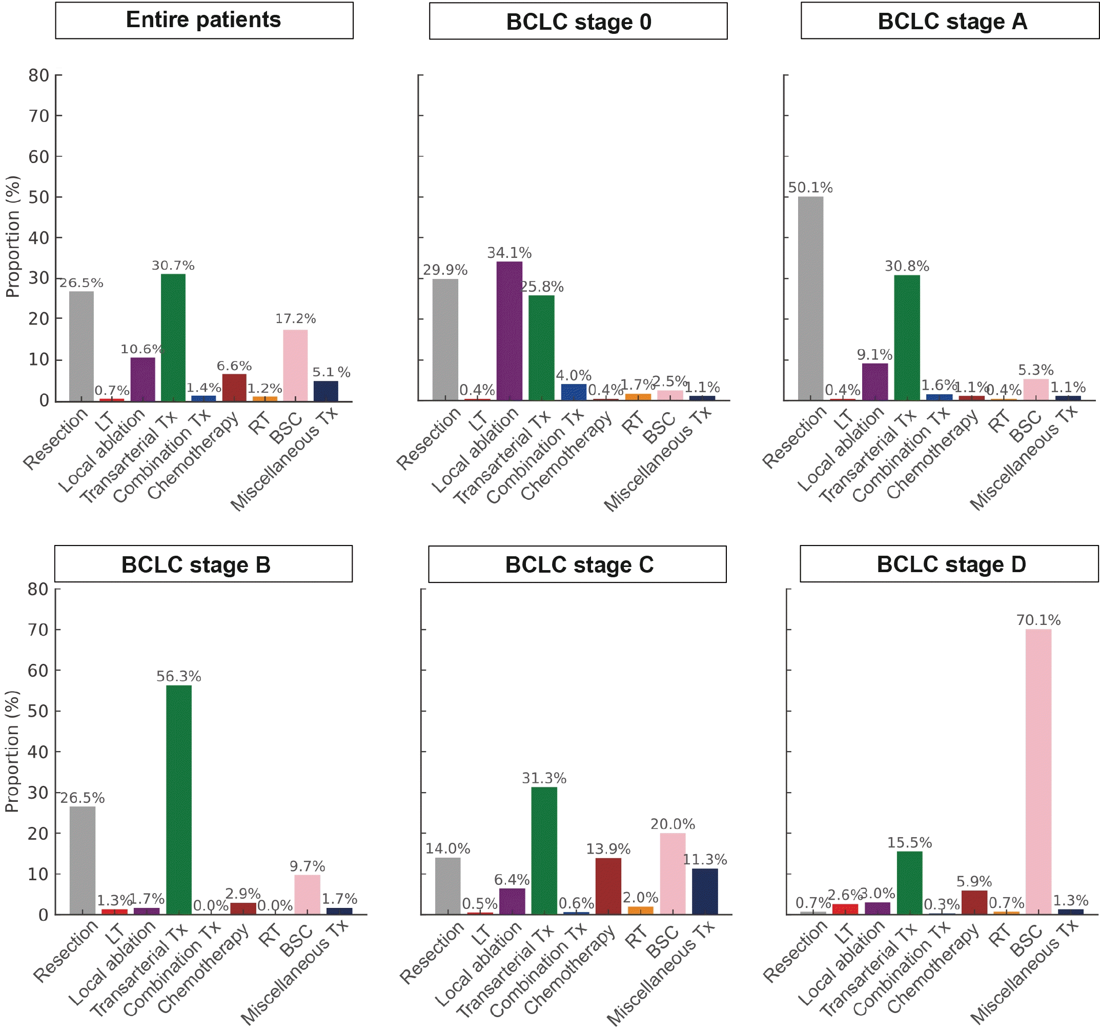
Figure 2.
Figure 3.
Table 1.
| Variable | Total | 2016 | 2017 | 2018 | P-value |
|---|---|---|---|---|---|
| Year | |||||
| Number of patients | 4,462 | 1,500 | 1,491 | 1,471 | - |
| Demographic variable | |||||
| Age (years) | 63 (55-72) | 63 (55-72) | 63 (56-73) | 63 (55-72) | 0.247 |
| Male | 3,554 (79.7) | 1,184 (78.9) | 1,196 (80.2) | 1,174 (79.8) | 0.673 |
| Diabetes | 1,362 (30.7) | 459 (30.9) | 435 (29.4) | 468 (32.0) | 0.309 |
| Hypertension | 1,786 (40.3) | 596 (40.2) | 584 (39.4) | 606 (41.5) | 0.503 |
| BMI (kg/m2) | 24.0 (21.8-26.2) | 23.9 (21.9-26.0) | 24.0 (21.8-26.4) | 24.0 (21.8-26.2) | 0.733 |
| Smoking habitus | 2,026 (45.9) | 653 (44.9) | 684 (46.2) | 679 (46.5) | 0.631 |
| Etiology | 0.042 | ||||
| HBV* | 2,485 (55.7) | 839 (55.9) | 826 (55.4) | 820 (55.7) | |
| HCV | 442 (9.9) | 170 (11.3) | 137 (9.2) | 135 (9.2) | |
| Alcohol | 772 (17.3) | 242 (16.1) | 288 (19.3) | 242 (16.5) | |
| Others | 763 (17.1) | 249 (16.6) | 240 (16.1) | 274 (18.6) | |
| Liver cirrhosis | 3,131 (71.0) | 1,083 (72.7) | 1,034 (70.1) | 1,014 (70.1) | 0.199 |
| ECOG PS | 0.028 | ||||
| PS 0 | 2,142 (66.8) | 737 (67.3) | 650 (63.5) | 755 (69.5) | |
| PS 1 | 761 (23.7) | 253 (23.1) | 266 (26.0) | 242 (22.3) | |
| PS 2 | 170 (5.3) | 60 (5.5) | 66 (6.4) | 44 (4.0) | |
| PS 3 | 85 (2.7) | 23 (2.1) | 31 (3.0) | 31 (2.9) | |
| PS 4 | 48 (1.5) | 22 (2.0) | 11 (1.1) | 15 (1.4) | |
| Ascites | 0.011 | ||||
| None | 3,341 (75.3) | 1,089 (73.2) | 1,146 (77.1) | 1,106 (75.6) | |
| Mild | 680 (15.3) | 230 (15.5) | 212 (14.3) | 238 (16.3) | |
| Moderate to severe | 414 (9.3) | 168 (11.3) | 128 (8.6) | 118 (8.1) | |
| Encephalopathy | 0.211 | ||||
| None | 4,354 (97.6) | 1,468 (97.9) | 1,451 (97.4) | 1,435 (97.6) | |
| Grade 1-2 | 80 (1.8) | 25 (1.7) | 25 (1.7) | 30 (2.0) | |
| Grade 3-4 | 26 (0.6) | 7 (0.5) | 14 (0.9) | 5 (0.3) | |
| Laboratory variable | |||||
| Total bilirubin (mg/dL) | 0.9 (0.6-1.4) | 0.9 (0.6-1.5) | 0.9 (0.6-1.3) | 0.9 (0.6-1.4) | 0.089 |
| Albumin (g/dL) | 3.9 (3.4-4.3) | 3.8 (3.3-4.2) | 3.9 (3.4-4.3) | 4.0 (3.5-4.4) | <0.001 |
| ALT (IU/L) | 32 (21-54) | 33 (21-55) | 32 (21-54) | 31 (21-52) | 0.771 |
| Platelet count (109/L) | 153 (107-208) | 145 (101-206) | 155 (108-210) | 157 (111-211) | 0.015 |
| INR | 1.1 (1.0-1.2) | 1.1 (1.0-1.2) | 1.1 (1.0-1.2) | 1.1 (1.0-1.2) | <0.001 |
| Creatinine (mg/dL) | 0.8 (0.7-1.0) | 0.8 (0.7-1.0) | 0.9 (0.7-1.0) | 0.8 (0.7-1.0) | 0.588 |
| Sodium (mmol/L) | 139.0 (136.2-141.0) | 139.0 (136.0-141.0) | 139.0 (137.0-141.0) | 139.0 (137.0-141.0) | 0.036 |
| CTP class | 0.003 | ||||
| CTP A | 3,210 (74.8) | 1,021 (71.1) | 1,105 (76.8) | 1,084 (76.6) | |
| CTP B | 864 (20.1) | 333 (23.2) | 267 (18.6) | 264 (18.7) | |
| CTP C | 216 (5.0) | 82 (5.7) | 67 (4.7) | 67 (4.7) | |
| MELD score | 8 (7-11) | 8 (7-11) | 8 (7-11) | 8 (7-10) | <0.001 |
| MELD-Na score | 10 (8-13) | 10 (8-14) | 10 (8-13) | 10 (8-13) | <0.001 |
| Tumor variable | |||||
| AFP (ng/mL) | 20.5 (4.6-423.0) | 27.6 (5.0-527.0) | 21.1 (4.5-382.5) | 16.1 (4.5-340.4) | 0.017 |
| PIVKA-II (mAU/mL) | 107.3 (27.0-2,355.0) | 102.0 (26.1-2,551.5) | 100.3 (26.0-2,194.8) | 117.0 (29.0-2,270.0) | 0.464 |
| Tumor number | 0.607 | ||||
| 1 | 2,811 (63.4) | 930 (62.5) | 950 (64.0) | 931 (63.8) | |
| 2 | 620 (14.0) | 214 (14.4) | 215 (14.5) | 191 (13.1) | |
| 3 | 174 (3.9) | 52 (3.5) | 57 (3.8) | 65 (4.5) | |
| 4 | 53 (1.2) | 15 (1.0) | 17 (1.1) | 21 (1.4) | |
| ≥5 | 773 (17.4) | 276 (18.6) | 245 (16.5) | 252 (17.3) | |
| Maximal tumor diameter (cm) | 3.3 (2.0-6.9) | 3.3 (2.0-6.8) | 3.2 (2.0-7.0) | 3.4 (2.0-6.8) | 0.899 |
| Portal vein invasion | 994 (22.4) | 330 (22.2) | 349 (23.5) | 315 (21.6) | 0.444 |
| Hepatic vein invasion | 226 (5.1) | 76 (5.1) | 67 (4.5) | 83 (5.7) | 0.351 |
| Bile duct invasion | 130 (2.9) | 45 (3.0) | 44 (3.0) | 41 (2.8) | 0.933 |
| Lymph node metastasis | 258 (5.8) | 99 (6.7) | 85 (5.7) | 74 (5.1) | 0.173 |
| Distant metastasis | 418 (9.4) | 163 (11.0) | 129 (8.7) | 126 (8.6) | 0.044 |
| Modified UICC stage | 0.137 | ||||
| Stage I | 749 (16.9) | 238 (16.1) | 254 (17.1) | 257 (17.6) | |
| Stage II | 1,679 (38.0) | 567 (38.3) | 554 (37.3) | 558 (38.3) | |
| Stage III | 1,102 (24.9) | 377 (25.5) | 378 (25.5) | 347 (23.8) | |
| Stage IV-A | 477 (10.8) | 137 (9.3) | 169 (11.4) | 171 (11.7) | |
| Stage IV-B | 414 (9.4) | 160 (10.8) | 129 (8.7) | 125 (8.6) | |
| BCLC stage | 0.019 | ||||
| BCLC 0 | 479 (14.9) | 172 (15.5) | 141 (13.9) | 166 (15.3) | |
| BCLC A | 925 (28.8) | 309 (27.9) | 268 (26.4) | 348 (32.0) | |
| BCLC B | 240 (7.5) | 97 (8.8) | 72 (7.1) | 71 (6.5) | |
| BCLC C | 1,250 (39.0) | 413 (37.3) | 436 (43.0) | 401 (36.9) | |
| BCLC D | 314 (9.8) | 116 (10.5) | 97 (9.6) | 101 (9.3) |
Values were presented as number (%) for categorical variables and as median (interquartile range) for continuous variables. Data were missing for the following variables: diabetes (n=30), hypertension (n=34), BMI (n=293), smoking habitus (n=44), liver cirrhosis (n=50), ECOG PS (n=1,256), ascites (n=27), encephalopathy (n=2), total bilirubin (n=103), albumin (n=105), ALT (n=95), platelet count (n=119), INR (n=155), creatinine (n=112), sodium (n=214), CTP class (n=172), MELD score (n=244), MELD-Na score (n=244), AFP (n=333), PIVKA-II (n=913), tumor number (n=32), tumor size (n=238)†, portal vein invasion (n=33), hepatic vein invasion (n=35), bile duct invasion (n=35), lymph node metastasis (n=33), distant metastasis (n=34), modified UICC stage (n=41), and BCLC stage (n=1,254).
BMI, body mass index; HBV, hepatitis B virus; HCV, hepatitis C virus; ECOG PS, Eastern Cooperative Oncology Group performance status; ALT, alanine aminotransferase; INR, international normalized ratio; CTP, Child-Turcotte-Pugh; MELD, model for end-stage liver disease; AFP, alpha-fetoprotein; PIVKA-II, protein induced by vitamin K absence or antagonist-II; UICC, Union for International Cancer Control; BCLC, Barcelona Clinic Liver Cancer.
Table 2.
| Treatment modality | Total (n=4,389) | 2016 (n=1,473) | 2017 (n=1,469) | 2018 (n=1,447) |
|---|---|---|---|---|
| Surgical resection | 1,095 (24.9) | 346 (23.5) | 358 (24.4) | 391 (27.0) |
| Liver transplantation | 40 (0.9) | 10 (0.7) | 14 (1.0) | 16 (1.1) |
| Local ablation therapy | 460 (10.5) | 154 (10.5) | 169 (11.5) | 137 (9.5) |
| Radiofrequency ablation | 435 | 147 | 160 | 128 |
| Percutaneous ethanol injection | 7 | 2 | 3 | 2 |
| Others | 18 | 5 | 6 | 7 |
| Transarterial therapy | 1,393 (31.7) | 468 (31.8) | 471 (32.1) | 454 (31.4) |
| Conventional TACE | 1,208 | 435 | 419 | 354 |
| TACE with drug-eluting beads | 124 | 2 | 30 | 74 |
| Radioembolization | 37 | 7 | 14 | 16 |
| Hepatic arterial infusion chemotherapy | 24 | 6 | 8 | 10 |
| Combination therapy* | 60 (1.4) | 21 (1.4) | 20 (1.4) | 19 (1.3) |
| Systemic chemotherapy | 267 (6.1) | 82 (5.6) | 85 (5.8) | 99 (6.8) |
| Sorafenib | 242 | 76 | 77 | 89 |
| Other systemic agents | 25 | 6 | 8 | 10 |
| Radiation therapy | 53 (1.2) | 12 (0.8) | 21 (1.4) | 20 (1.4) |
| Miscellaneous therapy† | 190 (4.3) | 64 (4.3) | 63 (4.3) | 63 (4.4) |
| Best supportive care | 831 (18.9) | 316 (21.5) | 268 (18.2) | 247 (17.1) |
Table 3.
| Variable | Patients | Median OS (years) | Year 1 | Year 2 | Year 3 | Year 4 | Year 5 |
|---|---|---|---|---|---|---|---|
| All patients | 4,462 (100.0) | 3.72 (3.47-4.14) | 71.3 (70.0-72.6) | 61.2 (59.8-62.7) | 54.2 (52.7-55.6) | 48.9 (47.5-50.4) | 44.4 (42.9-45.9) |
| Year of diagnosis (n=4,462) | |||||||
| 2016 | 1,500 (33.6) | 3.41 (2.90-3.89) | 69.5 (67.2-71.8) | 60.0 (57.6-62.5) | 52.1 (49.6-54.7) | 46.7 (44.3-49.3) | 42.7 (40.3-45.3) |
| 2017 | 1,491 (33.4) | 4.16 (3.51-4.67) | 71.8 (69.6-74.2) | 62.2 (59.8-64.7) | 56.0 (53.5-58.6) | 50.4 (47.8-53.0) | 45.2 (42.7-47.8) |
| 2018 | 1,471 (33.0) | 3.84 (3.38-4.70) | 72.6 (70.4-74.9) | 61.5 (59.0-64.0) | 54.5 (52.0-57.1) | 49.7 (47.2-52.3) | 44.2 (40.6-48.0) |
| Age at diagnosis, years (n=4,462) | |||||||
| <40 | 79 (1.8) | NR | 69.6 (60.2-80.5) | 62.0 (52.2-73.7) | 59.5 (49.6-71.4) | 57.0 (47.0-69.0) | 55.5 (45.5-67.7) |
| 40-49 | 435 (9.7) | 5.10 (3.74-NR) | 70.3 (66.2-74.8) | 63.0 (58.6-67.7) | 58.2 (53.7-63.0) | 54.5 (50.0-59.4) | 50.3 (45.8-55.3) |
| 50-59 | 1,245 (27.9) | 4.68 (3.92-5.22) | 70.5 (68.0-73.1) | 61.1 (58.5-63.9) | 56.4 (53.7-59.2) | 52.4 (49.7-55.3) | 48.1 (45.4-51.0) |
| 60-69 | 1,325 (29.7) | 5.02 (4.44-5.57) | 76.2 (74.0-78.6) | 67.2 (64.7-69.7) | 59.4 (56.8-62.1) | 54.4 (51.8-57.2) | 50.0 (47.4-52.9) |
| 70-79 | 1,017 (22.8) | 3.03 (2.72-3.37) | 71.1 (68.4-73.9) | 59.6 (56.6-62.7) | 50.3 (47.4-53.5) | 43.0 (40.0-46.1) | 37.3 (34.4-40.5) |
| ≥80 | 361 (8.1) | 1.47 (1.16-1.80) | 57.9 (53.0-63.2) | 41.8 (37.0-47.2) | 32.1 (27.7-37.3) | 24.9 (20.8-29.8) | 21.2 (17.3-26.0) |
| Sex (n=4,462) | |||||||
| Male | 3,554 (79.7) | 3.46 (3.21-3.81) | 70.5 (69.0-72.0) | 60.1 (58.5-61.8) | 52.8 (51.2-54.5) | 47.6 (46.0-49.3) | 43.0 (41.4-44.7) |
| Female | 908 (20.3) | 4.88 (4.31-6.16) | 74.6 (71.8-77.4) | 65.4 (62.4-68.6) | 59.5 (56.4-62.8) | 54.1 (50.9-57.4) | 49.8 (46.6-53.2) |
| Etiology (n=4,462) | |||||||
| HBV | 2,485 (55.7) | 5.00 (4.48-5.68) | 71.3 (69.5-73.1) | 62.7 (60.8-64.6) | 57.3 (55.4-59.3) | 53.7 (51.8-55.7) | 50.0 (48.0-52.0) |
| HCV | 442 (9.9) | 3.49 (2.98-4.28) | 77.8 (74.1-81.8) | 63.6 (59.2-68.2) | 54.3 (49.8-59.1) | 46.6 (42.2-51.5) | 39.8 (35.4-44.8) |
| Alcohol | 772 (17.3) | 2.84 (2.45-3.31) | 70.1 (66.9-73.4) | 58.3 (54.9-61.9) | 48.7 (45.3-52.4) | 41.4 (38.0-45.0) | 37.0 (33.7-40.7) |
| Others | 763 (17.1) | 2.83 (2.53-3.32) | 68.8 (65.6-72.2) | 57.9 (54.5-61.5) | 49.4 (46.0-53.1) | 42.2 (38.8-45.9) | 36.2 (32.9-39.9) |
| CTP class (n=4,290) | |||||||
| CTP A | 3,210 (74.8) | 6.00 (5.62-6.26) | 82.3 (81.0-83.6) | 72.3 (70.8-73.9) | 65.2 (63.6-66.9) | 59.7 (58.0-61.4) | 54.9 (53.1-56.7) |
| CTP B | 864 (20.1) | 0.68 (0.57-0.90) | 44.6 (41.4-48.0) | 33.6 (30.6-36.9) | 25.9 (23.2-29.0) | 21.1 (18.5-24.0) | 17.1 (14.7-19.9) |
| CTP C | 216 (5.0) | 0.17 (0.14-0.22) | 20.8 (16.1-27.0) | 15.3 (11.2-20.9) | 13.9 (10.0-19.4) | 12.0 (8.4-17.3) | 10.4 (7.0-15.5) |
| AFP, ng/mL (n=4,130) | |||||||
| <20.0 | 2,048 (49.6%) | 6.25 (5.91-NR) | 86.6 (85.1-88.1) | 77.5 (75.8-79.4) | 70.0 (68.0-72.0) | 63.8 (61.8-65.9) | 58.0 (55.8-60.2) |
| 20.0-199.9 | 853 (20.7%) | 4.11 (3.46-4.98) | 75.5 (72.7-78.4) | 63.9 (60.7-67.2) | 55.8 (52.6-59.2) | 50.5 (47.4-54.0) | 46.3 (43.1-49.9) |
| ≥200.0 | 1,229 (29.8%) | 0.76 (0.65-0.89) | 45.2 (42.5-48.1) | 34.2 (31.6-36.9) | 29.0 (26.5-31.6) | 25.5 (23.2-28.1) | 23.2 (20.9-25.7) |
| Modified UICC stage (n=4,421) | |||||||
| Stage I | 749 (16.9) | NR | 94.8 (93.2-96.4) | 89.7 (87.6-91.9) | 84.0 (81.4-86.6) | 78.6 (75.7-81.6) | 73.4 (70.3-76.8) |
| Stage II | 1,679 (38.0) | 6.67 (6.24-NR) | 89.2 (87.7-90.7) | 80.0 (78.2-82.0) | 72.5 (70.4-74.7) | 66.4 (64.2-68.7) | 60.8 (58.4-63.2) |
| Stage III | 1,102 (24.9) | 2.23 (2.02-2.56) | 68.1 (65.4-70.9) | 53.0 (50.1-56.0) | 43.5 (40.6-46.5) | 37.4 (34.6-40.4) | 32.4 (29.7-35.4) |
| Stage IV-A | 477 (10.8) | 0.43 (0.39-0.52) | 28.3 (24.5-32.6) | 17.4 (14.3-21.2) | 13.0 (10.3-16.4) | 8.6 (6.4-11.5) | 6.4 (4.5-9.1) |
| Stage IV-B | 414 (9.4) | 0.27 (0.23-0.31) | 15.0 (11.9-18.8) | 6.8 (4.7-9.7) | 3.4 (2.0-5.7) | 3.1 (1.8-5.4) | 2.8 (1.6-5.0) |
| BCLC stage (n=3,208) | |||||||
| BCLC 0 | 479 (14.9) | NR | 98.5 (97.5-99.6) | 93.9 (91.8-96.1) | 88.5 (85.7-91.4) | 84.3 (81.2-87.7) | 79.4 (75.7-83.2) |
| BCLC A | 925 (28.8) | NR | 93.9 (92.4-95.5) | 86.9 (84.8-89.1) | 79.8 (77.2-82.4) | 73.7 (70.9-76.6) | 68.3 (65.3-71.5) |
| BCLC B | 240 (7.5) | 3.43 (2.97-4.39) | 82.9 (78.3-87.8) | 67.1 (61.4-73.3) | 55.4 (49.5-62.1) | 44.6 (38.7-51.3) | 40.2 (34.4-47.0) |
| BCLC C | 1,250 (39.0) | 1.35 (1.17-1.58) | 55.3 (52.6-58.1) | 42.6 (39.9-45.4) | 35.0 (32.4-37.7) | 30.4 (28.0-33.1) | 27.4 (25.0-30.0) |
| BCLC D | 314 (9.8) | 0.21 (0.17-0.26) | 22.6 (18.4-27.7) | 15.6 (12.1-20.2) | 13.7 (10.4-18.1) | 10.8 (7.9-14.9) | 8.9 (6.2-12.8) |
| Initial treatment modality (n=4,389) | |||||||
| Surgical resection | 1,095 (24.9) | NR | 94.6 (93.3-96.0) | 90.0 (88.2-91.8) | 85.0 (82.9-87.2) | 81.7 (79.5-84.1) | 78.5 (76.0-81.0) |
| Liver transplantation | 40 (0.9) | NR | 95.0 (88.5-100.0) | 90.0 (81.2-99.8) | 87.5 (77.8-98.4) | 82.5 (71.5-95.2) | 78.9 (66.8-93.3) |
| Local ablation therapy | 460 (10.5) | NR | 96.3 (94.6-98.0) | 89.3 (86.6-92.2) | 84.6 (81.3-87.9) | 80.2 (76.7-83.9) | 74.0 (70.0-78.2) |
| Transarterial therapy | 1,393 (31.7) | 3.49 (3.24-3.74) | 82.1 (80.1-84.1) | 66.7 (64.3-69.2) | 54.7 (52.1-57.4) | 45.6 (43.1-48.3) | 38.6 (36.1-41.3) |
| Combination therapy* | 60 (1.4) | NR | 96.7 (92.2-100.0) | 86.7 (78.5-95.7) | 83.3 (74.4-93.3) | 76.7 (66.7-88.2) | 70.5 (59.4-83.5) |
| Systemic chemotherapy | 267 (6.1) | 0.41 (0.38-0.50) | 20.2 (15.9-25.7) | 8.6 (5.8-12.7) | 6.7 (4.3-10.5) | 5.2 (3.1-8.7) | 5.2 (3.1-8.7) |
| Radiation therapy | 53 (1.2) | 1.38 (0.16-0.25) | 56.6 (44.7-71.7) | 43.4 (31.9-59.0) | 35.8 (25.0-51.4) | 32.1 (21.7-47.5) | 29.6 (19.4-45.2) |
| Miscellaneous therapy† | 190 (4.3) | 1.17 (0.88-1.40) | 53.2 (46.5-60.7) | 32.1 (26.1-39.5) | 22.6 (17.4-29.4) | 17.4 (12.7-23.7) | 13.8 (9.6-19.8) |
| Best supportive care | 831 (18.9) | 0.27 (0.24-0.31) | 25.6 (22.8-28.8) | 19.3 (16.8-22.1) | 15.2 (12.9-17.8) | 12.4 (10.3-14.9) | 10.3 (8.4-12.6) |
Values are presented as number (%) or median (95% CI).
OS, overall survival; NR, not reached; HBV, hepatitis B virus; HCV, hepatitis C virus; CTP, Child-Turcotte-Pugh; AFP, alpha-fetoprotein; UICC, Union for International Cancer Control; BCLC, Barcelona Clinic Liver Cancer; CI, confidence interval.



PDF
Citation
Print



XML Download