Abstract
Backgrounds/Aims
Methods
Results
Notes
Ethics Statement
This study was approved by Institutional Review Board of Catholic Medical Center (IRB No. SC23RISI0231). This study was conducted in accordance with the Helsinki Declaration. Informed consent was not obtained due to the retrospective study design.
Funding Statement
This research was supported by the grant of the Institute of Clinical Medicine Research in Yeouido St. Mary’s Hospital, The Catholic University of Korea.
Data Availability
To protect personal information the raw data on which this study is based is not publicly available.
Author Contributions
Conceptualization: DJC, KYP
Data curation: JL, HG, YS
Formal analysis: JL
Funding acquisition: JL
Investigation: JL, HG
Methodology: JL, HG
Project administration: JL
Resources: JL
Supervision: JL
Visualization: HG
Writing - original draft: JL, HG, YS
Writing - review & editing: DJC, KYP, SKY
Supplementary Material
References
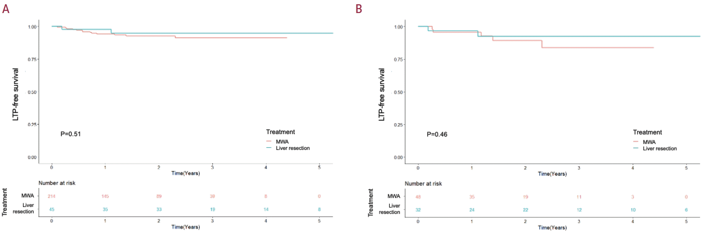
Figure 1.
Figure 2.
Table 1.
| Characteristic | Total (n=178) | MWA (n=134) | Liver resection (n=44) | P-value |
|---|---|---|---|---|
| Demographics | ||||
| Age (years) | 66.9±10.3 | 69.0±9.0 | 60.4±11.3 | <0.001 |
| Male sex | 128 (71.9) | 93 (69.4) | 35 (79.5) | 0.269 |
| Hypertension | 69 (38.8) | 50 (37.3) | 19 (43.2) | 0.607 |
| Diabetes | 54 (30.3) | 40 (29.9) | 14 (31.8) | 0.954 |
| Chronic kidney disease | 9 (5.1) | 8 (6.0) | 1 (2.3) | 0.565 |
| Alcohol consumption | 21 (11.8) | 17 (12.7) | 4 (9.1) | 0.710 |
| Current smoking | 8 (4.5) | 7 (5.2) | 1 (2.3) | 0.689 |
| Etiology of HCC | 0.343 | |||
| HBV | 116 (65.2) | 84 (62.7) | 32 (72.7) | |
| HCV | 24 (13.5) | 18 (13.4) | 6 (13.6) | |
| Others | 38 (21.3) | 32 (23.9) | 6 (13.6) | |
| Laboratory finding | ||||
| Platelets (103/mm3) | 137.5±60.8 | 126.1±57.9 | 172.4±56.5 | <0.001 |
| Prothrombin time (INR) | 1.1±0.1 | 1.1±0.1 | 1.0±0.1 | 0.006 |
| Prothrombin time (%) | 88.2±16.1 | 86.7±16.1 | 92.8±12.7 | 0.022 |
| AST (IU/L) | 40.9±30.4 | 39.3±30.4 | 45.7±30.2 | 0.223 |
| ALT (IU/L) | 34.6±34.7 | 32.5±35.9 | 41.0±30.2 | 0.158 |
| Total bilirubin (mg/dL) | 0.9±0.6 | 0.9±0.7 | 0.7±0.4 | 0.008 |
| Albumin (g/dL) | 3.9±0.7 | 3.8±0.8 | .0±0.4 | 0.027 |
| Creatinine (mg/dL) | 0.9±0.6 | 0.9±0.7 | 0.8±0.2 | 0.084 |
| Sodium (mmol/L) | 138.4±3.4 | 138.5±3.7 | 138.2±2.3 | 0.527 |
| Cholesterol (mg/dL) | 156.0±34.9 | 153.1±35.6 | 165.1±31.4 | 0.053 |
| Cirrhosis | 47 (26.4) | 42 (31.3) | 5 (11.4) | 0.016 |
| Ascites | 10 (5.6) | 9 (6.7) | 1 (2.3) | 0.463 |
| Encephalopathy | 3 (1.7) | 3 (2.2) | 0 (0.0) | 0.744 |
| Varix | 46 (25.8) | 41 (30.6) | 5 (11.4) | 0.020 |
| Tumor feature | ||||
| Number of tumors | 0.030 | |||
| Single | 155 (87.1) | 112 (83.6) | 43 (97.7) | |
| Multiple | 23 (12.9) | 22 (16.4) | 1 (2.3) | |
| Size of tumor (cm) | ||||
| Maximum | 2.6±1.7 | 2.1±1.2 | 3.9±2.4 | <0.001 |
| Sum | 2.9±2.1 | 2.5±1.7 | 4.0±2.9 | 0.002 |
| Bile duct or vessel invasion | 6 (3.4) | 1 (0.7) | 5 (11.4) | 0.004 |
| AFP (ng/mL) | 178.0±706.7 | 99.2±414.5 | 429.5±1,220.4 | 0.092 |
| PIVKA-II (mAU/mL) | 222.6±766.7 | 121.8±397.2 | 619.5±1,462.3 | 0.070 |
| Previous treatment history of the patient* | 101 (56.7) | 89 (66.4) | 12 (27.3) | <0.001 |
| RFA | 51 (28.7) | 50 (37.3) | 1 (2.3) | <0.001 |
| TACE | 88 (49.4) | 77 (57.5) | 11 (25.0) | <0.001 |
| Surgical resection | 9 (5.1) | 8 (6.0) | 1 (2.3) | 0.565 |
Values are presented as mean±standard deviation or number (%).
MWA, microwave ablation; HCC, hepatocellular carcinoma; HBV, hepatitis B virus; HCV, hepatitis C virus; INR, international normalized ratio; AST, alanine aminotransferase; ALT, aspartate aminotransferase; AFP, alpha-fetoprotein; PIVKA-II, protein induced by vitamin K absence/antagonist-II; RFA, radiofrequency ablation; TACE, transarterial chemoembolization.
Table 2.
|
Univariable analysis |
||
|---|---|---|
| HR (95% CI) | P-value | |
| Treatment | ||
| MWA | 1 (reference) | |
| Liver resection | 0.61 (0.14-2.69) | 0.511 |
| Demographics | ||
| Age (years) | 1.02 (0.97-1.07) | 0.554 |
| Male sex | 0.36 (0.08-1.56) | 0.171 |
| Hypertension | 0.49 (0.16-1.52) | 0.219 |
| Diabetes | 0.62 (0.18-2.16) | 0.45 |
| Chronic kidney disease | 0 (0-Inf) | 0.998 |
| Alcohol consumption | 0 (0-Inf) | 0.998 |
| Current smoking | 0 (0-Inf) | 0.998 |
| Etiology of HCC | ||
| HBV | 1 (reference) | |
| HCV | 0.82 (0.18-3.67) | 0.797 |
| Others | 0.60 (0.13-2.68) | 0.504 |
| Laboratory findings | ||
| Platelets (103/mm3) | 1.01 (1.00-1.02) | 0.004 |
| Prothrombin time (%) | 1.01 (0.97-1.04) | 0.701 |
| AST (IU/L) | 0.98 (0.95-1.02) | 0.28 |
| ALT (IU/L) | 0.99 (0.97-1.02) | 0.552 |
| Total bilirubin (mg/dL) | 0.59 (0.18-1.98) | 0.394 |
| Albumin (g/dL) | 1.18 (0.59-2.38) | 0.638 |
| Creatinine (mg/dL) | 1.03 (0.48-2.22) | 0.93 |
| Sodium (mmol/L) | 0.99 (0.86-1.14) | 0.894 |
| Cholesterol (mg/dL) | 1.00 (0.98-1.01) | 0.574 |
| Cirrhosis | 0.44 (0.10-1.96) | 0.284 |
| Tumor features | ||
| Number of tumors | ||
| Single | 1 (reference) | |
| Multiple | 1.01 (0.33-3.15) | 0.983 |
| Maximal size of tumor (cm) | 1.09 (0.80-1.50) | 0.570 |
| Bile duct or vessel invasion | 0 (0-Inf) | 0.998 |
| AFP* (ng/mL) | 1.11 (0.86-1.43) | 0.439 |
| PIVKA-II* (mAU/mL) | 1.25 (0.92-1.71) | 0.157 |
| Previous treatment history of the target nodule | 0.85 (0.24-2.99) | 0.803 |
HR, hazard ratio; CI, confidence interval; MWA, microwave ablation; Inf, infinite; HCC, hepatocellular carcinoma; HBV, hepatitis B virus; HCV, hepatitis C virus; AST, alanine aminotransferase; ALT, aspartate aminotransferase; AFP, alpha-fetoprotein; PIVKA-II, protein induced by vitamin K absence/antagonist-II.
Table 3.
|
Univariable analysis |
Multivariate analysis |
|||
|---|---|---|---|---|
| HR (95% CI) | P-value | HR (95% CI) | P-value | |
| Treatment | ||||
| MWA | 1 (reference) | |||
| Liver resection | 0.63 (0.21-1.88) | 0.403 | 0.88 (0.26-2.97) | 0.832 |
| Demographics | ||||
| Age (years) | 1.05 (1.01-1.10) | 0.025 | 1.02 (0.97-1.07) | 0.516 |
| Male sex | 1.27 (0.51-3.14) | 0.612 | ||
| Hypertension | 0.72 (0.29-1.76) | 0.466 | ||
| Diabetes | 1.44 (0.59-3.48) | 0.423 | ||
| Chronic kidney disease | 2.62 (0.77-8.98) | 0.124 | ||
| Alcohol consumption | 2.02 (0.67-6.05) | 0.211 | ||
| Current smoking | 1.15 (0.15-8.59) | 0.895 | ||
| Etiology of HCC | ||||
| HBV | 1 (reference) | |||
| HCV | 6.1 (2.17-17.17) | 0.001 | 7.17 (2.11-24.32) | 0.002 |
| Others | 3.3 (1.11-9.85) | 0.032 | 2.08 (0.60-7.15) | 0.246 |
| Laboratory findings | ||||
| Platelets (103/mm3) | 0.99 (0.98-1.00) | 0.119 | ||
| Prothrombin time (%) | 0.97 (0.95-0.99) | 0.001 | 0.97 (0.94-0.99) | 0.017 |
| AST (IU/L) | 1.01 (1.00-1.02) | 0.174 | ||
| ALT (IU/L) | 0.99 (0.97-1.01) | 0.336 | ||
| Total bilirubin (mg/dL) | 1.78 (1.08-2.93) | 0.024 | 1.01 (0.50-2.05) | 0.970 |
| Albumin (g/dL) | 0.40 (0.24-0.66) | <0.001 | 0.49 (0.20-1.21) | 0.121 |
| Creatinine (mg/dL) | 0.86 (0.33-2.20) | 0.746 | ||
| Sodium (mmol/L) | 0.93 (0.81-1.06) | 0.279 | ||
| Cholesterol (mg/dL) | 0.99 (0.98-1.01) | 0.372 | ||
| Cirrhosis | 1.78 (0.73-4.38) | 0.208 | ||
| Tumor features | ||||
| Number of tumors | ||||
| Single | 1 (reference) | |||
| Multiple | 1.41 (0.41-4.83) | 0.589 | ||
| Sum of tumor size (cm) | 1.23 (1.04-1.46) | 0.016 | 1.30 (1.08-1.56) | 0.006 |
| Bile duct or vessel invasion | 1.04 (0.13-8.25) | 0.972 | ||
| AFP* (ng/mL) | 1.11 (0.90-1.36) | 0.320 | ||
| PIVKA-II* (mAU/mL) | 1.26 (1.00-1.60) | 0.053 | ||
| Previous treatment history of the patients | 2.08 (0.80-5.36) | 0.131 | ||
Values are presented as hazard ratio (95% confidence interval).
HR, hazard ratio; CI, confidence interval; MWA, microwave ablation; HCC, hepatocellular carcinoma; HBV, hepatitis B virus; HCV, hepatitis C virus; AST, alanine aminotransferase; ALT, aspartate aminotransferase; AFP, alpha-fetoprotein; PIVKA-II, protein induced by vitamin K absence/antagonist-II.



PDF
Citation
Print



XML Download