Abstract
Objective
To evaluate the effects of rapid maxillary expansion (RME) on nasal patency and nasomaxillary dimensions in children and adolescents with mouth-breathing through 8 years of clinical follow-up.
Methods
RME was performed using a Hyrax orthodontic appliance in 28 mouth-breathers (6–13 years old). During follow-up, objective tests of nasal respiratory function were conducted, such as acoustic rhinometry, which provided the minimum cross-sectional areas of the nasal cavity, and active anterior computed rhinomanometry, which measured inspiratory nasal resistance. The tomographic widths of the coronal sections of the nose and maxilla were also measured. Fisher’s exact test and the Mann–Whitney U test were used to compare categorical and numerical variables, respectively, in mouth-breathers with and without allergic rhinitis. Temporal evolution was assessed using generalized estimating equation models. Statistical significance was set at P < 0.05.
Results
There was a reduction in inspiratory resistance after RME with a stable improvement in nasal patency during the 8-year follow-up period (P = 0.0179). All nasal and maxillary tomographic widths showed statistically significant increases in the short-term (P < 0.0001), and most of them showed significant increases in the long-term when compared with the pre-expansion period. Tomographic measurements were not influenced by allergic rhinitis.
Conclusions
Our study showed that RME promoted and maintained the widening of the posterior maxillary structure in children and adolescents with mouth-breathing, with a decrease in inspiratory nasal resistance during the 8-year follow-up period. These findings highlight the importance of RME in mouth-breathers with maxillary atresia.
Mouth-breathing can occur temporarily or persist chronically with altered nasal breathing patterns.1,2 Among the main causes of mouth-breathing in children and adolescents are allergic rhinitis refractory to clinical treatment and the enlargement of the pharyngeal tonsils.3 However, mouth-breathing may become habitual even in the absence of nasal obstruction.4
Transverse maxillary deficiency with a high-arched palate is frequently observed in children and adolescents who breathe through their mouth, and can be corrected using rapid maxillary expansion (RME),5,6 which promotes transverse maxillary widening through the separation of the median palatine suture, thereby correcting the posterior crossbite. Palatal expansion is likely to improve nasal breathing function by increasing the nasal dimensions. At an early age, RME can reduce complementary surgical interventions, especially if performed before the maturation of the midpalatal suture.7,8
Systematic reviews and meta-analyses have reported widening of the nasomaxillary structures and upper airways, with a decrease in inspiratory resistance immediately after RME.9-11 However, only a few studies have reported its long-term beneficial effects on nasal breathing.12,13 In a non-controlled study, nasal resistance decreased 90 days after RME; however, the values returned to baseline within 30 months.13 In another study, RME promoted objective (peak inspiratory nasal flow) and subjective (visual analog scale) respiratory improvements, which remained stable for 27 months after RME.12 In view of the literature, the main hypothesis is that RME can have different short- and long-term outcomes with or without associated comorbidities such as allergic rhinitis.
Given the controversy over long-term outcomes, this study aimed to investigate the effects of RME on nasal patency and the dimensions of the nasomaxillary structures through an 8-year clinical follow-up study.
A prospective, non-controlled study was conducted over 8 years of follow-up. This study included 11 male (39.3%) and 17 female (60.7%) patients aged 6–13 years (n = 28). The inclusion criteria were clinically controlled mouth-breathers (MBs) with unilateral or bilateral transverse maxillary deficiency and posterior crossbites. Patients who had received previous orthodontic treatment or speech therapy or presented with serious comorbidities or craniofacial syndromes were excluded. A control group was not included to avoid unnecessary exposure to computed tomography (CT) radiation in children and adolescents, and for ethical reasons, as RME is a routine clinical procedure prescribed for individuals with maxillary atresia, especially in the young population.
Mouth-breathing was diagnosed by an otorhinolaryngologist using clinical medical evaluation and nasal endoscopy. The findings included allergic rhinitis or an increase in adenotonsillar structures that were previously treated and controlled according to the Allergic Rhinitis and its Impact on Asthma guidelines.14 There was no selection bias for the allergic rhinitis factor. Convenience sampling was utilized to obtain a sample from the multidisciplinary center for research on mouth-breathing disorders at the university hospital following rigorous screening methods for 12 months.
Informed assent and consent were provided by the participants and guardians. This study was approved by the Research Ethics Committee of State University of Campinas (CAAE:0015.0.146.000-11; #41/2011).
A modificated Hyrax (Morelli Ortodontia, São Paulo, Brazil) orthodontic appliance was installed by the first author of this study, which was made with four orthodontic bands cemented onto the first permanent molars and first permanent premolars (or first deciduous molars), and was welded to the median expander screw (Morelli®, Morelli Ortodontia). The orthodontist performed a 2/4-turn after its installation and instructed the parents or guardians to activate it at home: 1/4-turn in the morning and 1/4-turn in the evening. The patients were followed-up weekly. When the bite was uncrossed with overcorrection of the buccal cusps of the first molars, by 2 mm, the Hyrax screw was locked with a 0.012-inch wire (Morelli®) and acrylic resin. The Hyrax device was removed 4 months after the expansion screw was locked. Ultimately, the palatal acrylic resin containment device with a Hawley arch (0.7 mm; Morelli®) was installed, to be used for 6 months.
Anterior acoustic rhinometry (AR) and active anterior computerized rhinomanometry (AAR) examinations were performed in compliance with the Consensus Report on Acoustic Rhinometry and Rhinomanometry of 2005,15 using the A1/NR6 measurement equipment (GM Instruments, Kilwinning, Scotland). Nasal vasoconstrictor (oxymetazoline hydrochloride [0.5 mg/mL]) was administered in two steps: (1) two sprays of 50 g into each nostril, and (2) one spray into each nostril after 5 minutes. Measurements were obtained 15–30 minutes after the last vasoconstrictor administration. All examinations were performed by the same professional on patients without rhinitis exacerbation.
In the AR, the patients were instructed to hold their breath for 3 seconds to perform three cycles of nasal measurements. AR provided data on the minimum nasal cross-sectional areas located in the inferior (MCA1) and middle turbinates (MCA2).
In the AAR, patients were instructed to close their mouths and breathe normally until four inhalation and exhalation curves were obtained. The inspiratory nasal resistance (cm3/s) was set at 150 Pa. The values obtained for the right and left nostrils were summed and only the total values were used.
The AR and AAR examinations were performed before RME (initial time; T1); at 6 (T2), 10 (T3), 14 (T4), and 18 months (T5) after RME; and at 8 years (T6) after RME. Twenty-eight children and adolescents underwent AR and AAR examination at T1, T2, and T3. In addition, 27 and 25 individuals underwent the examinations at T4 and T5, respectively. Of the 28 participants, only 19 individuals performed the tests at T6 and nine individuals were not able to perform the tests due to travel time/distance or personal reasons.
CT was performed at three time points: T1, T2, and T6. OsiriX® (Pixmeo, Geneva, Switzerland), an image-processing software program for displaying and processing Digital Imaging and Communications in Medicine image data, was used to visualize the digital three-dimensional volumetric image on axial, sagittal, and coronal planes. All CT measurements were performed by the main researcher and validated by a senior radiology specialist in sinonasal imaging. The axial plane tangential to the lower margins of the orbits was parallel to the axial plane of the hard palate and passed through the anterior and posterior nasal spines. The sagittal and coronal planes were orthogonal to the axial plane (Figure 1).
The CT scans were analyzed through three coronal sections located in the head of the inferior turbinates, head of the middle turbinates, and maxilla. In the first coronal section, nasal width 1 (N1) and maxillary width 1 (M1), located at the height of the inferior turbinates and nasal base, respectively, were measured. In the second coronal section, measurements were taken for nasal width 2 (N2), which was measured at the height of the middle turbinate, and maxillary width 2 (M2), which was measured at the outer edges of the maxillary bone passing through the nasal base. The maxillary width 3 (M3) was measured bilaterally at the deepest points of the maxillary concavity in the region of the first permanent molar (Figure 1).
CT examinations were performed at T1, T2, and T6. Twenty-eight children and adolescents underwent CT examinations at T1 and T2, and only 16 individuals underwent the test at T6. Nine individuals were not able to perform the tests due to travel time/distance or personal reasons, and three parents/guardians did not authorize the test due to radiation exposure.
Descriptive and inferential statistical analyses were performed using the Statistical Analysis System (SAS; version 9.4; SAS Institute Inc., Cary, NC, USA), with graphical representation using Origin (Pro) software (version 8.1 SR3; OriginLab Corp., Northampton, MA, USA).
Categorical data were presented as absolute frequency (N) and relative frequency (%). Data with numerical distributions were presented as mean ± standard deviation, median (95% confidence interval), and minimum and maximum values.
Statistical analyses were performed in two distinct stages: (1) analysis including all the participants, and (2) comparative analysis between groups with and without allergic rhinitis.
Groups of MBs with and without allergic rhinitis were compared using Fisher’s exact test for categorical variables and the Mann–Whitney U test for numerical variables. Temporal evolution was assessed using generalized estimation equation models due to data loss over time. The data were transformed into ranks owing to the lack of normal distribution. Multiple pairwise corrections were performed using Tukey’s test to control for type I errors. Statistical significance was set at P < 0.05.
Groups with and without allergic rhinitis were compared based on the markers assessed. Initially, the groups with and without allergic rhinitis were compared at baseline using the Mann–Whitney U test. Subsequently, the generalized estimating equation method was used to verify the influence of allergic rhinitis and time factors individually, and the effect of the interaction between both factors simultaneously.
Twenty-eight children and adolescents were included in this study: 64.9% had allergic rhinitis, 39.3% were male, and the mean and median ages were 10.07 ± 1.82 and 10.46 years, respectively.
At T1, the mean age of MBs with allergic rhinitis was 10.3 ± 1.5 years and the median age was 10.5 (7.8–13.2) years. The mean and median ages of MBs without allergic rhinitis at T1 were 9.7 ± 2.3 and 10.1 (6.1–12.1) years, respectively.
No statistically significant differences were found between MBs with and without allergic rhinitis at T1 when comparing the mean age (P = 0.4868) and sex (P = 0.4443).
Figure 2 shows a flowchart containing the examinations performed and the number of participants at each time throughout the 8-year follow-up period.
At T6, 19 participants underwent AR and AAR examinations, with a mean age of 17.92 ± 1.84 years and a median age of 17.92 years; however, only 16 participants underwent CT at T6.
Descriptive analyses of the data obtained from the AR (MCA1 and MCA2) and AAR are shown in Tables 1 and 2, respectively.
In the pre-orthodontic disjunction phase (T1), no significant differences were found between MBs with and without allergic rhinitis in any of the minimum cross-sectional areas of the nasal cavity evaluated (P ≥ 0.05).
In the temporal analysis of MCA1 without vasoconstrictors, statistically significant influences of time (P = 0.0187) and allergic rhinitis factors (P = 0.0277) were found separately; however, these factors did not have a statistically significant influence when combined (P = 0.20). The data for MCA1 without vasoconstrictors and all data for MCA2 did not show statistically significant differences in the temporal analysis.
Inspiratory nasal resistance showed statistically significant differences between MBs with and without allergic rhinitis at T1 using the Mann–Whitney U test (P = 0.1873).
In the comparative temporal analysis between the groups of MBs with and without allergic rhinitis, time proved to be a statistically significant factor when analyzed separately (P = 0.0399); however, allergic rhinitis factor alone (P = 0.3065) and the combined rhinitis and time factors (P = 0.7534) did not have a significant influence on inspiratory nasal resistance.
Considering the total sample, there was a decrease in inspiratory nasal resistance values with vasoconstrictors and stability of nasal respiratory improvement at the 14-month, 18-month, and 8-year follow-up periods (P < 0.05).
Figure 3 shows the graphs of the AR and AAR mean measurements taken throughout the 8-year follow-up. The graphs show statistically significant results for the MCA1 without vasoconstrictors (AR) and inspiratory nasal resistance with vasoconstrictors (AAR).
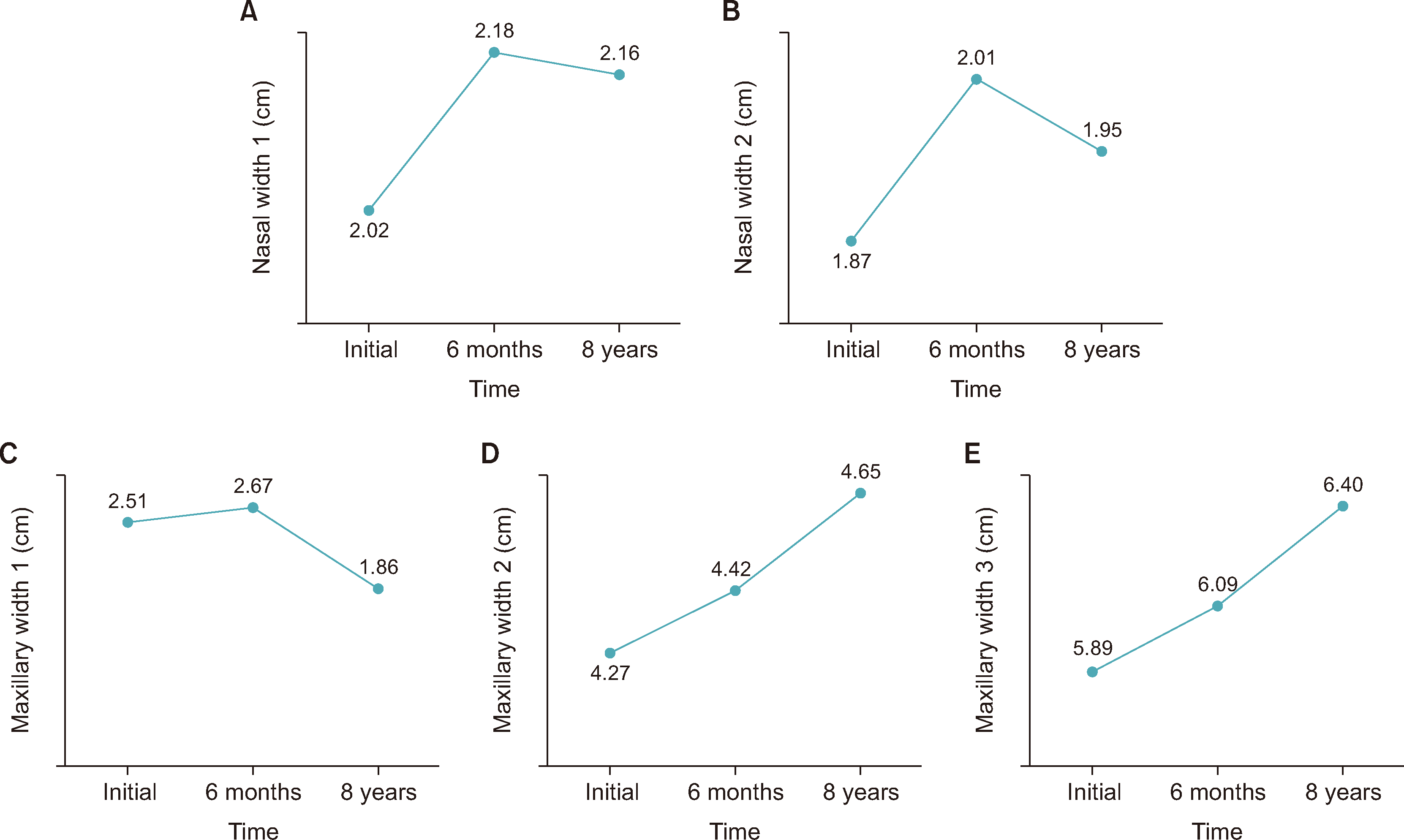
A descriptive analysis of the data obtained from the CT examinations (N1 and N2, and M1, M2, and M3) is shown in Table 3. Figure 4 shows the graphs that illustrate the mean CT measurements of the nasal and maxillary transverse widths at the three time points.
The tomographic N1, which represents the distance between the heads of the inferior turbinates, showed a statistically significant increase between T1 and T2 (P < 0.0001), and between T1 and T6 (P = 0.0002). However, there were no significant differences between T2 and T6 (P = 0.3162; Figure 4A).
The tomographic N2 showed a statistically significant increase between T1 and T2 (P < 0.0001), and a statistically significant decrease between T2 and T6 (P = 0.1398). No statistically significant differences were observed between T1 and T6 (P = 0.0295; Figure 4B).
In the tomographic M1, a statistically significant increase was found between T1 and T2 (P < 0.0001), and a statistically significant decrease was found between T2 and T6 (P = 0.0295). No statistically significant differences were observed between T1 and T6 (P = 0.0854; Figure 4C).
In the tomographic M2, considering the total number of MBs, statistically significant increases were found between T1 and T2 (P < 0.0001), and between T1 and T6 (P = 0.0002). No statistically significant differences were found between T2 and T6 (P = 0.1097; Figure 4D).
In the temporal analysis between the groups with and without allergic rhinitis, the tomographic M3, which is a measurement of the posterior maxillary width, showed a statistically significant difference only in the time factor. Statistically significant increases were found between T1 and T2 (P < 0.0001), and between T1 and T6 (P < 0.0001). No statistically significant differences were found between T2 and T6 (P = 0.2317; Figure 4E).
In the temporal analysis between the groups with and without allergic rhinitis, statistically significant differences were found in all tomographic widths for time alone. However, no statistically significant differences were found for rhinitis factors analyzed separately or when rhinitis and time factors were combined.
In the initial phase of the study, 7/28 (25%) children and adolescents had Angle Class I first permanent molars, 17/28 (60.7%) had Angle Class II molars, and only 4/28 (14.2%) had Angle Class III molars (Figure 5). Six months after RME, six MBs with an initial Angle Class II began to show Angle Class I. Four MBs with an initial Angle Class III maintained their molar pattern 6 months after RME; however, in the long-term follow-up of 8 years, the number of Class III MBs increased, amounting to 26.3% of the final sample (Figure 5).
This study stands out for its long-term structural and functional evaluation of RME in children and adolescents with mouth-breathing. Various objective measurements assessed simultaneously using CT, AR, and AAR allowed for a more robust analysis. The results showed an increase in nasal patency with a decrease in the mean nasal inspiratory resistance of patients. These differences were statistically significant at the 10-month, 18-month, and 8-year follow-ups after RME. These findings highlight the importance of performing RME for mouth-breathing patients with maxillary atresia to attain possible long-term improvement in mouth-breathing. These results are consistent with previous studies that had follow-up periods of up to 30 months after RME.12,16-18 However, other studies have reported contradictory results.13,19
CT showed posterior maxillary widening at 6 months and 8 years after RME, and there was a positive evolution with a statistically significant increase in all tomographic measurements assessed 6 months after RME, which is congruent with other studies.20,21
Widening of the nasal structures with RME resulted in short-term improvement in mouth-breathing. Transverse nasal tomographic widths showed significant increases in the short term more than in the long term. These results suggest the need for further studies, including nasal volumetric assessments, to better understand the three-dimensional effects of RME on the nasal cavity.
Among the MBs without allergic rhinitis, only the nasal width at the base of the middle turbinate increased in the long term. Individuals with allergy showed a decrease in all nasal widths 8 years after RME; however, the temporal statistical analysis found no statistically significant influence of the allergic rhinitis factor. Studies with larger sample sizes, such as multicenter studies, could further clarify these findings.
It is well known that RME can provide anterior and inferior mandibular positioning in up to 75% of Angle Class II cases.22,23 This functional improvement was found in six Angle Class II patients in our study, amounting to 35% of the initial sample; however, patients with Angle Class III malocclusion showed an increase in the frequency of this malocclusion in the long term, reinforcing the need for orthodontic or complementary surgical procedures for RME.24 Therefore, RME should remain as the first choice for correction of transverse maxillary deficiency in MBs. In addition, RME should be performed in conjunction with or after the treatment of nasal obstruction. Patients with MBs allergic rhinitis should be monitored for allergy triggers to avoid nasal turbinate hypertrophy.25
Improvement in mouth-breathing was more frequently reported by family members and MBs without allergic rhinitis, although the difference was not statistically significant. Patient health outcome reports, such as Patient-Reported Outcome (PRO) and Patient-Reported Outcome Measures (PROM), were not used methodologically. The use of these tools must be standardized in future interventional studies.
This study had some limitations: (1) a small sample size, (2) non-inclusion of a control group with transverse maxillary deficiency and MBs not subjected to RME, and (3) non-use of PRO and PROM. Admittedly, the inclusion of a control group would have been important to clarify whether the obtained maxillary enlargement was related to RME or natural growth in untreated children; however, for ethical reasons, unnecessary CT scans were avoided in children and adolescents because of radiation exposure. Further research should include (1) multicenter studies with larger sample sizes involving MBs with and without allergic rhinitis, (2) a control group, (3) a quality of life questionnaire for parents and patients, (4) patients with the same clinical characteristics, including morbidity and comorbidities, (5) allocation of patients according to age groups, (6) comparisons between groups, (7) volumetric analyses of CT scans, and (8) meta-analyses with prior standardization of CT, AR, and AAR measurements.
Despite these limitations, the results have relevance for further multicenter studies on mouth-breathing involving multidisciplinary research centers worldwide.
Although limited by the small sample size and lack of a control group, our study showed that RME promoted and maintained the widening of the posterior maxillary structure in children and adolescents with mouth-breathing, with a decrease in inspiratory nasal resistance during the 8-year follow-up period. Transverse nasal tomographic widths showed significant increases in the short term more than in the long term, and tomographic measurements were not influenced by allergic rhinitis. These findings highlight the importance of RME in MBs with maxillary atresia.
Notes
AUTHOR CONTRIBUTIONS
Conceptualization: All authors. Data curation: RHUS, ETIS. Formal analysis: All authors. Funding acquisition: RHUS, ES. Investigation: RHUS. Methodology: All authors. Project administration: All authors. Resources: RHUS. Software: RHUS. Supervision: JDR, ES. Validation: RHUS, JDR, ES. Visualization: RHUS, ETIS. Writing–original draft: RHUS. Writing–review & editing: RHUS, JDR, ES.
References
1. Kukwa A, Dymek A, Galazka A, Krzeski A, Kukwa W. 2014; A new approach to studying the nasal and oral breathing routes. Otolaryngol Pol. 68:112–8. https://doi.org/10.1016/j.otpol.2013.10.008. DOI: 10.1016/j.otpol.2013.10.008. PMID: 24837905.
2. Grippaudo C, Paolantonio EG, Antonini G, Saulle R, La Torre G, Deli R. 2016; Association between oral habits, mouth breathing and malocclusion. Acta Otorhinolaryngol Ital. 36:386–94. https://doi.org/10.14639/0392-100x-770. DOI: 10.14639/0392-100X-770. PMID: 27958599. PMCID: PMC5225794. PMID: 9f254e62f5264738874a19911835c6a2.
3. Morais-Almeida M, Wandalsen GF, Solé D. 2019; Growth and mouth breathers. J Pediatr (Rio J). 95 Suppl 1:66–71. 11.005. DOI: 10.1016/j.jped.2018.11.005. PMID: 30611649.
4. Abdelghany AM, Elsamanody AN. 2023; A simple home test to differentiate habitual from pathological mouth breathing. Int J Pediatr Otorhinolaryngol. 174:111719. https://doi.org/10.1016/j.ijporl.2023.111719. DOI: 10.1016/j.ijporl.2023.111719. PMID: 37738815.
5. Tang H, Liu Q, Lin JH, Zeng H. 2019; [Three-dimensional morphological analysis of the palate of mouth-breathing children in mixed dentition]. Hua Xi Kou Qiang Yi Xue Za Zhi. 37:389–93. Chinese.
6. Koç O, Koç N, Jacob HB. 2024; Effect of different palatal expanders with miniscrews in surgically assisted rapid palatal expansion: a non-linear finite element analysis. Dental Press J Orthod. 29:e2423195. https://doi.org/10.1590/2177-6709.29.1.e2423195.oar. DOI: 10.1590/2177-6709.29.1.e2423195.oar. PMID: 38451569. PMCID: PMC10914319. PMID: 89985a21cd6f4367a4dbfdb7bcee2150.
7. Ferrillo M, Daly K, Pandis N, Fleming PS. 2024; The effect of vertical skeletal proportions, skeletal maturation, and age on midpalatal suture maturation: a CBCT-based study. Prog Orthod. 25:4. https://doi.org/10.1186/s40510-023-00504-0. DOI: 10.1186/s40510-023-00504-0. PMID: 38311670. PMCID: PMC10838892. PMID: 9fcd18eaf6cd4e5bb2615d57783eedac.
8. Benetti M, Montresor L, Cantarella D, Zerman N, Spinas E. 2024; Does miniscrew-assisted rapid palatal expansion influence upper airway in adult patients? A scoping review. Dent J (Basel). 12:60. https://doi.org/10.3390/dj12030060. DOI: 10.3390/dj12030060. PMID: 38534284. PMCID: PMC10969306. PMID: c9d83c4fa4e249f8b401c549b2946292.
9. Sakai RH, de Assumpção MS, Ribeiro JD, Sakano E. 2021; Impact of rapid maxillary expansion on mouth-breathing children and adolescents: a systematic review. J Clin Exp Dent. 13:e1258–70. https://doi.org/10.4317/jced.58932. DOI: 10.4317/jced.58932. PMID: 34987719. PMCID: PMC8715551.
10. Garrocho-Rangel A, Rosales-Berber M, Ballesteros-Torres A, Hernández-Rubio Z, Flores-Velázquez J, Yáñez-González E, et al. 2023; Rapid maxillary expansion and its consequences on the nasal and oropharyngeal anatomy and breathing function of children and adolescents: an umbrella review. Int J Pediatr Otorhinolaryngol. 171:111633. https://doi.org/10.1016/j.ijporl.2023.111633. DOI: 10.1016/j.ijporl.2023.111633. PMID: 37421834.
11. Niu X, Di Carlo G, Cornelis MA, Cattaneo PM. 2020; Three-dimensional analyses of short- and long-term effects of rapid maxillary expansion on nasal cavity and upper airway: a systematic review and meta-analysis. Orthod Craniofac Res. 23:250–76. https://doi.org/10.1111/ocr.12378. DOI: 10.1111/ocr.12378. PMID: 32248642.
12. Combs A, Paredes N, Dominguez-Mompell R, Romero-Maroto M, Zhang B, Elkenawy I, et al. 2024; Long-term effects of maxillary skeletal expander treatment on functional breathing. Korean J Orthod. 54:59–68. https://doi.org/10.4041/kjod23.090. DOI: 10.4041/kjod23.090. PMID: 38268461. PMCID: PMC10811361.
13. Matsumoto MA, Itikawa CE, Valera FC, Faria G, Anselmo-Lima WT. 2010; Long-term effects of rapid maxillary expansion on nasal area and nasal airway resistance. Am J Rhinol Allergy. 24:161–5. https://doi.org/10.2500/ajra.2010.24.3440. DOI: 10.2500/ajra.2010.24.3440. PMID: 20338118.
14. Brozek JL, Bousquet J, Baena-Cagnani CE, Bonini S, Canonica GW, Casale TB, et al. 2010; Allergic Rhinitis and its Impact on Asthma (ARIA) guidelines: 2010 revision. J Allergy Clin Immunol. 126:466–76. https://doi.org/10.1016/j.jaci.2010.06.047. DOI: 10.1016/j.jaci.2010.06.047. PMID: 20816182.
15. Clement PA, Gordts F. 2005; Consensus report on acoustic rhinometry and rhinomanometry. Rhinology. 43:169–79. https://pubmed.ncbi.nlm.nih.gov/16218509/.
16. Cappellette M Jr, Alves F, Nagai LHY, Fujita RR, Pignatari SSN. 2017; Impact of rapid maxillary expansion on nasomaxillary complex volume in mouth-breathers. Dental Press J Orthod. 22:79–88. https://doi.org/10.1590/2177-6709.22.3.079-088.oar. DOI: 10.1590/2177-6709.22.3.079-088.oar. PMID: 28746491. PMCID: PMC5525449.
17. Monini S, Malagola C, Villa MP, Tripodi C, Tarentini S, Malagnino I, et al. 2009; Rapid maxillary expansion for the treatment of nasal obstruction in children younger than 12 years. Arch Otolaryngol Head Neck Surg. 135:22–7. https://doi.org/10.1001/archoto.2008.521. DOI: 10.1001/archoto.2008.521. PMID: 19153303.
18. Torre H, Alarcón JA. 2012; Changes in nasal air flow and school grades after rapid maxillary expansion in oral breathing children. Med Oral Patol Oral Cir Bucal. 17:e865–70. https://doi.org/10.4317/medoral.17810. DOI: 10.4317/medoral.17810. PMID: 22322516. PMCID: PMC3482535.
19. Langer MR, Itikawa CE, Valera FC, Matsumoto MA, Anselmo-Lima WT. 2011; Does rapid maxillary expansion increase nasopharyngeal space and improve nasal airway resistance? Int J Pediatr Otorhinolaryngol. 75:122–5. https://doi.org/10.1016/j.ijporl.2010.10.023. DOI: 10.1016/j.ijporl.2010.10.023. PMID: 21093065.
20. Christie KF, Boucher N, Chung CH. 2010; Effects of bonded rapid palatal expansion on the transverse dimensions of the maxilla: a cone-beam computed tomography study. Am J Orthod Dentofacial Orthop. 137(4 Suppl):S79–85. https://doi.org/10.1016/j.ajodo.2008.11.024. DOI: 10.1016/j.ajodo.2008.11.024. PMID: 20381765.
21. Yavan MA, Kaya S, Kervancioglu P, Kocahan S. 2021; Evaluation of effects of a modified asymmetric rapid maxillary expansion appliance on the upper airway volume by cone beam computed tomography. J Dent Sci. 16:58–64. https://doi.org/10.1016/j.jds.2020.05.019. DOI: 10.1016/j.jds.2020.05.019. PMID: 33384779. PMCID: PMC7770327.
22. Baratieri C, Alves M Jr, Bolognese AM, Nojima MC, Nojima LI. 2014; Changes in skeletal and dental relationship in Class II Division I malocclusion after rapid maxillary expansion: a prospective study. Dental Press J Orthod. 19:75–81. https://doi.org/10.1590/2176-9451.19.3.075-081.oar. DOI: 10.1590/2176-9451.19.3.075-081.oar. PMID: 25162569. PMCID: PMC4296618. PMID: fde34976ba24448286bc40372135cbca.
23. Baratieri C, Alves M Jr, Sant'anna EF, Nojima Mda C, Nojima LI. 2011; 3D mandibular positioning after rapid maxillary expansion in Class II malocclusion. Braz Dent J. 22:428–34. https://doi.org/10.1590/s0103-64402011000500014. DOI: 10.1590/S0103-64402011000500014. PMID: 22011901.
24. Tagawa DT, Wolosker AMB, Florez BM, Dominguez GC, Yamashita HK, Aidar LAA, et al. 2024; Temporomandibular joint disc position and shape in patients submitted to two protocols of rapid maxillary expansion and face mask therapy: a randomized clinical trial. Orthod Craniofac Res. 27:615–25. https://doi.org/10.1111/ocr.12777. DOI: 10.1111/ocr.12777. PMID: 38456750.
25. Carvalho PTA, Junior MC, Wandalsen GF, Solé D. 2023; Rapid maxillary expansion and nasal patency in mouth breathing children with maxillary atresia due to or not due to allergic rhinitis. Allergol Immunopathol (Madr). 51:55–62. https://doi.org/10.15586/aei.v51i4.853. DOI: 10.15586/aei.v51i4.853. PMID: 37422780.
Figure 1
Nasal and maxillary widths measured in the coronal sections of computed tomography scans: nasal width 1, nasal width 2, maxillary width 1, maxillary width 2, and maxillary width 3.
Figure 2
Flowchart with the examinations performed and the number of participants at each follow-up, before and after RME.
T1, initial time; T2, 6 months after rapid maxillary expansion (RME); T3, 10 months after RME; T4, 14 months after RME; T5, 18 months after RME; T6, 8 years after RME. AR, acoustic rhinometry; AAR, active anterior computerized rhinomanometry; CT, computed tomography; n, number of participants.
Figure 3
Graphs representing statistically significant results for MCA1 and inspiratory nasal resistance over 8 years of follow-up.
T1, initial time; T2, 6 months after rapid maxillary expansion (RME); T3, 10 months after RME; T4, 14 months after RME; T5, 18 months after RME; T6, 8 years after RME.
Figure 4
Computed tomography mean measurements of the nasal and maxillary transverse widths at initial time, 6 months after rapid maxillary expansion (RME) and 8 years after RME. A, Nasal width 1; B, nasal width 2; C, maxillary width 1; D, maxillary width 2; E, maxillary width 3.
Figure 5
Percentage distribution of Angle’s molar Class I, II, and III assessed at initial time, 6 months after rapid maxillary expansion (RME), and 8 years after RME.
Table 1
Results of the acoustic rhinometry examinations carried out over an 8-year follow-up period
Table 2
Results of active anterior computed rhinomanometry examinations carried out over an 8-year follow-up
Table 3
Nasal and maxillary tomographic transverse widths at different measurement points assessed over three time points



PDF
Citation
Print



XML Download