Journal List > Blood Res > v.60 > 1516090224

Koh, Lee, Pham, Heo, Choi, Lee, Seo, Kang, Lee, Kim, Ryu, Eun, Lee, Yun, Jo, and Song: Post-transplant cyclophosphamide plus anti-thymocyte globulin decreased serum IL-6 levels when compared with post-transplant cyclophosphamide alone after haploidentical hematopoietic stem cell transplantation

Abstract

Background

Post-transplantation cyclophosphamide (PTCy) and anti-thymocyte globulin (ATG) are common prophylactic strategies for graft-versus-host disease (GVHD) after haploidentical hematopoietic stem cell transplantation (haplo-HSCT). Interleukin (IL)-6 is a surrogate marker for cytokine release syndrome (CRS) and acute GVHD.

Method

The clinical outcomes and complications of haplo-HSCT with PTCy plus ATG versus PTCy monotherapy were compared according to serum IL-6 levels at Chungnam National University Hospital (Daejeon, South Korea) from January 2019 to February 2023.

Results

Forty patients who underwent haplo-HSCT were analyzed. A significant difference in IL-6 levels was observed between the PTCy plus ATG and PTCy alone groups (7.47 ± 10.55 vs. 117.65 ± 127.67; p = 0.003). More patients in the PTCy plus ATG group had a CRS grade of 0 than in the PTCy alone group (p < 0.001). Serum IL-6 levels were associated with grades II–IV acute GVHD (r = 0.547, p < 0.001). The cumulative incidence (CI) of grades II–IV acute GVHD was significantly higher in the PTCy alone group (67.9% vs. 4.8%; p < 0.001). No significant difference in the CI for chronic GVHD was detected between the PTCy plus ATG and PTCy alone groups (72.1% vs. 82.0%; p = 0.730). The CI of 1-year non-relapse mortality was significantly higher in the PTCy alone group than in the PTCy plus ATG group (42.2% vs. 15.9%; p = 0.022). The 1-year overall survival (OS) was significantly better in the PTCy plus ATG group (75.9% vs. 35.3%; p = 0.011). The 1-year GVHD-free, relapse-free survival rate was 29.4% in the PTCy alone group and 54.0% in the PTCy plus ATG group (p = 0.038).

Conclusion

Serum IL-6 levels were higher in the PTCy alone group than in the PTCy plus ATG group. The addition of ATG before stem cell infusion affected IL-6 levels and reduced the incidences of CRS and grade II–IV acute GVHD in haplo-HSCT patients. This study suggests that PTCy plus ATG as GVHD prophylaxis in haplo-HSCT is beneficial in terms of clinical outcomes and complications of HSCT.

Keywords

IL-6, Post-transplantation cyclophosphamide, Anti-thymocyte globulin, GVHD, Hematopoietic stem cell transplantation

Introduction

Allogeneic hematopoietic stem cell transplantation (HSCT) is an essential treatment for blood cancer [1]. Recently, haplo-identical HSCT (haplo-HSCT) has become widely used, with consistent improvements in treatment outcomes [2, 3]. Consequently, donor availability is no longer a major obstacle in allogeneic HSCT [4]. Nevertheless, graft-versus-host disease (GVHD) remains a major concern in the implementation of haplo-HSCT [5, 6]. Despite recent advances in GVHD treatment, 10–20% patients experience severe acute GVHD after allogeneic HSCT, and one-third of patients develop extensive chronic GVHD [7, 8]. Such severe grades of acute and chronic GVHD constitute a significant percentage of non-relapse mortality (NRM) and cause long-term sequelae that profoundly affect a patient’s quality of life. Therefore, prevention of severe GVHD is crucial for improving the clinical outcomes of haplo-HSCT [9]. Currently, the most commonly used regimens for GVHD prevention in T-cell-replete haplo-HSCT are anti-thymocyte globulin (ATG) and post-transplantation cyclophosphamide (PTCy) [7, 10]. ATG, which contains antibodies that primarily destroy T-cells, prevents GVHD in vivo via T-cell depletion [11]. PTCy effectively eliminates donor-derived alloreactive T-cells after allogeneic HSCT and preserves hematopoietic stem cells and regulatory T-cells, thereby demonstrating its preventive effects against GVHD [12, 13].
No prospective studies have compared the efficacies of PTCy and ATG in haplo-HSCT. A retrospective analysis using data from the European Society for Blood and Bone Marrow Transplantation (EBMT) registry showed that a PTCy-based regimen led to better outcomes than an ATG-based regimen in patients with acute myeloid leukemia [7]. The PTCy-based regimen resulted in longer durations of leukemia-, GVHD-, and relapse-free survival, along with lower incidences of GVHD and NRM. Furthermore, in a recent meta-analysis, a PTCy-based regimen demonstrated superior overall survival (OS) and GVHD prevention than an ATG-based regimen, even in unrelated-donor allogeneic HSCT [14]. Therefore, PTCy is considered a new standard for GVHD prophylaxis in haplo-HSCT and unrelated-donor HSCT [15, 16].
Despite the use of PTCy-based regimens, some patients experience severe GVHD or cytokine release syndrome (CRS), occasionally leading to life-threatening complications [17, 18]. Previously, we reported that 10–20% patients receiving a PTCy-based regimen experienced severe CRS and acute GVHD, resulting in serious neurological complications such as autoimmune limbic encephalitis [19]. Therefore, to reduce the incidences of CRS and severe acute GVHD, clinical trials combining PTCy and ATG have recently been conducted [14, 20, 21]. Additionally, interleukin-6 (IL-6) has been investigated as a biomarker for predicting acute GVHD or CRS in haplo-HSCT by using PTCy [22, 23]. To date, no study has compared IL-6 levels between groups treated with PTCy alone vs. PTCy plus ATG. The aim of this study was to analyze the correlations between IL-6 levels and clinical outcomes in both groups.

Materials and methods

Patients and treatments

We retrospectively analyzed consecutive adults (age, > 18 years) with hematological malignancies who underwent human leukocyte antigen (HLA) haploidentical donor allogeneic HSCT at Chungnam National University Hospital (CNUH; Daejeon, South Korea) between January 2019 and February 2023. PTCy (50 mg/kg) was administered on days + 3 and + 4. Rabbit ATG (thymoglobulin, 1.5 mg/kg; Sanofi-Aventis, Paris, France) was administered from day 3 to 1. The regimen included tacrolimus beginning on day + 5, with a target level of 5–15 ng/mL. Mycophenolate mofetil, up to 3 g/day in divided doses, was administered from day 5 to day 35. Two conditioning regimens were administered. In the myeloablative conditioning (MAC) regimen, 3.2 mg/kg busulfan was administered for 4 days and 30 mg/m2 fludarabine was administered for 5 days. In the reduced-intensity conditioning (RIC) regimen, 3.2 mg/kg busulfan was administered for 2 days and 30 mg/m2 fludarabine was administered for 5 days. RIC was administered to patients of > 55 years of age or those with comorbidities. The busulfan dose was not pharmacokinetically adjusted. All patients received granulocyte colony-stimulating factor-mobilized peripheral blood stem cells (PBSCs; target CD34 + cell count, 5 × 106/kg). Filgrastim (300 μg/m2) was administered from day + 5 until neutrophil recovery. No therapy such as donor lymphocyte infusion, hypomethylating agents, or tyrosine kinase inhibitors, was administered to prevent relapse after allogeneic HSCT.

Study end points and definitions

The primary study outcome was the difference in IL-6 levels and their correlations with acute GVHD between PTCy alone and PTCy plus ATG treatment groups. The secondary outcomes were OS, incidence and severity of acute and chronic GVHD, leukemia-free survival, relapse rate, NRM, CRS, veno-occlusive disease (VOD), cytomegalovirus (CMV), and Epstein–Barr virus (EBV) reactivation in each group. Acute GVHD was graded using the Mount Sinai Acute GVHD International Consortium (MAGIC) criteria, and chronic GVHD was graded according to the National Institutes of Health (NIH) consensus [24, 25]. GVHD-free, relapse-free survival (GFRS) was defined as the occurrence of any of the following events from the time of transplantation: grade III or IV acute GVHD, chronic GVHD warranting systemic immunosuppression, disease relapse or progression, or death from any cause. NRM was defined as death from any cause except relapse. CRS was graded using the American Society for Transplantation and Cellular Therapy scale [26]. All CRS manifestations occurred within the first 6 days after transplantation. CMV and EBV reactivation was defined as the detection of viral DNA in whole blood by using PCR on at least one occasion.

Sample collection and analysis

Peripheral blood samples were collected from the patients on day + 3 after haplo-HSCT. Serum IL-6 levels were measured using the chemiluminescent immunoassay (CLIA) with an Elecsys IL-6 kit (Roche Diagnostics, Mannheim, Germany) in a clinical laboratory at CNUH. In accordance with the manufacturer’s instructions, serum IL-6 reference values were set to 0–7.0 pg/mL.

Statistical analysis

Categorical variables were compared using the chi-square test, and logistic regression was performed to examine correlations. Overall and leukemia-free survival durations were assessed using the Kaplan–Meier method. Survival rates were compared using the log-rank test. Cumulative incidence (CI) functions were used to estimate the rates of acute and chronic GVHD, relapse rate, and NRM. A p-value < 0.05 was considered statistically significant. Cox proportional hazards regression was used to evaluate OS. Clinically relevant factors with a p-value < 0.05 in univariate analyses were used in the multivariate analysis. All statistical analyses were performed using SPSS ver. 24.0 software (IBM, Armonk, NY, USA).

Results

Patient and transplantation characteristics

The study included 40 patients undergoing haplo-HSCT divided into two groups on the basis of the GVHD prophylaxis received: PTCy plus ATG (n = 23) or PTCy alone (n = 17). The baseline characteristics are summarized in Table 1. The median age at diagnosis was 60 and 56 years, respectively. No significant differences were observed between the groups in terms of sex, disease type, conditioning intensity, poor-risk disease, or HCT-CI. Although the difference was not significant, the MAC regimen was administered to a greater percentage of patients in the PTCy-alone group (47.1% vs. 30.4%; p = 0.336). No difference in EBV reactivation was observed between the two groups. The CMV reactivation rate was significantly higher in the PTCy-alone group (82.4% vs. 26.1%, p < 0.001). In the PTCy plus ATG group, 9 of 23 (39.0%) patients received letermovir, when compared with none in the PTCy alone group (p = 0.005). The incidence of VOD was significantly higher in the PTCy alone group than in the PTCy plus ATG group (24.0% vs. 0.0%, p = 0.026). Grade III/IV acute GVHD occurred more frequently in the PTCy alone group than in the PTCy plus ATG group (26.7% vs. 0.0%, p = 0.029). The total number of patients without CRS was higher in the PTCy plus ATG group than in the PTCy alone group (87.0% vs. 5.9%, p < 0.001). The median follow-up durations in the PTCy plus ATG and PTCy alone groups were 9.3 (range 3.3–22.8) and 5.5 (range 0.3–40.5) months, respectively.

IL-6 levels and acute GVHD and CRS

A significant difference in IL-6 levels was observed between the PTCy plus ATG and PTCy alone groups (7.47 ± 10.55 vs. 117.65 ± 127.67, respectively; p = 0.003, Fig. 1A). IL-6 levels increased concurrently with the severity of acute GVHD (r = 0.547, p < 0.001; Fig. 1B). CRS severity was correlated with IL-6 levels (r = 0.801, p < 0.001, Fig. 1C) and positively correlated with the degree of acute GVHD (p = 0.004, Fig. 1D).

GVHD and CRS between PTCy with ATG and PTCy alone

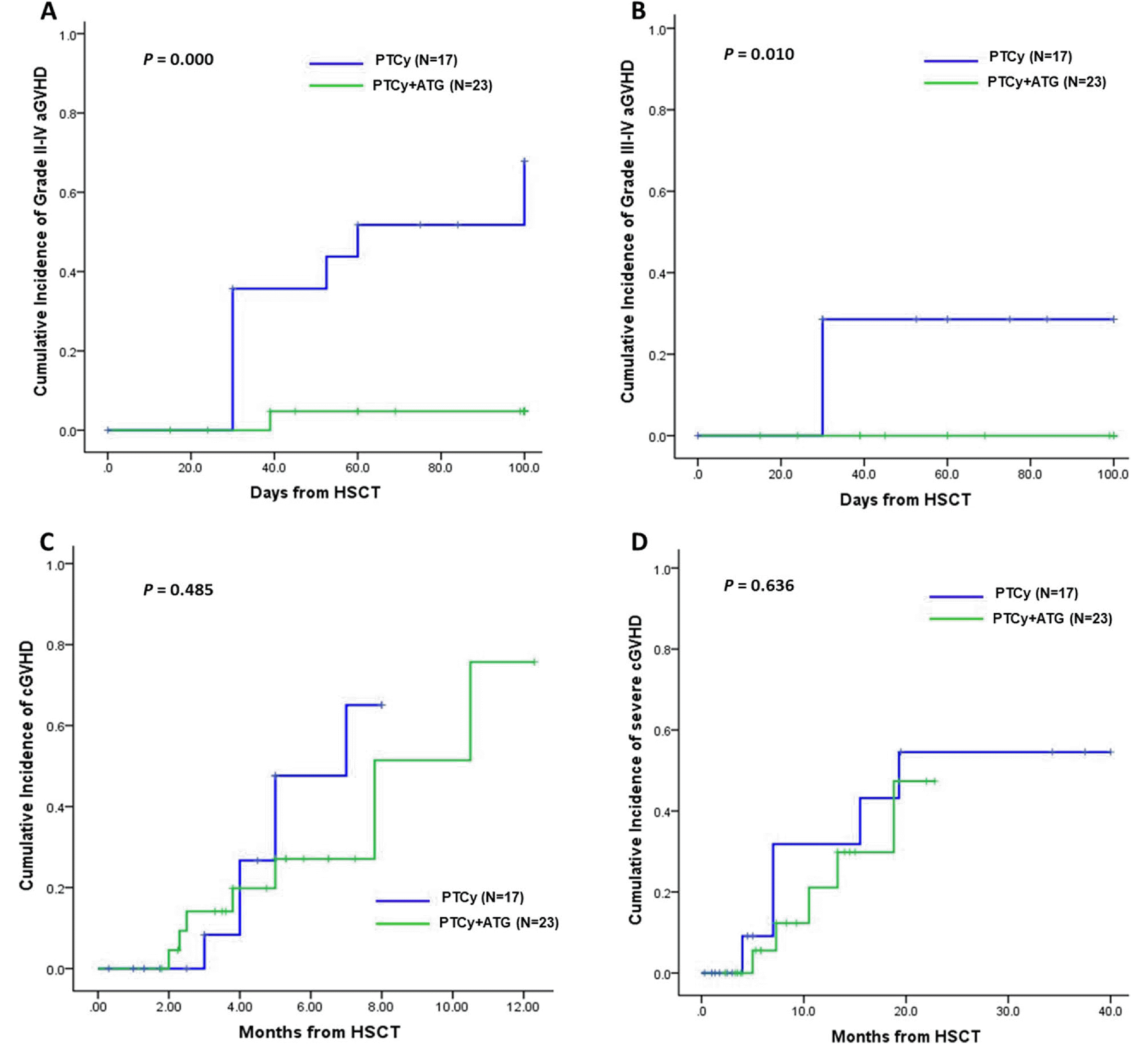
The CI of grade II-IV acute GVHD on day 100 was significantly higher in the PTCy alone group than in the PTCy plus ATG group (67.9% vs. 4.8%; p < 0.001; Fig. 2A). PTCy alone recipients were more likely to develop grade III/IV acute GVHD than PTCy plus ATG recipients (26.7% vs. 0.0%, respectively; p = 0.010, Fig. 2B). No significant differences were detected between the PTCy plus ATG and PTCy alone groups in the 1-year CI of chronic GVHD (75.7% vs. 65.1%; p = 0.485; Fig. 2C) or 1-year CI of severe chronic GVHD (12.3% vs. 43.2%; p = 0.636; Fig. 2D).
Fever occurred within 6 days after stem cell infusion in 22 of 40 patients (55%). A regular pattern of fever was noted, which generally disappeared within 48 h after the initial cyclophosphamide administration and fully resolved in all patients by day + 7. Patients in the PTCy alone group were more likely to develop grade 2 CRS than those in the PTCy plus ATG group (35.3% vs. 0.0%; p < 0.001).

Survival outcomes

The CI of 1-year NRM was significantly higher in the PTCy alone group (42.2% vs. 15.9%; p = 0.022; Fig. 3A), with no significant difference in 1-year relapse mortality between the two groups (PTCy plus ATG, 30.3% vs. PTCy alone, 28.5%; p = 0.550; Fig. 3B). The causes of NRM included infection, GVHD, and intracranial hemorrhage. The 1-year OS was significantly higher in the PTCy plus ATG group than in the PTCy alone group (75.9% vs. 44.0%; p = 0.041; Fig. 3C). The 1-year GFRS rate was 29.4% in the PTCy alone group and 54.0% in the PTCy plus ATG group (p = 0.038; Fig. 3D).
Next, we performed univariate and multivariate analyses of OS and NRM (Tables 2 and 3, respectively). Univariate analysis showed that non-CR1 status at transplantation, grade II-IV acute GVHD, and serum IL-6 levels were associated with poor OS. Multivariate analysis confirmed that IL-6 levels were an independent adverse risk factor for OS in patients who underwent haplo-HSCT (hazard ratio [HR] = 47.462, p = 0.002).
The PTCy alone regimen of GVHD prophylaxis, grade II-IV acute GVHD, and IL-6 levels were associated with NRM in the univariate analyses (Table 3). Multivariate analysis revealed that IL-6 level was the only risk factor associated with NRM (HR = 1.012, p = 0.005).

Discussion

Recently, several retrospective studies have evaluated the use of ATG plus PTCy to prevent GVHD [20, 21, 27]. However, no reports on the utility of IL-6 as an indicator of acute GVHD have been published in the context of haplo-HSCT using PTCy or PTCy plus ATG. In this study, we demonstrated that the addition of ATG to PTCy reduced post-transplant IL-6 levels, contributing to a lower severity of CRS and acute GVHD after haplo-HSCT, thereby improving survival outcomes.
IL-6 is a pro-inflammatory cytokine that serves as biomarker for CRS and acute GVHD after haplo-HSCT [18, 22]. The main source of IL-6 is monocyte lineage cells; monocytes are presumably stimulated to secrete IL-6 upon alloreactive T-cell activation after haplo-HSCT [28]. IL-6 inhibits transforming growth factor (TGF)-β-induced T-cell differentiation into regulatory T (Treg) cells and downregulates Foxp3 expression by Treg cells [29, 30]. Elevated IL-6 levels are suspected to reduce Treg activity, ultimately resulting in increased severity of acute GVHD. Previously, we demonstrated that the Treg population was reduced upon increase of post-transplant IL-6 levels in patients who underwent haplo-HSCT using PTCy. Moreover, a substantial decrease in the active subpopulation of Tregs was observed, which contributes to the onset of severe CRS and encephalopathy [19].
Greco et al. measured IL-6 levels on day 7 post-transplantation, whereas we measured it on day 3. We utilized this approach because our previous study serially analyzed IL-6 and other inflammatory cytokines after haplo-HSCT using PTCy and showed that the highest IL-6 values occurred on post-transplantation day 3 [19]. Furthermore, the peak clinical manifestation of CRS, primarily fever, occurred immediately before PTCy administration. Therefore, we measured IL-6 levels on post-transplantation day three and analyzed the clinical outcomes associated with IL-6 levels. Furthermore, in our study, IL-6 was the only predictor of survival and treatment-related mortality, suggesting that IL-6 measurements after haplo-HSCT with PTCy may be useful for predicting both acute GVHD and post-transplant prognosis.
In previous studies comparing PTCy plus ATG with PTCy alone, the addition of ATG to PTCy appeared to reduce the incidences of acute and chronic GVHD without increasing the rate of relapse [31, 3233]. Battipaglia et al. reported that PTCy plus ATG was associated with a lower risk of chronic GVHD than PTCy alone, without higher rates of transplantation toxicity, mortality, or relapse [31]. El-Cheikh et al. also reported that the addition of ATG to PTCy reduced the incidence of acute GVHD and increased OS in HSCT [32]. In our study, PTCy plus ATG significantly reduced the incidences of VOD and NRM, leading to improved OS. PTCy plus ATG did not affect relapse incidence. To investigate the mechanisms underlying these effects, Makanga et al. analyzed T- and NK cells in the peripheral blood of patients undergoing haplo-HSCT using PTCy and ATG; they suggested that slower T-cell reconstitution is involved in the reduced incidence of GVHD, whereas faster-recovering subtypes of NK cells help prevent relapse [33].
However, the optimal ATG dose for PTCy has not yet been determined. Several studies have investigated lower doses of ATG and PTCy [20, 21]. Xu et al. compared low-dose ATG (5 mg/kg) plus low-dose PTCy (one dose of 50 mg/kg) with the standard dose of ATG (10 mg/kg) and reported that low-dose ATG plus PTCy reduced GVHD risk and NRM [20]. A retrospective analysis of a large sample with long-term follow-up suggested that low-dose ATG/PTCy effectively prevented severe acute GVHD [34]. Wang et al. reported that low-dose PTCy (14.5 mg/kg on days 3 and 4) plus ATG reduced acute and chronic GVHD relative to the standard-dose ATG regimen [21]. Additionally, Kim et al. adjusted the ATG dose according to the absolute lymphocyte count on day 3 before haplo-HSCT and administered 80 mg of PTCy. They reported that the dual T-cell-depleting regimen improved survival when compared with ATG alone [35]. Intriguingly, they reported that the rate of life-threatening infections in the post-engraftment period was lower in the ATG/PTCy combination group than in the ATG alone group. Therefore, further research is required to determine the optimal dosages of ATG and PTCy when used in combination.
This study has some limitations. First, it was a retrospective, single-center study with a small number of patients. Thus, future multicenter studies with more patients are required to generalize our findings. However, this study analyzed consecutive patients treated using the same protocol at the same institution, which may have reduced selection bias. Second, the rate of CMV reactivation was higher in the PTCy alone group, contrary to the generally accepted notion that increased immunosuppressive therapy strength is associated with a greater likelihood of CMV reactivation. This may have occurred because national health insurance coverage for letermovir became available in South Korea in March 2021. However, there were no deaths due to CMV disease, indicating that this difference was unlikely to influence the OS.
In conclusion, the addition of ATG to PTCy decreased IL-6 levels; reduced the incidence of CRS, acute GVHD, and NRM; and improved OS. IL-6 levels measured 3 days after haplo-HSCT with PTCy can be used to predict OS, NRM, and GVHD.

Notes

Authors’ contributions

Conceptualization: JS Koh, MW Lee, IC Song Supervision: DY Jo, HJ Yun, HJ Lee Methodology: TTD Pham, BY Heo, S Choi, SW Lee Funding: JS Koh, IC Song Validation: W Seo, S Kang, SB Lee Formal analysis: CH Kim, H Ryu, HS Eun Investingation: JS Koh, MW Lee Data curation: JS Koh, MW Lee Writing original draft preparation: JS Koh, MW Lee, IC Song Writing review & editing: JS Koh, MW Lee, IC Song.

Funding

This work was supported by the National Research Foundation of Korea (NRF) grant funded by the Korean government (NRF-2021R1C1C1012397), Korea Health Technology R&D Project through the Korea Health Industry Development Institute (KHIDI) funded by the Ministry of Health & Welfare, Republic of Korea (HR20C0025010020), and Korean Society of Hematology Research Fund (ICKSH-2023–04).

Data availability

No datasets were generated or analysed during the current study.

Declarations

Ethics approval and consent to participate

The study protocol was approved by the Institutional Review Board of Chungnam National University Hospital. The requirement for informed patient consent was waived because of the retrospective nature of the study.

Consent for publication

Not applicable.

Competing interests

The authors declare no competing interests.

References

1. Gooley TA, Chien JW, Pergam SA, Hingorani S, Sorror ML, Boeckh M, et al. Reduced mortality after allogeneic hematopoietic-cell transplantation. N Engl J Med. 2010; 363(22):2091–2101. DOI: 10.1056/NEJMoa1004383. PMID: 21105791. PMCID: 3017343.
2. Bashey A, Zhang X, Sizemore CA, Manion K, Brown S, Holland HK, et al. T-cell-replete HLA-haploidentical hematopoietic transplantation for hematologic malignancies using post-transplantation cyclophosphamide results in outcomes equivalent to those of contemporaneous HLA-matched related and unrelated donor transplantation. J Clin Oncol. 2013; 31(10):1310–1316. DOI: 10.1200/JCO.2012.44.3523. PMID: 23423745.
3. McCurdy SR, Kasamon YL, Kanakry CG, Bolaños-Meade J, Tsai HL, Showel MM, et al. Comparable composite endpoints after HLA-matched and HLA-haploidentical transplantation with post-transplantation cyclophosphamide. Haematologica. 2017; 102(2):391–400. DOI: 10.3324/haematol.2016.144139. PMID: 27846611. PMCID: 5286947. PMID: 6772e489f3ba456aaf2f50f5512d6f5d.
4. Ciurea SO, Al Malki MM, Kongtim P, Fuchs EJ, Luznik L, Huang XJ, et al. The European Society for Blood and Marrow Transplantation (EBMT) consensus recommendations for donor selection in haploidentical hematopoietic cell transplantation. Bone Marrow Transplant. 2020; 55(1):12–24. DOI: 10.1038/s41409-019-0499-z. PMID: 30833742.
5. Gooptu M, Romee R, St Martin A, Arora M, Al Malki M, Antin JH, et al. HLA-haploidentical vs matched unrelated donor transplants with posttransplant cyclophosphamide-based prophylaxis. Blood. 2021; 138(3):273–282. DOI: 10.1182/blood.2021011281. PMID: 34292325. PMCID: 8310426.
6. Sanz J, Galimard JE, Labopin M, Afanasyev B, Angelucci E, Ciceri F, et al. Post-transplant cyclophosphamide after matched sibling, unrelated and haploidentical donor transplants in patients with acute myeloid leukemia: a comparative study of the ALWP EBMT. J Hematol Oncol. 2020; 13(1):46. DOI: 10.1186/s13045-020-00882-6. PMID: 32375860. PMCID: 7201995. PMID: c5cf9464d84340149bef06673faa4d2f.
7. Ruggeri A, Sun Y, Labopin M, Bacigalupo A, Lorentino F, Arcese W, et al. Post-transplant cyclophosphamide versus anti-thymocyte globulin as graft- versus-host disease prophylaxis in haploidentical transplant. Haematologica. 2017; 102(2):401–410. DOI: 10.3324/haematol.2016.151779. PMID: 27758821. PMCID: 5286948. PMID: 538bb92ef0c044bfb7aa040cf9564781.
8. Zeiser R, von Bubnoff N, Butler J, Mohty M, Niederwieser D, Or R, et al. Ruxolitinib for Glucocorticoid-Refractory Acute Graft-versus-Host Disease. N Engl J Med. 2020; 382(19):1800–1810. DOI: 10.1056/NEJMoa1917635. PMID: 32320566.
9. Tavaf MJ, Verkiani ME, Hanzaii FP, Zomorrod MS. Effects of immune system cells in GvHD and corresponding therapeutic strategies. Blood Res. 2023; 58(1):2–12. DOI: 10.5045/br.2023.2022192. PMID: 36774947. PMCID: 10063589.
10. Nagler A, Kanate AS, Labopin M, Ciceri F, Angelucci E, Koc Y, et al. Post-transplant cyclophosphamide versus anti-thymocyte globulin for graft-versus-host disease prevention in haploidentical transplantation for adult acute lymphoblastic leukemia. Haematologica. 2021; 106(6):1591–1598. DOI: 10.3324/haematol.2020.247296. PMID: 32354866. PMID: 7654c33112014681aa7491b9c007b1fe.
11. Mohty M. Mechanisms of action of antithymocyte globulin: T-cell depletion and beyond. Leukemia. 2007; 21(7):1387–1394. DOI: 10.1038/sj.leu.2404683. PMID: 17410187.
12. Luznik L, Fuchs EJ. High-dose, post-transplantation cyclophosphamide to promote graft-host tolerance after allogeneic hematopoietic stem cell transplantation. Immunol Res. 2010; 47(1–3):65–77. DOI: 10.1007/s12026-009-8139-0. PMID: 20066512. PMCID: 2892158.
13. Ganguly S, Ross DB, Panoskaltsis-Mortari A, Kanakry CG, Blazar BR, Levy RB, et al. Donor CD4+ Foxp3+ regulatory T cells are necessary for posttransplantation cyclophosphamide-mediated protection against GVHD in mice. Blood. 2014; 124(13):2131–2141. DOI: 10.1182/blood-2013-10-525873. PMID: 25139358. PMCID: 4186542.
14. Tang L, Liu Z, Li T, Dong T, Wu Q, Niu T, et al. Post-transplant cyclophosphamide versus anti-thymocyte globulin in allogeneic hematopoietic stem cell transplantation from unrelated donors: A systematic review and meta-analysis. Front Oncol. 2023; 13:1071268. DOI: 10.3389/fonc.2023.1071268. PMID: 36874098. PMCID: 9978173. PMID: 2e762ba218714a53bfe1acd2fa0e50c4.
15. Bacigalupo A, Jones R. PTCy: The “new” standard for GVHD prophylaxis. Blood Rev. 2023; 62:101096. DOI: 10.1016/j.blre.2023.101096. PMID: 37301659.
16. Bolaños-Meade J, Hamadani M, Wu J, Al Malki MM, Martens MJ, Runaas L, et al. Post-transplantation cyclophosphamide-based Graft-versus-host disease prophylaxis. N Engl J Med. 2023; 388(25):2338–2348. DOI: 10.1056/NEJMoa2215943. PMID: 37342922. PMCID: 10575613.
17. Solán L, Landete E, Bailén R, Dorado N, Oarbeascoa G, Anguita J, et al. Cytokine release syndrome after allogeneic stem cell transplantation with posttransplant cyclophosphamide. Hematol Oncol. 2020; 38(4):597–603. DOI: 10.1002/hon.2772. PMID: 32592410.
18. Imus PH, Blackford AL, Bettinotti M, Luznik L, Fuchs EJ, Huff CA, et al. Severe cytokine release syndrome after haploidentical peripheral blood stem cell transplantation. Biol Blood Marrow Transplant. 2019; 25(12):2431–2437. DOI: 10.1016/j.bbmt.2019.07.027. PMID: 31394272. PMCID: 7402409.
19. Heo BY, Lee MW, Choi S, Jung Y, Pham TTD, Jang Y, et al. Autoimmune limbic encephalitis in patients with hematologic malignancies after haploidentical hematopoietic stem cell transplantation with post-transplant cyclophosphamide. Cells. 2023; 12(16):2049. DOI: 10.3390/cells12162049. PMID: 37626859. PMCID: 10453524. PMID: bfd77198ca774a319ad5819f85e6439b.
20. Xu X, Yang J, Cai Y, Li S, Niu J, Zhou K, et al. Low dose anti-thymocyte globulin with low dose posttransplant cyclophosphamide (low dose ATG/PTCy) can reduce the risk of graft-versus-host disease as compared with standard-dose anti-thymocyte globulin in haploidentical peripheral hematopoietic stem cell transplantation combined with unrelated cord blood. Bone Marrow Transplant. 2021; 56(3):705–708. DOI: 10.1038/s41409-020-01047-2. PMID: 32873913.
21. Wang Y, Wu DP, Liu QF, Xu LP, Liu KY, Zhang XH, et al. Low-dose post-transplant cyclophosphamide and anti-thymocyte globulin as an effective strategy for GVHD prevention in haploidentical patients. J Hematol Oncol. 2019; 12(1):88. DOI: 10.1186/s13045-019-0781-y. PMID: 31481121. PMCID: 6724335. PMID: 6dabc0373653457a8e20be2c34558e88.
22. Greco R, Lorentino F, Nitti R, LupoStanghellini MT, Giglio F, Clerici D, et al. Interleukin-6 as biomarker for acute GvHD and survival after allogeneic transplant with post-transplant cyclophosphamide. Front Immunol. 2019; 10:2319. DOI: 10.3389/fimmu.2019.02319. PMID: 31632401. PMCID: 6779849. PMID: 42e52694a0ec4850a373f9f5116c060c.
23. Morris EC, Neelapu SS, Giavridis T, Sadelain M. Cytokine release syndrome and associated neurotoxicity in cancer immunotherapy. Nat Rev Immunol. 2022; 22(2):85–96. DOI: 10.1038/s41577-021-00547-6. PMID: 34002066.
24. Harris AC, Young R, Devine S, Hogan WJ, Ayuk F, Bunworasate U, et al. International, multicenter standardization of acute graft-versus-host disease clinical data collection: a report from the mount sinai acute GVHD international consortium. Biol Blood Marrow Transplant. 2016; 22(1):4–10. DOI: 10.1016/j.bbmt.2015.09.001. PMID: 26386318.
25. Lee SJ, Wolff D, Kitko C, Koreth J, Inamoto Y, Jagasia M, et al. Measuring therapeutic response in chronic graft-versus-host disease National Institutes of Health consensus development project on criteria for clinical trials in chronic graft-versus-host disease: IV The 2014 Response Criteria Working Group report. Biol Blood Marrow Transplant. 2015; 21(6):984–99. DOI: 10.1016/j.bbmt.2015.02.025. PMID: 25796139. PMCID: 4744804.
26. Lee DW, Santomasso BD, Locke FL, Ghobadi A, Turtle CJ, Brudno JN, et al. ASTCT consensus grading for cytokine release syndrome and neurologic toxicity associated with immune effector cells. Biol Blood Marrow Transplant. 2019; 25(4):625–638. DOI: 10.1016/j.bbmt.2018.12.758. PMID: 30592986.
27. Duléry R, Brissot E, Mohty M. Combining post-transplant cyclophosphamide with antithymocyte globulin for graft-versus-host disease prophylaxis in hematological malignancies. Blood Rev. 2023; 62:101080. DOI: 10.1016/j.blre.2023.101080. PMID: 37085459.
28. Norelli M, Camisa B, Barbiera G, Falcone L, Purevdorj A, Genua M, et al. Monocyte-derived IL-1 and IL-6 are differentially required for cytokine-release syndrome and neurotoxicity due to CAR T cells. Nat Med. 2018; 24(6):739–748. DOI: 10.1038/s41591-018-0036-4. PMID: 29808007.
29. Korn T, Hiltensperger M. Role of IL-6 in the commitment of T cell subsets. Cytokine. 2021; 146:155654. DOI: 10.1016/j.cyto.2021.155654. PMID: 34325116.
30. van Loosdregt J, Fleskens V, Fu J, Brenkman AB, Bekker CP, Pals CE, et al. Stabilization of the transcription factor Foxp3 by the deubiquitinase USP7 increases Treg-cell-suppressive capacity. Immunity. 2013; 39(2):259–271. DOI: 10.1016/j.immuni.2013.05.018. PMID: 23973222. PMCID: 4133784.
31. Battipaglia G, Labopin M, Blaise D, Diez-Martin JL, Bazarbachi A, Vitek A, et al. Impact of the addition of antithymocyte globulin to post-transplantation cyclophosphamide in haploidentical transplantation with peripheral blood compared to post-transplantation cyclophosphamide alone in acute myelogenous leukemia: a retrospective study on behalf of the acute leukemia working party of the European society for blood and marrow transplantation. Transplant Cell Ther. 2022; 28(9):587.e1–e7. DOI: 10.1016/j.jtct.2022.06.006. PMID: 35714906.
32. El-Cheikh J, Devillier R, Dulery R, Massoud R, Al Chami F, Ghaoui N, et al. Impact of adding antithymocyte globulin to posttransplantation cyclophosphamide in haploidentical stem-cell transplantation. Clin Lymphoma Myeloma Leuk. 2020; 20(9):617–623. DOI: 10.1016/j.clml.2020.04.003. PMID: 32457025.
33. Makanga DR, Guillaume T, Willem C, Legrand N, Gagne K, Cesbron A, et al. Posttransplant cyclophosphamide and antithymocyte globulin versus posttransplant cyclophosphamide as graft-versus-host disease prophylaxis for peripheral blood stem cell haploidentical transplants: comparison of t cell and NK effector reconstitution. J Immunol. 2020; 205(5):1441–1448. DOI: 10.4049/jimmunol.2000578. PMID: 32747504.
34. Li X, Yang J, Cai Y, Huang C, Xu X, Qiu H, et al. Low-dose anti-thymocyte globulin plus low-dose post-transplant cyclophosphamide-based regimen for prevention of graft-versus-host disease after haploidentical peripheral blood stem cell transplants: a large sample, long-term follow-up retrospective study. Front Immunol. 2023; 14:1252879. DOI: 10.3389/fimmu.2023.1252879. PMID: 37954615. PMCID: 10639171. PMID: 4927191eebc34f62bd7d1381dba7dc66.
35. Kim DH, Shin DY, Koh Y, Kim I, Yoon SS, Byun JM, et al. Dual T-cell depletion with individually tailored anti-thymocyte globulin and attenuated dose of post-transplant cyclophosphamide in haploidentical peripheral stem cell transplantation. Sci Rep. 2024; 14(1):13885. DOI: 10.1038/s41598-024-64361-5. PMID: 38880835. PMCID: 11180652. PMID: 9e6b3a6008c745668dcce82783a22d7a.

Fig. 1
IL-6 Levels, acute GVHD, and CRS. A Plasma IL-6 levels between PTCy plus ATG and PTCy alone groups before PTCy infusion. B Association between severity of acute GVHD and plasma IL-6 levels. C Association between CRS grade and plasma IL-6 levels. D The percentage of patients who developed grade 2 or higher acute GVHD according to the CRS grade
br-60-5-f1.tif
Fig. 2
Cumulative incidences of GVHD between PTCy plus ATG and PTCy alone. A The CI of grade II–IV acute GVHD. B The CI of grade III-IV acute GVHD. C The CI of chronic GVHD. D The CI of severe chronic GVHD
br-60-5-f2.tif
Fig. 3
Clinical outcomes between PTCy plus ATG and PTCy alone. A The CI of non-relapse mortality (NRM). B The CI of relapse. C The probability of overall survival (OS). D The probability of GVHD-free, relapse-free survival (GFRS)
br-60-5-f3.tif
Table 1
Clinical characteristics between PTCy with ATG and PTCy groups underwent haplo-HSCT (n = 40)
PTCy + ATG (n = 23)
PTCy (n = 17)
p-value
Median Age, year (range)
60, (18–71)
56, (28–72)
0.997
Gender, M: F
12: 11
10: 7
0.755
Type of diseases
0.476
 AML
16 (69.6%)
12 (70.6%)
 ALL
3 (13.0%)
4 (23.5%)
 MDS & PMF
4 (17.4%)
1 (5.9%)
Conditioning intensity
0.336
 MAC
7 (30.4%)
8 (47.1%)
 RIC
16 (69.6%)
9 (52.9%)
Disease status at transplant
0.053
 1st CR
19 (82.6%)
12 (70.6%)
 2nd CR
0 (0.0%)
3 (17.6%)
 3rd CR
0 (0.0%)
1 (5.9%)
 MDS & PMF
4 (17.4%)
1 (5.9%)
Poor riska
12 (60.0%)
10 (62.5%)
1.000
HCT-CI
0.389
 0
15 (65.2%)
12 (70.6%)
 1–2
5 (21.7%)
5 (29.4%)
 3-
3 (13.0%)
0 (0.0%)
EBV reactivation
2 (8.7%)
0 (0.0%)
0.499
CMV reactivation
6 (26.1%)
14 (82.4%)
 < 0.001
CMV prophylaxis with letermovir
9 (39.0%)
0 (0.0%)
0.005
VOD incidence
0 (0.0%)
4 (24.0%)
0.026
Acute GVHD (evaluable)
0.029
 None
15 (65.2%)
6 (40.0%)
 Grade I/II
8 (34.8%)
5 (33.3%)
 Grade III/IV
0 (0.0%)
4 (26.7%)
Stem cell source
-
 PB
23 (100%)
17 (100%)
 BM
0 (0.0%)
0 (0.0%)
CRS grading
 < 0.001
 No CRS
20 (87.0%)
1 (5.9%)
 Grade 1
3 (13.0%)
10 (58.8%)
 Grade 2
0 (0.0%)
6 (35.3%)
Cell count, median (range)
TNC count (× 108 cells/kg)
13.90 (6.09–23.28)
13.18 (6.41–21.71)
0.576
CD34 + cell (x106cells/kg)
8.56 (4.50–17.77)
10.68 (2.88–25.85)
0.224
Median F/U duration, month (range)
5.5 (0.3–40.5)
9.3 (3.3–22.8)
0.255
PBSCT Peripheral blood stem cell transplantation, CR Complete remission, HCT-CI Hematopoietic stem cell transplantation comorbidity index, CMV Cytomegalovirus, VOD Veno occlusive disease, PB Peripheral blood, BM Bone marrow, MAC Myeloablating conditioning, RIC Reduced intensity conditioning, TNC Total nucleated cell
aPoor risk includes sAML, tAML, AML with poor risk group in NCCN guideline, poor cytogenetics in ALL
Table 2
Univariate and Multivariate analysis for risk factors of OS
Variables
Univariate analysis
Multivariate analysis
p value
HR (95% CI)
p value
HR (95% CI)
Age ≥ 57 vs < 57
0.254
1.912 (0.628–5.821)
GVHD prophylaxis
 PTCy + ATG vs. PTCy
0.051
0.333(0.110–1.006)
Conditioning intensity
 Myeloablative vs Reduced intensity
0.124
2.765 (0.757–10.097)
HCT-CI score ≥ 3 vs. 0–2
0.957
0.945 (0.120–7.438)
Non-CR1 status at transplant
0.011
5.830 (1.504–22.592)
0.233
3.178 (0.475–21.285)
Cytogenetic Risk status at diagnosis
 Poor vs. favorable or intermediate
0.999
1.001 (0.491–2.040)
Acute GVHD II-IV vs. 0-I
0.001
7.986 (2.473–25.788)
0.283
2.632 (0.450–15.379)
Severe chronic GVHD vs. Non-severe
0.239
0.406 (0.090–1.823)
IL-6 levels
 < 0.001
1.009 (1.005–1.014)
0.011
1.009 (1.002–1.016)
CRS severity: grade 2 or greater vs. 0 or 1
0.238
2.173 (0.599–7.891)
Tx Treatment, OS Overall survival, GVHD Graft versus host disease, HCT-CI Hematopoietic stem cell transplantation comorbidity index, CR Complete remission, CRS Cytokine release syndrome
Table 3
Univariate and Multivariate analysis for risk factors of NRM
Variables
Univariate analysis
Multivariate analysis
p value
HR (95% CI)
p value
HR (95% CI)
Age ≥ 57 vs. < 57
0.318
1.897 (0.540–6.664)
GVHD prophylaxis
 PTCy + ATG vs. PTCy
0.034
0.235 (0.061–0.898)
0.453
2.470 (0.233–26.216)
Conditioning intensity
 Myeloablative vs Reduced intensity
0.118
3.470 (0.730–16.486)
HCT-CI score ≥ 3 vs. 0–2
0.788
1.329 (0.168–10.523)
Non-CR1 status at transplant
0.070
4.517 (0.885–23.047)
Cytogenetic Risk status at diagnosis
Poor vs. favorable or intermediate
0.586
1.293 (0.512–3.266)
Acute GVHD II-IV vs. 0-I
0.006
6.717 (1.748–25.805)
0.418
2.756 (0.237–32.113)
Severe chronic GVHD vs. Non-severe
0.187
0.250 (0.032–1.963)
IL-6 levels
 < 0.001
1.010 (1.005–1.014)
0.005
1.012 (1.004–1.020)
CRS severity: grade 2 or greater vs. 0 or 1
0.139
2.747 (0.720–10.489)
NRM Non-relapse mortality, Tx Treatment, OS Overall survival, GVHD Graft versus host disease, HCT-CI Hematopoietic stem cell transplantation comorbidity index, CR Complete remission, CRS Cytokine release syndrome

Publisher’s Note

Springer Nature remains neutral with regard to jurisdictional claims in published maps and institutional affiliations.
TOOLS
Similar articles