Abstract
Background
Methods
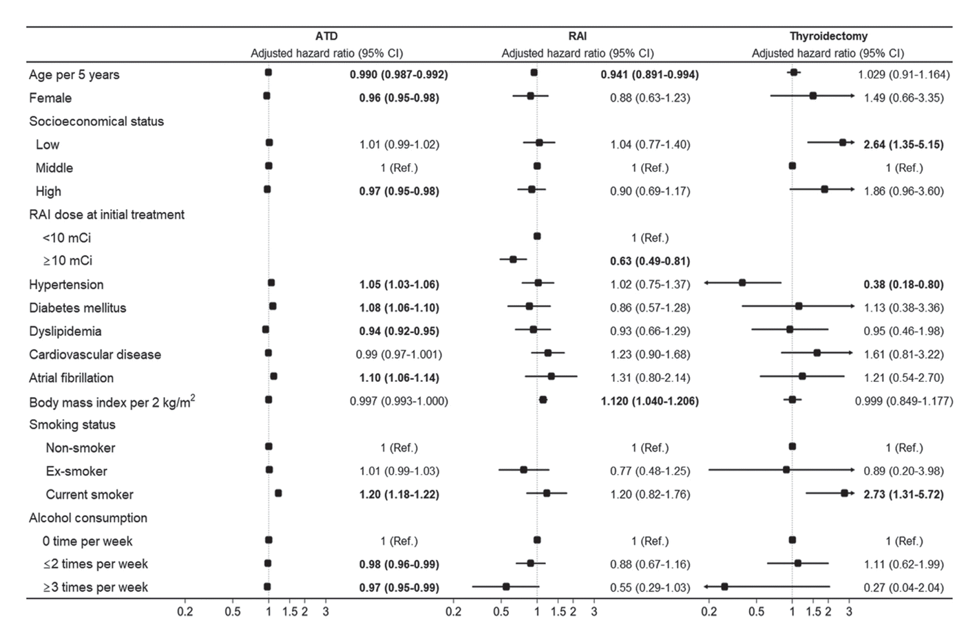
Results
Conclusion
Supplementary Material
Supplemental Table S1.
Supplemental Table S2.
Notes
ACKNOWLEDGMENTS
This research was supported by a grant from the Korean Health Technology R&D Project through the Korea Health Industry Development Institute (KHIDI), funded by the Ministry of Health and Welfare, South Korea (grant number: HC21C0078). The funding sources had no role in the design and conduct of the study; collection, management, analysis, and interpretation of the data; preparation, review, or approval of the manuscript; or the decision to submit the manuscript for publication.
AUTHOR CONTRIBUTIONS
Conception or design: K.J.K.(Kyeong Jin Kim), J.C., S.G.K. Acquisition, analysis, or interpretation of data: J.A.K., K.J.K.(Kyeong Jin Kim), J.C., K.J.K.(Kyoung Jin Kim), S.G.K. Drafting the work or revising: J.A.K., K.J.K.(Kyeong Jin Kim), E.S., J.H.Y., N.H.K.(Nam Hoon Kim), H.J.Y., J.A.S. Final approval of the manuscript: N.H.K.(Nan Hee Kim), K.M.C., S.H.B., S.G.K.
REFERENCES
Fig. 2.
Fig. 3.
Table 1.
| Characteristic | Total (n=452,001) | ATD (n=442,990) | RAI (n=2,981) | Thyroidectomy (n=6,030) | P value |
P for comparison among groups |
||
|---|---|---|---|---|---|---|---|---|
| ATD vs. RAI | ATD vs. thyroidectomy | RAI vs. thyroidectomy | ||||||
| Age, yr | 46.2±14.5 | 46.2±14.5 | 47.2±14.6 | 49.2±13.4 | <0.001 | <0.001 | <0.001 | <0.001 |
| Female sex | 320,080 (70.8) | 312,782 (70.6) | 2,280 (76.5) | 5,020 (83.3) | <0.001 | <0.001 | <0.001 | <0.001 |
| Socioeconomical status | 0.602 | - | - | - | ||||
| Low (1st tertile) | 115,656 (25.6) | 113,322 (25.6) | 757 (25.4) | 1,577 (26.2) | ||||
| Middle (2nd tertile) | 148,798 (32.9) | 145,886 (32.9) | 956 (32.1) | 1,956 (32.4) | ||||
| High (3rd tertile) | 187,547 (41.5) | 183,782 (41.5) | 1,268 (42.5) | 2,497 (41.4) | ||||
| Comorbidities | ||||||||
| Hypertension | 108,463 (24.0) | 105,823 (23.9) | 827 (27.7) | 1,813 (30.1) | <0.001 | <0.001 | <0.001 | 0.068 |
| Diabetes mellitus | 44,148 (9.8) | 43,317 (9.8) | 284 (9.5) | 547 (9.1) | 0.167 | - | - | - |
| Dyslipidemia | 76,945 (17.0) | 75,394 (17.0) | 461 (15.4) | 1,090 (18.1) | 0.006 | 0.073 | 0.090 | 0.006 |
| Cardiovascular disease | 66,598 (14.7) | 64,991 (14.7) | 598 (20.0) | 1,009 (16.7) | <0.001 | <0.001 | <0.001 | <0.001 |
| Ischemic heart disease | 46,367 (10.3) | 45,238 (10.2) | 414 (13.8) | 715 (11.9) | <0.001 | <0.001 | <0.001 | 0.019 |
| Stroke | 18,773 (4.2) | 18,377 (4.1) | 134 (4.5) | 262 (4.3) | 0.475 | - | - | - |
| Ischemic stroke | 7,543 (1.7) | 7,367 (1.7) | 65 (2.2) | 111 (1.8) | 0.050 | 0.083 | 0.852 | 0.819 |
| Hemorrhagic stroke | 2,091 (0.5) | 2,044 (0.5) | 13 (0.4) | 34 (0.6) | 0.495 | - | - | - |
| Heart failure | 22,597 (5.0) | 22,032 (5.0) | 252 (8.5) | 313 (5.2) | <0.001 | <0.001 | >0.999 | <0.001 |
| Atrial fibrillation | 38,081 (8.4) | 37,015 (8.4) | 475 (16.0) | 591 (9.8) | <0.001 | <0.001 | <0.001 | <0.001 |
| Health check-up dataa | ||||||||
| Missing | 153,370 | 149,899 | 1,198 | 2,272 | ||||
| Body mass index, kg/m2 | 23.1±3.3 | 23.1±3.3 | 23.0±3.2 | 23.9±3.3 | <0.001 | >0.999 | <0.001 | <0.001 |
| Systolic blood pressure, mm Hg | 122.0±15.2 | 121.9±15.2 | 122.8±15.5 | 123.3±16.2 | <0.001 | 0.052 | <0.001 | 0.728 |
| Diastolic blood pressure, mm Hg | 75.1±10.0 | 75.1±10.0 | 75.5±10.2 | 76.5±10.5 | <0.001 | 0.368 | <0.001 | 0.001 |
| Total cholesterol, mg/dL | 181.9±41.7 | 181.8±41.7 | 181.8±41.6 | 194.1±38.0 | <0.001 | >0.999 | <0.001 | <0.001 |
| Fasting plasma glucose, mg/dL | 99.2±24.9 | 99.3±24.9 | 98.3±24.1 | 97.1±21.8 | <0.001 | 0.355 | <0.001 | 0.252 |
| Smoking status | <0.001 | <0.001 | <0.001 | <0.001 | ||||
| Unknown | 156,089 (34.5) | 152,544 (34.4) | 1,219 (40.9) | 2,326 (38.6) | ||||
| Non-smoker | 214,084 (47.4) | 209,601 (47.3) | 1,356 (45.5) | 3,127 (51.9) | ||||
| Ex-smoker | 34,108 (7.5) | 33,707 (7.6) | 174 (5.8) | 227 (3.8) | ||||
| Current smoker | 47,720 (10.6) | 47,138 (10.6) | 232 (7.8) | 350 (5.8) | ||||
| Alcohol consumption | <0.001 | <0.001 | <0.001 | 0.018 | ||||
| Unknown | 155,711 (34.4) | 152,178 (34.4) | 1,215 (40.8) | 2,318 (38.4) | ||||
| None | 185,439 (41.0) | 181,599 (41.0) | 1,188 (39.9) | 2,652 (44.0) | ||||
| ≤2 times/wk | 91,566 (20.3) | 90,203 (20.4) | 485 (16.3) | 878 (14.6) | ||||
| ≥3 times/wk | 19,285 (4.3) | 19,010 (4.3) | 93 (3.1) | 182 (3.0) | ||||
Table 2.
| Variable | No. of events (%) |
Unadjusted |
Adjusteda |
Adjustedb |
||||
|---|---|---|---|---|---|---|---|---|
| HR (95% CI) | P value | HR (95% CI) | P value | No. of events (%) | HR (95% CI) | P value | ||
| ATD | 259,361 (58.5) | 2.54 (2.35–2.75) | <0.001 | 2.59 (2.39–2.81) | <0.001 | 159,559 (55.0) | 2.81 (2.51–3.14) | <0.001 |
| RAI | 636 (21.3) | 1 (Reference) | 1 (Reference) | 332 (18.9) | 1 (Reference) | |||
| Thyroidectomy | 126 (2.1) | 0.08 (0.07–0.10) | <0.001 | 0.08 (0.06–0.09) | <0.001 | 69 (1.9) | 0.08 (0.06–0.11) | <0.001 |
a Adjusted for age, sex, socioeconomic status, hypertension, diabetes mellitus, dyslipidemia, cardiovascular disease, and atrial fibrillation;
b Adjusted for age, sex, socioeconomic status, hypertension, diabetes mellitus, dyslipidemia, cardiovascular disease, atrial fibrillation, body mass index, smoking status, and alcohol consumption. These results were analyzed in 295,692 patients with all available data included in models (290,231 in the ATD group, 1,761 in the RAI group, and 3,700 in the thyroidectomy group).



PDF
Citation
Print



XML Download