Abstract
In the context of a global shortage of glucagon-like peptide-1 (GLP-1) receptor agonists, we assessed the impact of discontinuing dulaglutide on metabolic control in individuals with type 2 diabetes. Our analysis included data from 69 individuals and revealed a significant deterioration in glycemic control following the discontinuation. Specifically, the average hemoglobin A1c level increased from 7.0%±0.9% to 8.1%±1.4% (P<0.001), and fasting glucose levels rose from 129±31 to 156±50 mg/dL (P<0.001) within 3 months after stopping the medication. Alternative treatments such as dipeptidyl peptidase-4 inhibitors and sodium glucose cotransporter- 2 inhibitors were insufficient substitutes, highlighting the essential role of continuous GLP-1 receptor agonist therapy in maintaining metabolic health.
The global demand for glucagon-like peptide-1 (GLP-1) receptor agonists has surged due to their effectiveness in lowering blood glucose levels, promoting weight loss, and providing cardiovascular benefits [1,2]. This increased demand has resulted in a significant worldwide shortage. This situation has raised concerns among healthcare providers and individuals managing type 2 diabetes [3,4]. Registry data suggest that prolonged use of GLP-1 receptor agonists is linked to improved clinical outcomes such as a greater decrease in hemoglobin A1c (HbA1c) [5]. However, there has been no systematic analysis of the metabolic disruptions that may occur due to discontinuation of, or switching from, GLP-1 receptor agonists to other glucose-lowering treatments.
In this study, we aimed to evaluate the metabolic consequences of discontinuation of dulaglutide or switching from dulaglutide to alternative glucose-lowering treatments in individuals with type 2 diabetes due to a global shortage.
Dulaglutide received approval from the Korean Ministry of Food and Drug Safety in 2015 and was widely used until a shortage occurred in early 2023. We conducted a prospectively designed, retrospectively analyzed cohort study at the Seoul National University Bundang Hospital’s Endocrinology and Metabolism Clinic (IRB B-2401-879-106). Informed consent was waived by the board.
The initial cohort comprised 179 individuals aged between 20 and 90 years, all diagnosed with type 2 diabetes and treated with a combination of dulaglutide and metformin. These participants had baseline HbA1c levels of 9.0% or lower (Supplemental Fig. S1). We excluded 40 individuals who were already using insulin, 44 who started insulin therapy after discontinuing GLP-1 receptor agonists, and 70 with missing baseline or follow-up HbA1c values. Following these exclusions, 69 participants were eligible for the analysis.
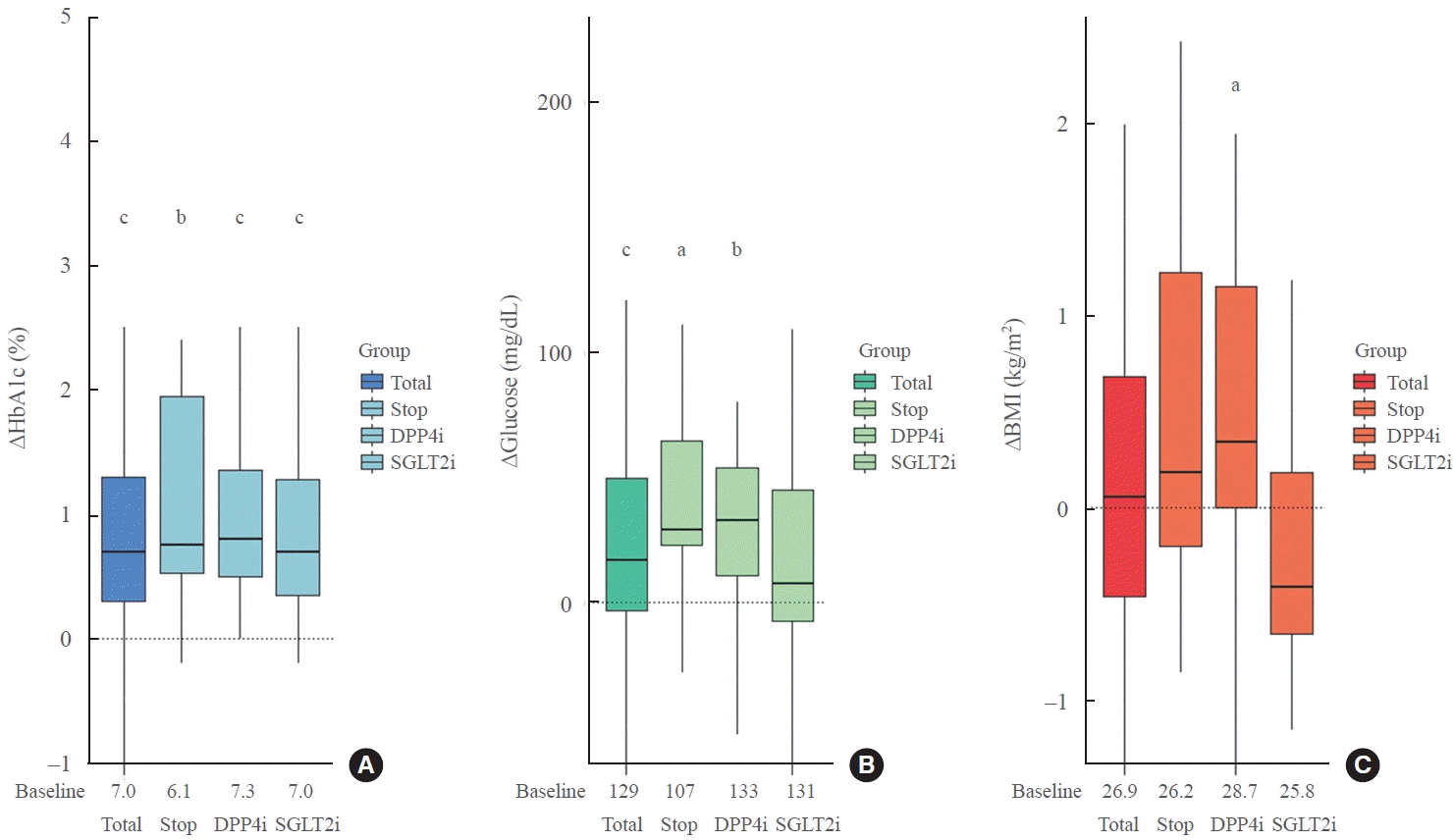
Twelve discontinued dulaglutide without any replacement, 27 switched to dipeptidyl peptidase-4 inhibitors (DPP4i), 26 to sodium glucose cotransporter-2 inhibitors (SGLT2i), and three to a combination of both (Table 1). HbA1c levels increased from 7.0%±0.9% to 8.1%±1.4% (P<0.001) 3 months after stopping dulaglutide (Fig. 1). Similarly, the mean fasting glucose concentration rose from 129±31 to 156±50 mg/dL (P<0.001), while C-peptide concentration decreased from 4.93±3.38 to 3.44±1.85 ng/mL (P=0.007). Discontinuation of GLP-1 receptor agonists or switching to DPP4i or SGLT2i alone resulted in worsening HbA1c levels at follow-up (by 1.5%, 1.1%, and 1.1%, respectively). Those who switched to a combination of DPP4i and SGLT2i maintained stable glucose levels, although the small sample size limits definitive conclusions. Body mass index increased in those who switched to DPP4i therapy (from 28.4± 5.9 to 28.8±5.9 kg/m2, P=0.017). An exploratory analysis of those formerly using insulin in conjunction with GLP-1 receptor agonist (who were originally excluded from the main analysis) showed an increase in HbA1c (1.2%±1.3%, P=0.006) (Supplemental Table S1), suggesting that the insulin dose adjustments made after discontinuing GLP-1 receptor agonists were insufficient to maintain glycemic control.
Our study illustrates the challenges in managing type 2 diabetes when individuals are unable to continue with GLP-1 receptor agonist treatment due to supply shortages. Our findings underscore the critical need for uninterrupted treatment to sustain the metabolic control previously achieved [6]. We noted a clinically significant decline in glycemic control just 3 months after discontinuing dulaglutide treatment. This decline was particularly pronounced when GLP-1 receptor agonist treatment was halted without a substitute, or when replaced with oral glucose-lowering medications used as monotherapy.
We identified detrimental metabolic effects following either the discontinuation of GLP-1 receptor agonist therapy or its substitution with DPP4i or SGLT2i treatments. Individuals who discontinued GLP-1 receptor agonist therapy had an average HbA1c of 6.1%±0.8%, which was significantly better than that of other subgroups prior to discontinuation. However, even this group experienced a decline in glycemic control and other metabolic parameters, falling outside the target range recommended by the American Diabetes Association [7]. Although DPP4i extends the half-life of endogenous GLP-1, its effectiveness is significantly less than the supraphysiologic effects of GLP-1 receptor agonists. Likewise, while SGLT2 inhibitors introduce a new class of drugs, they only offer moderate metabolic control, which does not compare to the efficacy of GLP-1 receptor agonist therapy.
A limitation of our research was the inability to assess the effects of switching from dulaglutide to other GLP-1 receptor agonists, as they were unavailable except in fixed-ratio combinations such as insulin degludec/liraglutide and insulin glargine/ lixisenatide. In our setting, neither liraglutide nor semaglutide were available options; the former was only accessible for obesity management, and the latter had not been introduced in Korea.
In the SUSTAIN 7 study, semaglutide demonstrated greater effectiveness than other GLP-1 receptor agonists, showing marked reductions in both HbA1c and body weight compared to dulaglutide [8]. During dulaglutide shortages, it is important to consider the pharmacokinetic and pharmacodynamic differences among GLP-1 receptor agonists. Switching from dulaglutide to semaglutide often leads to significant improvements in diabetes management and weight loss, unlike discontinuing GLP-1 receptor agonist therapy or switching to DPP4i or SGLT2i therapies. Additionally, the potential for weight gain when introducing insulin therapy to maintain blood glucose levels after discontinuing GLP-1 receptor agonist treatment should be carefully evaluated. However, when discontinuation of GLP-1 receptor agonist therapy is involuntary, no other treatment fully substitutes its role.
We want to alert healthcare professionals to these risks. Pharmaceutical companies must enhance their efforts to ensure a stable supply of GLP-1 receptor agonists globally, while governments and healthcare systems should issue guidelines to guarantee the consistent availability of GLP-1 receptor agonists for patients.
Supplementary Material
Supplemental Table S1.
Metabolic Phenotype Alterations of Discontinuing Dulaglutide in Insulin Users
Supplemental Fig. S1.
Selection criteria and participants allocation in dulaglutide discontinuation study. HbA1c, hemoglobin A1c; GLP1- RA, glucagon-like peptide-1 receptor agonist; DPP4i, dipeptidyl peptidase-4 inhibitor; SGLT2i, sodium glucose cotransporter-2 inhibitor. aNot further analyzed as there was only one participant in the group.
REFERENCES
1. Gerstein HC, Colhoun HM, Dagenais GR, Diaz R, Lakshmanan M, Pais P, et al. Dulaglutide and cardiovascular outcomes in type 2 diabetes (REWIND): a double-blind, randomized placebo-controlled trial. Lancet. 2019; 394:121–30.
2. Yao H, Zhang A, Li D, Wu Y, Wang CZ, Wan JY, et al. Comparative effectiveness of GLP-1 receptor agonists on glycaemic control, body weight, and lipid profile for type 2 diabetes: systematic review and network meta-analysis. BMJ. 2024; 384:e076410.

3. Mahase E. GLP-1 agonist shortage will last until end of 2024, government warns. BMJ. 2024; 384:q28.

4. U.S. Food and Drug Administration. FDA drug shortages [Internet]. Silver Spring: FDA;2024. [cited 2024 Oct 23]. Available from: https://www.accessdata.fda.gov/scripts/drugshortages/dsp_ActiveIngredientDetails.cfm?AI=Dulaglutide%20 Injection&st=c&tab=tabs-1.
5. Jung H, Tittel SR, Schloot NC, Heitmann E, Otto T, Lebrec J, et al. Clinical characteristics, treatment patterns, and persistence in individuals with type 2 diabetes initiating a glucagon-like peptide-1 receptor agonist: a retrospective analysis of the Diabetes Prospective Follow-Up Registry. Diabetes Obes Metab. 2023; 25:1813–22.

6. Rubino D, Abrahamsson N, Davies M, Hesse D, Greenway FL, Jensen C, et al. Effect of continued weekly subcutaneous semaglutide vs placebo on weight loss maintenance in adults with overweight or obesity: the STEP 4 randomized clinical trial. JAMA. 2021; 325:1414–25.
7. American Diabetes Association Professional Practice Committee. 6. Glycemic goals and hypoglycemia: standards of care in diabetes-2024. Diabetes Care. 2024; 47(Suppl 1):S111–25.
Fig. 1.
Metabolic changes following discontinuation or switching of glucagon-like peptide-1 receptor agonist therapy in individuals with type 2 diabetes. This figure presents comparative boxplots illustrating changes in hemoglobin A1c (HbA1c; %), fasting plasma glucose (mg/dL), and body mass index (BMI; kg/m2) from baseline to 3 months after either stopping dulaglutide without replacement or switching to other glucose-lowering medications due to a shortage of dulaglutide. Each panel focuses on a different metabolic parameter: (A) blue illustrates changes in HbA1c; (B) green shows changes in fasting plasma glucose levels (mg/dL); and (C) red depicts changes in BMI. Within each panel, the groups “total,” “stop,” “dipeptidyl peptidase-4 inhibitor (DPP4i),” and “sodium glucose cotransporter-2 inhibitor (SGLT2i)” are compared. Baseline values are annotated at the bottom of each plot. The central line in each box represents the median, while the edges of the box indicate the 25th and 75th percentiles. aP<0.05; bP<0.01; cP<0.001 levels of statistical significance compared to the baseline.
Table 1.
Metabolic Phenotype Alterations Following the Discontinuation of Dulaglutide
| Variable |
Total (n=69)a |
Discontinuation (n=12) |
Changed to DPP4i (n=27) |
Changed to SGLT2i (n=26) |
Changed to DPP4i and SGLT2i (n=3) |
||||||||||
|---|---|---|---|---|---|---|---|---|---|---|---|---|---|---|---|
| Baseline | 3 months | P value | Baseline | 3 months | P value | Baseline | 3 months | P value | Baseline | 3 months | P value | Baseline | 3 months | P value | |
| Age, yr | 59.8±13.5 | 49.3±17.2 | 58.7±13.8 | 65.8±8.6 | 60.3±6.5 | ||||||||||
| Female sex | 30 (43.5) | 8 (66.7) | 14 (51.9) | 6 (23.1) | 1 (33.3) | ||||||||||
| Duration of diabetes, yr | 12.7±7.6 | 10.0±6.3 | 11.9±8.1 | 13.9±7.6 | 19.3±3.5 | ||||||||||
| Anthropometric measurements | |||||||||||||||
| Body weight, kg | 72.3±14.6 | 72.8±14.5 | 0.100 | 69.8±10 | 70.9±8.7 | 0.171 | 78.0±18.5 | 79.0±18.3 | 0.033 | 69.0±10.1 | 68.6±10.1 | 0.418 | 70.3±17.3 | 71.0±16.4 | 0.348 |
| Body mass index, kg/m2 | 26.9±4.7 | 27.1±4.8 | 0.074 | 26.2±3.8 | 26.7±3.8 | 0.150 | 28.9±6.1 | 29.3±6.1 | 0.026 | 25.7±3.1 | 24.5±3.3 | 0.469 | 24.5±2.0 | 24.8±1.9 | 0.347 |
| SBP, mm Hg | 134±17 | 137±17 | 0.114 | 126±11 | 136±13 | 0.011 | 137±17 | 137±20 | 0.941 | 135±19 | 139±17 | 0.313 | 128±12 | 132±14 | 0.612 |
| DBP, mm Hg | 78±13 | 79±12 | 0.587 | 78±14 | 79±10 | 0.825 | 81±13 | 81±17 | 0.872 | 75±12 | 78±9 | 0.224 | 78±9 | 74±6 | 0.668 |
| Pulse rate, /min | 89±12 | 83±12 | <0.001 | 90±17 | 81±11 | 0.034 | 89±12 | 87±13 | 0.225 | 89±11 | 82±12 | 0.001 | 83±6 | 81±8 | 0.713 |
| Lab parameters | |||||||||||||||
| HbA1c, % | 7.0±0.9 | 8.1±1.4 | <0.001 | 6.1±0.8 | 7.6±2.1 | 0.008 | 7.3±0.8 | 8.4±1.2 | <0.001 | 7.0±0.7 | 8.1±1.2 | <0.001 | 8.1±0.9 | 8.0±0.9 | 0.957 |
| Fasting glucose, mg/dL | 129±31 | 156±50 | <0.001 | 107±23 | 159±71 | 0.029 | 133±33 | 164±43 | 0.001 | 131±25 | 152±49 | 0.060 | 171±11 | 127±22 | 0.065 |
| eGFR CKD-EPI | 88.3±20.5 | 87.3±21.8 | 0.221 | 103.8±23.2 | 102.2±24.3 | 0.303 | 88.7±21.5 | 87.9±24.2 | 0.596 | 82.8±15.4 | 81.9±15.6 | 0.550 | 72.5±14.7 | 68.8±9.3 | 0.456 |
| Urine protein/creatinine ratio, mg/g | 138±141 | 196±210 | <0.001 | 115±102 | 139±112 | 0.212 | 142±169 | 217±251 | 0.003 | 170±111 | 243±232 | 0.447 | NA | NA | NA |
| Urine microalbumin/creatinine ratio, mg/g | 61±103 | 92±154 | 0.010 | 35±55 | 48±78 | 0.142 | 64±120 | 108±185 | 0.010 | 103±111 | 111±140 | 0.657 | NA | NA | NA |
| Uric acid, mg/dL | 5.5±1.6 | 5.2±1.5 | 0.025 | 4.8±1.2 | 4.6±1.4 | 0.555 | 5.2±1.9 | 5.2±1.8 | 0.740 | 5.9±1.3 | 5.4±1.2 | 0.010 | 6.3±1.0 | 5.8±0.4 | 0.380 |
| White blood cell, /mm3 | 7.5±1.8 | 7.2±1.8 | 0.174 | 7.6±1.7 | 6.3±1.3 | 0.007 | 7.7±2.2 | 7.7±2.0 | 0.935 | 7.5±1.6 | 7.5±1.7 | 0.917 | 6.8±1.2 | 6.7±0.8 | 0.924 |
| Hemoglobin, g/dL | 14.0±1.9 | 14.4±1.9 | 0.005 | 14.2±2.2 | 13.9±2.5 | 0.193 | 14.3±2.2 | 14.5±1.9 | 0.390 | 13.7±1.5 | 14.6±1.6 | <0.001 | 12.7±1.3 | 13.9±1.4 | 0.006 |
| Platelet, /mm3 | 255±65 | 244±60 | 0.009 | 302±75 | 287±75 | 0.087 | 260±58 | 250±54 | 0.137 | 223±54 | 213±47 | 0.225 | 237±40 | 229±43 | 0.551 |
Values are expressed as mean±standard deviation or number (%).
DPP4i, dipeptidyl peptidase-4 inhibitor; SGLT2i, sodium glucose cotransporter-2 inhibitor; SBP, systolic blood pressure; DBP, diastolic blood pressure; HbA1c, hemoglobin A1c; eGFR, estimated glomerular filtration rate; CKD-EPI, Chronic Kidney Disease Epidemiology Collaboration; NA, not applicable.



PDF
Citation
Print



XML Download