Abstract
Background/Aims
Cholecystectomy for gallbladder (GB) polyps is performed primarily based on preoperative images. This study examined the accuracy of surgical indications commonly used in clinical practice for detecting neoplastic polyps and investigated further clues for predicting neoplastic polyps.
Methods
This retrospective study included 385 patients who underwent a cholecystectomy for GB polyps. The predictive performances of seven surgical indications were compared by fitting the receiver operating characteristic curves. Logistic regression analysis was used to identify the candidate variables associated with predicting neoplastic polyps.
Results
Neoplastic polyps were identified in 18.9% (n=62) of the 385 patients assessed. The neoplastic group contained more females than males, larger polyps, more frequent solitary lesions, and lower platelet counts than the non-neoplastic group. Current surgical indications revealed an unsatisfactory prediction for neoplastic polyps. The optimal cutoff polyp size for neoplastic polyps by ultrasound (US) was larger than by computed tomography (CT) (12 mm vs. 10 mm). The proportion of pathologic neoplastic polyps was higher when both US and CT images were used than that predicted using a single test. Logistic regression analysis revealed larger polyps, increasing age, female sex, and lower platelet count to be associated with neoplastic polyps.
Conclusions
The current indications for cholecystectomy in GB polyps have a low predictive value for neoplastic lesions that can lead to overtreatment. Combining the polyp size from US and CT images may reduce unnecessary surgery. In addition, knowledge of the patient's age, sex, and platelet count could help make more selective surgical decisions for neoplastic polyps.
The prevalence of gallbladder (GB) polyps in adults was reported to be 0.3 to 9.96% and is expected to increase with an aging society and more accessible health screening.1,2 Although most GB polyps are discovered incidentally on abdominal ultrasonography (US) or computed tomography (CT) scans and do not require treatment, neoplastic lesions should be treated because they can progress to GB cancer.3,4 Laparoscopic cholecystectomy is a highly effective treatment for GB polyps that can lead to less pain, shorter hospital stays, and a better quality of life. On the other hand, there is a risk of post-cholecystectomy syndrome, which can cause various gastrointestinal symptoms, such as indigestion, abdominal pain, or steatorrhea.5 Furthermore, the post-cholecystectomy state may increase the risk of metabolic diseases such as cardiovascular disease and diabetes.6-8 Therefore, individualized decision-making for each patient is essential to reduce the incidence of unnecessary cholecystectomies.
Clinical guidelines have proposed treatment algorithms for GB polyps based on the clinical factors.9-11 On the other hand, cholecystectomy was performed in several cases according to guidelines out of concern for a neoplastic polyp, but the pathology specimen confirmed a non-neoplastic condition that did not require treatment.12 Furthermore, most guidelines do not specify the roles and limitations of CT and US in predicting GB neoplastic polyps. Several studies have proposed advanced diagnostic modalities, such as artificial intelligence or endoscopic ultrasound, for a better preoperative prediction of neoplastic polyps.12-15 These innovative techniques are still under development and have limitations in terms of accessibility.
This study assessed the real-world utility of seven surgical indications for cholecystectomy, as outlined in the clinical practice guidelines, in predicting neoplastic GB polyps. In addition, this study aimed to identify candidate factors that could enhance the preoperative prediction of neoplastic lesions.
This study was approved by the Institutional Review Board of the authors' institution (June 15, 2023, approval number VC23RISI0135) and was conducted following the Declaration of Helsinki. The participants' data were anonymized before analysis to ensure privacy and confidentiality. Informed consent was not required because of the nature of the study.
This retrospective study recruited patients who underwent cholecystectomy for GB polyps at the authors' institution between May 2009 and December 2019. Those with identified surgical indications through medical record review were included in the study population. Patients with insufficient clinical or preoperative imaging data were excluded. Fig. 1 presents the recruitment and dropout process of the study population.
The patients’ demographic information, including age, sex, weight, height, smoking and drinking habits, and accompanying medical history, was collected. The preoperative laboratory findings, including tumor markers, e.g., carcinoembryonic antigen (CEA) and CA 19-9, were also collected. The indications for cholecystectomy for GB polyps were classified into the following seven categories by referring to the literature: 1) polyp size >10 mm, 2) increase in polyp size during follow-up, 3) symptomatic patients, 4) patients aged ≥50 years, 5) concomitant gallstones, 6) a single lesion, and 7) a sessile morphology.9-11 Multiple surgical indications for each patient were reflected separately in each corresponding item. The preoperative imaging was interpreted by a single radiologist who reviewed the preoperative CT images of the GB to assess the number, size, shape, and associated findings of GB polyps. Three clinicians with more than two years of clinical experience in pancreaticobiliary diseases reviewed the preoperative US images. One clinician investigated the findings on the examiner's reports, while the other clinician reinterpreted all preoperative images for cross-validation. The three clinicians resolved discrepancies between the examiner's reports by conducting an additional image review and discussion before determining the final findings based on unanimous consensus. The presence of gallstones or GB wall thickening (defined as cases in which the measured wall thickness was >4 mm16,17) in the preoperative images was noted. The pathology reports of surgical specimens were also reviewed. The study group was divided into two groups based on the pathology reports: neoplastic polyps (polyps containing an adenomatous component or cancer cells) or non-neoplastic polyps (including cases with no polyp on the surgical specimen). This study compared the differences in demographics, medical history, laboratory findings, surgical indications, preoperative imaging, and pathological characteristics of patients with and without neoplastic polyps.
A receiver operating characteristic (ROC) curve was plotted for each surgical indication. The area under the curve (AUC), sensitivity, specificity, and positive and negative predictive values for each surgical indication were calculated to compare the predictive performance for neoplastic polyps. The same approach was used for the polyp size alone in US and CT separately. The cutoff value for the polyp size in the US and CT images for the optimal AUC value was also obtained. Logistic regression analysis was also conducted on the clinical variables and surgical indications to ascertain the factors associated with neoplastic polyps.
The continuous variables are presented as the mean and standard deviation (SD), and categorical variables are presented as frequency and percentage. The differences among variables were analyzed using a Student's t-test or Wilcoxon– Mann–Whitney tests for the continuous variables and Chi-square or Fisher's exact tests for the categorical variables. Univariate logistic regression analysis was performed for each candidate variable, with pathological neoplastic polyps as the outcome variable, to identify the candidate predictors of neoplastic polyps. Subsequent multivariate analysis was performed on the variables with p<0.2 in univariate analysis. The final regression model was fitted using stepwise backward regression based on the multivariable analysis results. The R-4.2.2 program (The R Foundation for Statistical Computing, r-project.org) was used for all statistical analyses and data visualization.
The data for 385 patients were analyzed (mean age, 49.9 years; 55.6% males). Except for two patients, the study group underwent a laparoscopic cholecystectomy. The mean CEA and CA 19-9 levels before the cholecystectomy were within the normal ranges (Table 1). Among the surgical indications, cholecystectomy for polyp sizes larger than 10 mm was most common (78.2%), followed by a single lesion, concomitant gallstones, and symptomatic patients (Supplementary Table 1).
Table 2 lists the results of preoperative imaging studies and the pathological findings of surgical specimens. The mean size of the measurable polyps was larger in the US images than in the CT images. Three hundred and twenty- eight patients (85.2%) had actual polyps in their surgical specimens; more than half (58.5%, n=192) had two or more polyps. Cases with more than four polyps or concomitant gallstones were observed more frequently in pathological specimens compared to the preoperative images of the same patient. Concomitant gallstones were observed more frequently in pathological specimens than in preoperative imaging (32.7% vs. 18.4%, p<0.001).
The cholesterol polyp (n=231, 70.4%) was the most prevalent type of GB polyp observed. Neoplastic polyps were identified in 62 patients (18.9%), with 13 of them being diagnosed with GB cancer.
Patients with neoplastic polyps in the cholecystectomy specimens were older and comprised more females than those with non-neoplastic polyps. No significant differences in body mass index, concomitant diseases, alcohol consumption, or smoking habits were observed between the two groups. The preoperative laboratory findings showed that the neoplastic polyp group had lower platelet counts than the non-neoplastic polyp group. The neoplastic polyp group exhibited a significantly higher rate of polyps >10 mm and a larger mean polyp size measured on CT and US (p<0.001). The pathological results showed that the neoplastic polyp group had larger polyps and a higher proportion of solitary lesions than those in the non-neoplastic polyp group. On the other hand, concomitant gallstones were observed more commonly in the non-neoplastic polyp group (Table 3).
Fig. 2 shows the ROC curves and predictive performances of the seven surgical indications for predicting neoplastic polyps. The AUC values for individual surgical indications were unsatisfactory, ranging from 0.5 to 0.6. The surgical indication with the highest AUC value was 'polyp size >10 mm' in the preoperative images (AUC 0.601, sensitivity 95.2%, specificity 25.1%). The three surgical indications—'polyp size ≥10 mm,' 'increase in polyp size,' and 'patient's age ≥50 years'—showed a high sensitivity of over 90% despite the poor specificity. In contrast, the surgical indications, 'symptomatic patients' and 'a sessile morphology,' showed reasonable specificities of 87.0% and 90.1%, respectively, while their sensitivity remained very low.
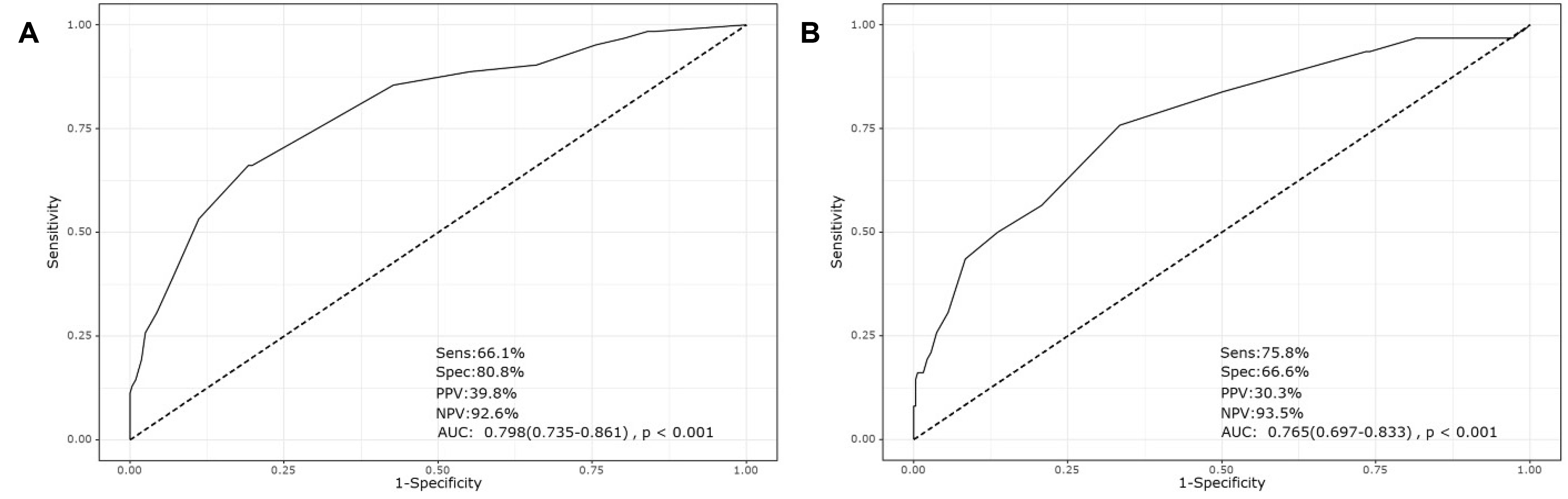
In the surgical specimens, GB polyps measuring 10 mm or more showed a significantly higher proportion of neoplastic lesions (77.4% vs. 26.0%, p<0.05). Regarding the preoperative imaging findings, Fig. 3 shows the predictive performances of neoplastic polyps based on the polyp size, as observed on both abdominal CT and US. The polyp size in the abdominal CT images showed a slightly higher AUC value than in the US images (CT: 0.798; US: 0.765). The optimal cutoff value was set higher in US than in CT (12 mm vs. 10 mm). At this cutoff, both methods exhibited similar diagnostic performances. When using a 10 mm cutoff size for polyps in the US images, as commonly recommended in the clinical guidelines, the sensitivity for predicting neoplastic lesions was superior to CT (93.5% vs. 66.1%). On the other hand, specificity and positive predictive value (PPV) were significantly lower than with a 12 mm cutoff size (specificity: 26.6%; PPV: 19.7%).
The proportion of pathologic neoplastic polyps was 30.3% (47 out of 155) when a 12 mm cutoff size was applied to the US images (Table 4). When combined with a 10 mm cutoff size for polyp size on CT, the frequency of pathological neoplastic polyps was significantly higher in those who had polyps ≥10 mm on CT (46.1% vs. 15.2%, p<0.05), suggesting that combining US and CT size measurements can reduce the number of cases of cholecystectomy for non-neoplastic polyps compared to making decisions based solely on the size from US images.
Among seven surgical indications, the patient's age and polyp size were used as variables. Separate logistic regression analyses were conducted based on the polyp size from either CT or US (Tables 5 and 6). Based on univariate analysis, the following variables were selected for multivariate analysis: polyp size, sessile morphology, age, sex, platelet count, and gamma- glutamyl transferase. After stepwise selection, the final multivariable regression model included four variables: polyp size on the CT or US images, age, sex, and platelet count. Larger polyps, older age, female sex, and lower preoperative platelet count were associated with a higher likelihood of pathological neoplastic polyps. The results were consistent regardless of the measurement modality used for the polyp size (i.e., CT or US).
This study examined the indicators for predicting neoplastic polyps before cholecystectomy in patients with GB polyps. Among the 385 patients who underwent cholecystectomy for GB polyps, more than 80% of patients had non-neoplastic polyps or no polypoid lesions, suggesting that they did not require surgery. Hence, the current surgical indications of cholecystectomy for GB polyps have an unsatisfactory ability to predict the presence of neoplastic polyps. The polyp size in the US and CT images was the most influential variable in predicting neoplastic polyps. A more selective surgical decision could be made for neoplastic polyps by combining the findings of CT and US rather than relying on a single imaging modality. In addition to the polyp size, the patient's age, sex, and preoperative platelet count were also clinical variables associated with neoplastic GB polyps.
Adenomatous polyps are representative GB neoplastic polyps, accounting for approximately 5–10% of all GB polyps.18,19 Adenomatous polyps have the risk of progression to adenocarcinoma, and adenoma-to-carcinoma conversion is considered a crucial mechanism of carcinogenesis.20 The proportion of adenomatous polyps identified in this study was 16.2% (n=62), which was higher than that reported in previous studies, possibly because the study group included patients who had undergone cholecystectomy only for GB polyps.
The GB polyp size measured using US or CT had the greatest influence in predicting neoplastic polyps. Many clinical guidelines have shown that a preoperative polyp size larger than 10 mm is the most crucial clue for treatment decision- making for GB polyps.9-11 In the present analysis, the optimal cutoff value for the GB polyp size on CT for neoplastic polyp discrimination was 10 mm, which is consistent with existing guidelines and with favorable sensitivity, specificity, and AUC values. Nevertheless, differing opinions exist on whether the 1 cm polyp size criterion is insufficient for diagnosing neoplastic polyps.18,21 In a large-scale cohort analysis conducted in the Netherlands, the indication for surgery with a polyp size of 1 cm had moderate diagnostic accuracy. Moreover, approximately one-third of patients received unnecessary treatment, assuming that cholecystectomy had been performed based on the size criterion alone.21 In addition, considering the varying cutoff values for polyp size suggested by several studies,22,23 the heterogeneity of the study groups or different applications of measuring modalities may account for the non-concordance of the proposed cutoffs. Similarly, the data showed that the optimal cutoff polyp size for neoplastic polyps differed between CT and US: CT showed a smaller cutoff polyp size than US (10 mm vs. 12 mm). Further research will be needed to establish the optimal preoperative imaging criteria for cholecystectomy decisions based on the GB polyp size.
Abdominal US is a commonly used imaging modality for the initial detection of GB polyps, and a cholecystectomy is often decided based on the US findings at the time of diagnosis. Abdominal CT is also used for a preoperative evaluation when it is accessible, depending on the region and country.24 Compared to CT, US has high accessibility, real-time imaging, and no radiation risk. US is a useful screening tool for GB polyps, but its reported sensitivity and false positivity rates are approximately 36–90% and 6–43%, respectively.25 Considering that the examiner's subjectivity can influence US, the size of the lesions detected during image acquisition may be overestimated. In addition, US has limitations, including the potential for interference from artifacts such as bowel gas or excessive visceral fat. In decision-making, relying solely on the polyp size obtained from US images could lead to inappropriate treatment.
The proportion of neoplastic polyps was remarkably higher in patients who met the 10 mm cutoff on CT and the 12 mm cutoff on US compared to the other cases. Hence, combining these two imaging techniques can reduce unnecessary treatments and prevent missing polyps that should be resected. CT helps evaluate GB polyps larger than 5 mm and can determine the presence of hepatic invasion, regional lymph nodes, or distant metastasis.26 CT can also help predict neoplastic polyps by revealing polyps on plain images or showing indistinct margins or hyperenhancement on contrast- enhanced images.27 Considering the characteristics of each imaging modality, improved decision-making for GB polyps may be achieved using these two modalities concurrently during preoperative examinations because they complement each other. Future research should determine how CT and US can best complement each other in diagnosing neoplastic GB polyps.
Older age, female sex, and lower platelet count were also associated with neoplastic polyps according to multivariable logistic regression analysis. A positive correlation between the risk of neoplastic polyps and increasing age was confirmed, likely reflecting the average age of patients diagnosed with GB polyps (60–70 years old).28 Females had a higher risk than males, consistent with results from a previous report.29 Several studies have reported a potential relationship between solid organ malignancies (including GB cancer) and platelet count. On the other hand, most of these studies focused on thrombocytosis rather than decreased platelet count.30 The data showed a negative correlation between neoplastic polyps and the platelet count. Nevertheless, considering the low odds ratio in logistic regression analysis, further studies with more robust data will be needed to validate the association between thrombocytopenia and GB neoplastic polyps.
In contrast, coexisting gallstones were observed more frequently in pathologic reports of the non-neoplastic polyp group, with 114 patients (35.3%). The correlation between gallstones and GB polyps is still controversial. In the present data, among these 114 patients, cholesterol polyps were most common, accounting for 76 cases, suggesting that cholesterol metabolism plays a role in the shared mechanism underlying the formation of cholesterol polyps and gallstones. In particular, in 35 patients (30.7%), no gallbladder polyps were identified in the surgical specimens, suggesting that gallstones may be misinterpreted as polyps on preoperative imaging. This underscores the need for careful differentiation between polypoid lesions and gallstones during preoperative evaluation to avoid unnecessary surgeries.
This study had several limitations. First, access to more detailed information on the relevant variables of the neoplastic polyps, such as comorbidities, smoking, and alcohol consumption, was limited owing to the retrospective design. Second, potential bias may have occurred based on region, country, and ethnicity because the study was conducted at a single institution in Asia, making it difficult to generalize the findings. Multi-institutional prospective approaches are required for subsequent research. Third, verification of the level of imaging equipment and observers might be insufficient because this study analyzed preoperative US or CT images obtained by other institutions. Potential confounding factors might influence the interpretation of variables, such as polyp size and GB wall thickening, because interobserver bias is more likely in US than in CT. An attempt was made to compensate by having all imaging data of the study participants reviewed again by an experienced gastroenterologist. Finally, a novel risk stratification model or scoring system could not be proposed for neoplastic GB polyps because of data limitations. Instead, this study focused on identifying the clinical variables that could improve diagnostic accuracy. Future studies involving large-scale cohorts will be necessary to develop and validate a comprehensive risk stratification model.
In conclusion, the current surgical indications for GB polyps are still insufficient for the preoperative discrimination of neoplastic lesions. Nevertheless, combining CT and US, each with optimized criteria, can lead to more accurate treatment. Potential indications, such as sex, age, and platelet count, should be examined further to develop individualized risk models for neoplastic GB polyps.
Supplementary material is available at the Korean Journal of Gastroenterology website (https://www.kjg.or.kr/).
ACKNOWLEDGEMENTS
We would like to express our gratitude to everyone who worked in providing care for patients involved in this study.
REFERENCES
1. Myers RP, Shaffer EA, Beck PL. 2002; Gallbladder polyps: epidemiology, natural history and management. Can J Gastroenterol. 16:187–194. DOI: 10.1155/2002/787598. PMID: 11930198.

2. Wiles R, Thoeni RF, Barbu ST, et al. 2017; Management and follow-up of gallbladder polyps: Joint guidelines between the European Society of Gastrointestinal and Abdominal Radiology (ESGAR), European Association for Endoscopic Surgery and other Interventional Techniques (EAES), International Society of Digestive Surgery - European Federation (EFISDS) and European Society of Gastrointestinal Endoscopy (ESGE). Eur Radiol. 27:3856–3866. DOI: 10.1007/s00330-017-4742-y. PMID: 28185005. PMCID: PMC5544788.
3. Kozuka S, Tsubone N, Yasui A, Hachisuka K. 1982; Relation of adenoma to carcinoma in the gallbladder. Cancer. 50:2226–2234. DOI: 10.1002/1097-0142(19821115)50:10<2226::AID-CNCR2820501043>3.0.CO;2-3. PMID: 7127263.

4. Park JY, Hong SP, Kim YJ, et al. 2009; Long-term follow up of gallbladder polyps. J Gastroenterol Hepatol. 24:219–222. DOI: 10.1111/j.1440-1746.2008.05689.x. PMID: 19054258.

5. Shirah BH, Shirah HA, Zafar SH, Albeladi KB. 2018; Clinical patterns of postcholecystectomy syndrome. Ann Hepatobiliary Pancreat Surg. 22:52–57. DOI: 10.14701/ahbps.2018.22.1.52. PMID: 29536056. PMCID: PMC5845611.

6. Di Ciaula A, Garruti G, Wang DQ, Portincasa P. 2018; Cholecystectomy and risk of metabolic syndrome. Eur J Intern Med. 53:3–11. DOI: 10.1016/j.ejim.2018.04.019. PMID: 29706426. PMCID: PMC8118133.

7. Andrén-Sandberg A. 2012; Diagnosis and management of gallbladder polyps. N Am J Med Sci. 4:203–211. DOI: 10.4103/1947-2714.95897. PMID: 22655278. PMCID: PMC3359430.

8. Latenstein CSS, Alferink LJM, Darwish Murad S, Drenth JPH, van Laarhoven CJHM, de Reuver PR. 2020; The association between cholecystectomy, metabolic syndrome, and nonalcoholic fatty liver disease: A population-based study. Clin Transl Gastroenterol. 11:e00170. DOI: 10.14309/ctg.0000000000000170. PMID: 32352682. PMCID: PMC7263655.

9. Foley KG, Lahaye MJ, Thoeni RF, et al. 2022; Management and follow-up of gallbladder polyps: updated joint guidelines between the ESGAR, EAES, EFISDS and ESGE. Eur Radiol. 32:3358–3368. DOI: 10.1007/s00330-021-08384-w. PMID: 34918177. PMCID: PMC9038818.

10. Kamaya A, Fung C, Szpakowski JL, et al. 2022; Management of incidentally detected gallbladder polyps: society of radiologists in ultrasound consensus conference recommendations. Radiology. 305:277–289. DOI: 10.1148/radiol.213079. PMID: 35787200.

11. Aziz H, Hewitt DB, Pawlik TM. 2022; Critical analysis of the updated guidelines for management of gallbladder polyps. Ann Surg Oncol. 29:3363–3365. DOI: 10.1245/s10434-022-11701-2. PMID: 35419760.

12. Tsuji S, Sofuni A, Moriyasu F, et al. 2012; Contrast-enhanced ultrasonography in the diagnosis of gallbladder disease. Hepatogastroenterology. 59:336–340. DOI: 10.5754/hge11447. PMID: 21940376.

13. Chantarojanasiri T, Kongkam P. 2017; Endoscopic ultrasound elastography for solid pancreatic lesions. World J Gastrointest Endosc. 9:506–513. DOI: 10.4253/wjge.v9.i10.506. PMID: 29085561. PMCID: PMC5648993.

14. Kim T, Choi YH, Choi JH, Lee SH, Lee S, Lee IS. 2021; Gallbladder polyp classification in ultrasound images using an ensemble convolutional neural network model. J Clin Med. 10:3585. DOI: 10.3390/jcm10163585. PMID: 34441881. PMCID: PMC8396835.

15. Fei X, Lu WP, Luo YK, et al. 2015; Contrast-enhanced ultrasound may distinguish gallbladder adenoma from cholesterol polyps: a prospective case-control study. Abdom Imaging. 40:2355–2363. DOI: 10.1007/s00261-015-0485-x. PMID: 26082060.

16. Saverymuttu SH, Grammatopoulos A, Meanock CI, Maxwell JD, Joseph AE. 1990; Gallbladder wall thickening (congestive cholecystopathy) in chronic liver disease: a sign of portal hypertension. Br J Radiol. 63:922–925. DOI: 10.1259/0007-1285-63-756-922. PMID: 2268760.

17. Alotaibi AM. 2023; Gallbladder wall thickness adversely impacts the surgical outcome. Ann Hepatobiliary Pancreat Surg. 27:63–69. DOI: 10.14701/ahbps.22-067. PMID: 36536504. PMCID: PMC9947375.

18. McCain RS, Diamond A, Jones C, Coleman HG. 2018; Current practices and future prospects for the management of gallbladder polyps: A topical review. World J Gastroenterol. 24:2844–2852. DOI: 10.3748/wjg.v24.i26.2844. PMID: 30018479. PMCID: PMC6048427.

19. Kim KH. 2021; Gallbladder polyps: evolving approach to the diagnosis and management. Yeungnam Univ J Med. 38:1–9. DOI: 10.12701/yujm.2020.00213. PMID: 33045805. PMCID: PMC7787897.

20. Roa I, de Aretxabala X, Araya JC, Roa J. 2006; Preneoplastic lesions in gallbladder cancer. J Surg Oncol. 93:615–623. DOI: 10.1002/jso.20527. PMID: 16724345.

21. Wennmacker SZ, van Dijk AH, Raessens JHJ, et al. 2019; Polyp size of 1 cm is insufficient to discriminate neoplastic and non-neoplastic gallbladder polyps. Surg Endosc. 33:1564–1571. DOI: 10.1007/s00464-018-6444-1. PMID: 30203209. PMCID: PMC6484812.

22. Güneş Y, Taşdelen İ, Ergin A, et al. 2022; A new risk scoring system to predict malignancy in gallbladder polyps: A single-center study. J Gastrointest Surg. 26:1846–1852. DOI: 10.1007/s11605-022-05351-8. PMID: 35581462.

23. Kwon W, Jang JY, Lee SE, Hwang DW, Kim SW. 2009; Clinicopathologic features of polypoid lesions of the gallbladder and risk factors of gallbladder cancer. J Korean Med Sci. 24:481–487. DOI: 10.3346/jkms.2009.24.3.481. PMID: 19543513. PMCID: PMC2698196.

24. Ali TA, Abougazia AS, Alnuaimi AS, Mohammed MAM. 2021; Prevalence and risk factors of gallbladder polyps in primary health care centers among patients examined by abdominal ultrasonography in Qatar: a case-control study. Qatar Med J. 2021:48. DOI: 10.5339/qmj.2021.48. PMID: 34660216. PMCID: PMC8501236.

25. Lee ES. 2014; Recent updates on the diagnosis and management of gallbladder polyps. Korean J Pancreas Biliary Tract. 19:64–70. DOI: 10.15279/kpba.2014.19.2.64.

26. Jang JY, Kim SW, Lee SE, et al. 2009; Differential diagnostic and staging accuracies of high resolution ultrasonography, endoscopic ultrasonography, and multidetector computed tomography for gallbladder polypoid lesions and gallbladder cancer. Ann Surg. 250:943–949. DOI: 10.1097/SLA.0b013e3181b5d5fc. PMID: 19855259.

27. Sadamoto Y, Oda S, Tanaka M, et al. 2002; A useful approach to the differential diagnosis of small polypoid lesions of the gallbladder, utilizing an endoscopic ultrasound scoring system. Endoscopy. 34:959–965. DOI: 10.1055/s-2002-35859. PMID: 12471539.

28. Konstantinidis IT, Deshpande V, Genevay M, et al. 2009; Trends in presentation and survival for gallbladder cancer during a period of more than 4 decades: a single-institution experience. Arch Surg. 144:441–447. discussion 447DOI: 10.1001/archsurg.2009.46. PMID: 19451486.

29. Rahman R, Simoes EJ, Schmaltz C, Jackson CS, Ibdah JA. 2017; Trend analysis and survival of primary gallbladder cancer in the United States: a 1973-2009 population-based study. Cancer Med. 6:874–880. DOI: 10.1002/cam4.1044. PMID: 28317286. PMCID: PMC5387125.

30. Wang RT, Zhang LQ, Mu YP, et al. 2015; Prognostic significance of preoperative platelet count in patients with gallbladder cancer. World J Gastroenterol. 21:5303–5310. DOI: 10.3748/wjg.v21.i17.5303. PMID: 25954104. PMCID: PMC4419071.

Fig. 2
Receiver operating characteristic curves of surgical indications for predicting neoplastic polyp, (A) polyp size ≥10 mm; (B) increase in polyp size; (C) a symptomatic patient; (D) age ≥50 years; (E) concomitant gallstone; (F) a single lesion; (G) a sessile morphology. Sens, sensitivity, Spec, specificity; PPV, positive predictive value; NPV, negative predictive value, AUC, area under curve.
Fig. 3
Receiver operating characteristic curves of the gallbladder polyp size for predicting neoplastic polyp, (A) size measured by abdomen CT scan; (B) size measured by abdomen ultrasound. CT, computed tomography; Sens, sensitivity, Spec, specificity; PPV, positive predictive value; NPV, negative predictive value, AUC, area under curve.
Table 1
Baseline Characteristics of the Study Population
Table 2
Findings from Preoperative Imaging Modalities and Pathologic Reports
| Variable | Preoperative images | Pathologic reports | p-value |
|---|---|---|---|
| Polyp size (mm) | 7.4±4.9 (CT) 11.4±4.5 (ultrasound) | 8.9±6.5 | - |
| Increase in polyp size: yes | 39 (available in 68, 57.4) | - | |
| Mean time interval (months) | 14.9±10.8 | - | - |
| Mean size variation (mm) | 3.6±1.4 | - | - |
| Number of polyps | <0.001* | ||
| A single lesion | 221 (57.4) | 136 (41.5) | |
| Two lesions | 60 (15.6) | 46 (14.0) | |
| Three lesions | 31 (8.1) | 24 (7.3) | |
| more than four lesions | 73 (19.0) | 122 (37.2) | |
| Concomitant gallstones: Yes | 71 (18.4) | 126 (32.7) | <0.001* |
| Mean stone size (mm) | 7.5±3.8 | 7.1±4.1 | 0.507 |
| Gallbladder wall thickening: Yesa | 55 (14.3) | 41 (10.6) | 0.156 |
| Mean wall thickness (mm) | 4.7±1.3 | 5.2±2.0 | 0.158 |
Table 3
Differences according to the Presence of Neoplastic Polyp
| Variable | Non-neoplastic (n=323) | Neoplastic (n=62) | p-value |
|---|---|---|---|
| Age (year) | 49.0±12.0 | 54.5±11.0 | 0.001* |
| Sex: male | 191 (59.1) | 23 (37.1) | 0.002* |
| Body mass index (kg/m2) | 24.6±3.5 | 25.1±3.2 | 0.326 |
| Smoking history: yes | 57 (17.6) | 11 (17.7) | 0.990 |
| Alcohol history: yes | 74 (22.9) | 13 (21.0) | 0.866 |
| Diabetes: yes | 37 (11.5) | 9 (14.5) | 0.641 |
| Concomitant malignancy: yes | 17 (5.3) | 4 (6.5) | 0.942 |
| Laboratory findings | |||
| WBC (×109/L) | 6.4±2.0 | 6.4±1.8 | 0.920 |
| Hemoglobin (g/dL) | 14.1±1.6 | 14.3±1.7 | 0.338 |
| Platelet (×109/L) | 260.5±65.9 | 230.8±50.3 | <0.001* |
| Total bilirubin (mg/dL) | 0.8±0.3 | 0.7±0.3 | 0.045 |
| Direct bilirubin (mg/dL) | 0.2±0.1 | 0.2±0.1 | 0.109 |
| AST (IU/L) | 23.5±15.3 | 26.4±11.0 | 0.080 |
| ALT (IU/L) | 25.8±39.3 | 27.1±18.9 | 0.687 |
| ALP (IU/L) | 138.4±77.2 | 134.7±79.0 | 0.731 |
| GGT (U/L) | 31.4±38.4 | 48.6±67.8 | 0.071 |
| CEA (ng/mL) | 2.2±1.9 | 2.9±1.8 | 0.127 |
| CA 19-9 (U/mL) | 7.4±8.8 | 15.7±33.1 | 0.268 |
| Operation indication | |||
| Polyp size ≥10 mm | 242 (74.9) | 59 (95.2) | 0.001* |
| Increase in polyp size | 28 (8.7) | 3 (4.8) | 0.447 |
| Symptomatic patients | 42 (13.0) | 9 (14.5) | 0.907 |
| Age ≥50 years | 30 (9.3) | 3 (4.8) | 0.369 |
| Concomitant gallstone | 68 (21.1) | 8 (12.9) | 0.193 |
| A single lesion | 182 (56.3) | 39 (62.9) | 0.414 |
| A sessile morphology | 32 (9.9) | 12 (19.4) | 0.054 |
| Imaging findings | |||
| CT size (mm) | 6.5±3.7 | 12.2±6.9 | <0.001* |
| CT size ≥10 mm | 62 (19.2) | 41 (66.1) | <0.001* |
| US size (mm) | 10.7±3.2 | 15.4±7.6 | <0.001* |
| US size ≥10 mm | 237 (73.4) | 58 (93.5) | 0.001* |
| Concomitant gallstone: yesa | 65 (20.1) | 6 (9.7) | 0.078 |
| Largest gall stone size (mm) | 7.4±3.8 | 7.8±4.4 | 0.813 |
| Wall thickening: yesb | 43 (13.3) | 12 (19.4) | 0.295 |
| Wall thickness (mm) | 4.8±1.4 | 4.6±1.0 | 0.678 |
| Pathologic feature | |||
| Polyp size (mm) | 7.4±3.8 | 15.2±10.6 | <0.001* |
| A single lesion | 122 (37.2) | 54 (63.5) | <0.001* |
| Concomitant gallstone: yes | 114 (35.3) | 12 (19.4) | 0.021* |
| Largest stone size (mm) | 6.9±4.1 | 8.8±4.5 | 0.280 |
| Wall thickening: yesb | 33 (10.2) | 8 (12.9) | 0.687 |
| Wall thickness (mm) | 5.2±2.1 | 5.3±1.8 | 0.960 |
Table 4
Proportions of Neoplastic Polyps based on the Optimal Cutoff Polyp Size in Abdominal Ultrasound and CT Scan
Table 5
Logistic Regression Analysis of Gallbladder Neoplastic Polyps, Including Polyp Size on CT
| Univariate | Multivariate | Final model | |||||||||
|---|---|---|---|---|---|---|---|---|---|---|---|
| Variables | Estimate | Odds ratio | p-value | Variables | Estimate | Odds ratio | p-value | Variables | Estimate | Odds ratio | p-value |
| Polyp size on CT (mm) | 0.303 | 1.35 | <0.01* | Polyp size on CT (mm) | 0.317 | 1.37 | <0.01* | Polyp size on CT (mm) | 0.315 | 1.37 | <0.01* |
| Increase in polyp size | –0.624 | 0.54 | 0.32 | Concomitant gallstone | –0.287 | 0.75 | 0.60 | Age (years) | 0.047 | 1.05 | <0.01* |
| Symptomatic patients | 0.128 | 1.14 | 0.75 | A sessile morphology | –0.395 | 0.67 | 0.49 | Sex: male | –1.211 | 0.30 | <0.01* |
| Concomitant gallstone | –0.588 | 0.56 | 0.14 | Age (years) | 0.048 | 1.05 | <0.01* | Platelet (×109/L) | –0.008 | 0.99 | 0.01* |
| A single lesion | 0.273 | 1.31 | 0.34 | Sex: male | –1.240 | 0.29 | <0.01* | ||||
| A sessile morphology | 0.781 | 2.18 | 0.04* | Platelet (×109/L) | –0.008 | 0.99 | 0.01* | ||||
| Age (years) | 0.039 | 1.04 | <0.01* | Total bilirubin (mg/dL) | –0.604 | 0.55 | 0.35 | ||||
| Sex: male | –0.898 | 0.41 | <0.01* | AST (IU/L) | 0.011 | 1.01 | 0.41 | ||||
| Body mass index (kg/m2) | 0.039 | 1.04 | 0.33 | GGT (U/L) | 0.001 | 1.00 | 0.83 | ||||
| Smoking history: yes | 0.0253 | 1.03 | 0.95 | ||||||||
| Alcohol history: yes | –0.1135 | 0.89 | 0.74 | ||||||||
| Diabetes: yes | 0.2720 | 1.31 | 0.50 | ||||||||
| Concomitant malignancy: yes | 0.2162 | 1.24 | 0.71 | ||||||||
| WBC (×109/L) | 0.0069 | 1.01 | 0.92 | ||||||||
| Hemoglobin (g/dL) | 0.0853 | 1.09 | 0.34 | ||||||||
| Platelet (×109/L) | –0.0082 | 0.99 | <0.01* | ||||||||
| Total bilirubin (mg/dL) | –0.8672 | 0.15 | 0.08 | ||||||||
| Direct bilirubin (mg/dL) | –2.7595 | 0.00 | 0.23 | ||||||||
| AST (IU/L) | 0.0102 | 0.99 | 0.19 | ||||||||
| ALT (IU/L) | 0.0008 | 0.99 | 0.80 | ||||||||
| ALP (IU/L) | –0.0006 | 1.00 | 0.73 | ||||||||
| GGT (U/L) | 0.0062 | 1.00 | 0.02* | ||||||||
Table 6
Logistic Regression Analysis of Gallbladder Neoplastic Polyps, Including Polyp Size on Ultrasound
| Univariate | Multivariate | Final model | |||||||||
|---|---|---|---|---|---|---|---|---|---|---|---|
| Variables | Estimate | Odds ratio | p-value | Variables | Estimate | Odds ratio | p-value | Variables | Estimate | Odds ratio | p-value |
| Polyp size on US (mm) | 0.245 | 1.28 | <0.01* | Polyp size on US (mm) | 0.2255 | 1.25 | <0.01* | Polyp size on US (mm) | 0.231 | 1.26 | <0.01* |
| Increase in polyp size | -0.624 | 0.54 | 0.32 | Concomitant gallstone | -0.3225 | 0.72 | 0.52 | Age (years) | 0.043 | 1.04 | <0.01* |
| Symptomatic patients | 0.128 | 1.14 | 0.75 | A sessile morphology | -0.0708 | 0.93 | 0.89 | Sex: male | -1.193 | 0.30 | <0.01* |
| Concomitant gallstone | -0.588 | 0.56 | 0.14 | Age (years) | 0.0421 | 1.04 | <0.01* | Platelet (×109/L) | -0.008 | 0.99 | 0.01* |
| A single lesion | 0.273 | 1.31 | 0.34 | Sex: male | -1.2033 | 0.30 | <0.01* | ||||
| A sessile morphology | 0.781 | 2.18 | 0.04* | Platelet (×109/L) | -0.0077 | 0.99 | 0.01* | ||||
| Age (years) | 0.039 | 1.04 | <0.01* | Total bilirubin (mg/dL) | -0.7398 | 0.48 | 0.24 | ||||
| Sex: male | -0.898 | 0.41 | <0.01* | AST (IU/L) | 0.0078 | 1.01 | 0.58 | ||||
| Body mass index (kg/m2) | 0.039 | 1.04 | 0.33 | GGT (U/L) | 0.0007 | 1.00 | 0.83 | ||||
| Smoking history: yes | 0.025 | 1.03 | 0.95 | ||||||||
| Alcohol history: yes | -0.114 | 0.89 | 0.74 | ||||||||
| Diabetes: yes | 0.272 | 1.31 | 0.50 | ||||||||
| Concomitant malignancy: yes | 0.216 | 1.24 | 0.71 | ||||||||
| WBC (×109/L) | 0.007 | 1.01 | 0.92 | ||||||||
| Hemoglobin (g/dL) | 0.085 | 1.09 | 0.34 | ||||||||
| Platelet (×109/L) | -0.008 | 0.99 | <0.01* | ||||||||
| Total bilirubin (mg/dL) | -0.867 | 0.42 | 0.08 | ||||||||
| Direct bilirubin (mg/dL) | -2.760 | 0.06 | 0.23 | ||||||||
| AST (IU/L) | 0.010 | 1.01 | 0.19 | ||||||||
| ALT (IU/L) | 0.001 | 1.00 | 0.80 | ||||||||
| ALP (IU/L) | -0.001 | 1.00 | 0.73 | ||||||||
| GGT (U/L) | 0.006 | 1.01 | 0.02* | ||||||||



PDF
Citation
Print



XML Download