Abstract
Background
Methods
Results
Conclusion
SUPPLEMENTARY MATERIALS
Supplementary Table 1.
Supplementary Table 2.
Supplementary Table 3.
Supplementary Table 4.
Supplementary Table 5.
Supplementary Table 6.
Supplementary Table 7.
Supplementary Table 8.
Supplementary Table 9.
Supplementary Table 10.
Supplementary Table 11.
Supplementary Table 12.
Supplementary Table 13.
Supplementary Table 14.
Supplementary Fig. 1.
Supplementary Fig. 2.
Supplementary Fig. 3.
Supplementary Fig. 4.
Supplementary Fig. 5.
Notes
CONFLICTS OF INTEREST
Cadmon King-poo Lim, Juliana Chung-ngor Chan, and Ronald Ching-wan Ma are co-founders of GemVCare, a technology start-up initiated with support from the Hong Kong Government Innovation and Technology Commission and its Technology Start-up Support Scheme for Universities (TSSSU). The other authors declare that there is no duality of interest associated with this manuscript. Ronald Ching-wan Ma is a member of the international editorial board of Diabetes & Metabolism Journal.
AUTHOR CONTRIBUTIONS
Conception or design: C.H.T., Y.W., C.C.W., J.C.C., W.H.T., X.Y., R.C.M.
Acquisition, analysis, or interpretation of data: all authors.
Drafting the work or revising: C.H.T., C.C.W., X.Y., R.C.M.
Final approval of the manuscript: all authors.
FUNDING
This work was funded by the RGC Theme-based Research Scheme (T12-402/13 N); the Research Impact Fund (R4012-18), and the University Grants Committee Research Grants Matching Scheme. The follow-up of the HAPO Study at Hong Kong f ield center was supported by the General Research Fund of the Research Grants Council of the Hong Kong SAR, China (CUHK 473408, 471713, 14118718, 14102719). The HAPO Study was funded by the National Institute of Child Health and Human Development (grant no. R01-HD34242) and the National Institute of Diabetes and Digestive and Kidney Diseases (grant no. R01-HD34243). The funding sources do not have any role in the design, interpretation of the study, or the decision to publish the results.
ACKNOWLEDGMENTS
REFERENCES
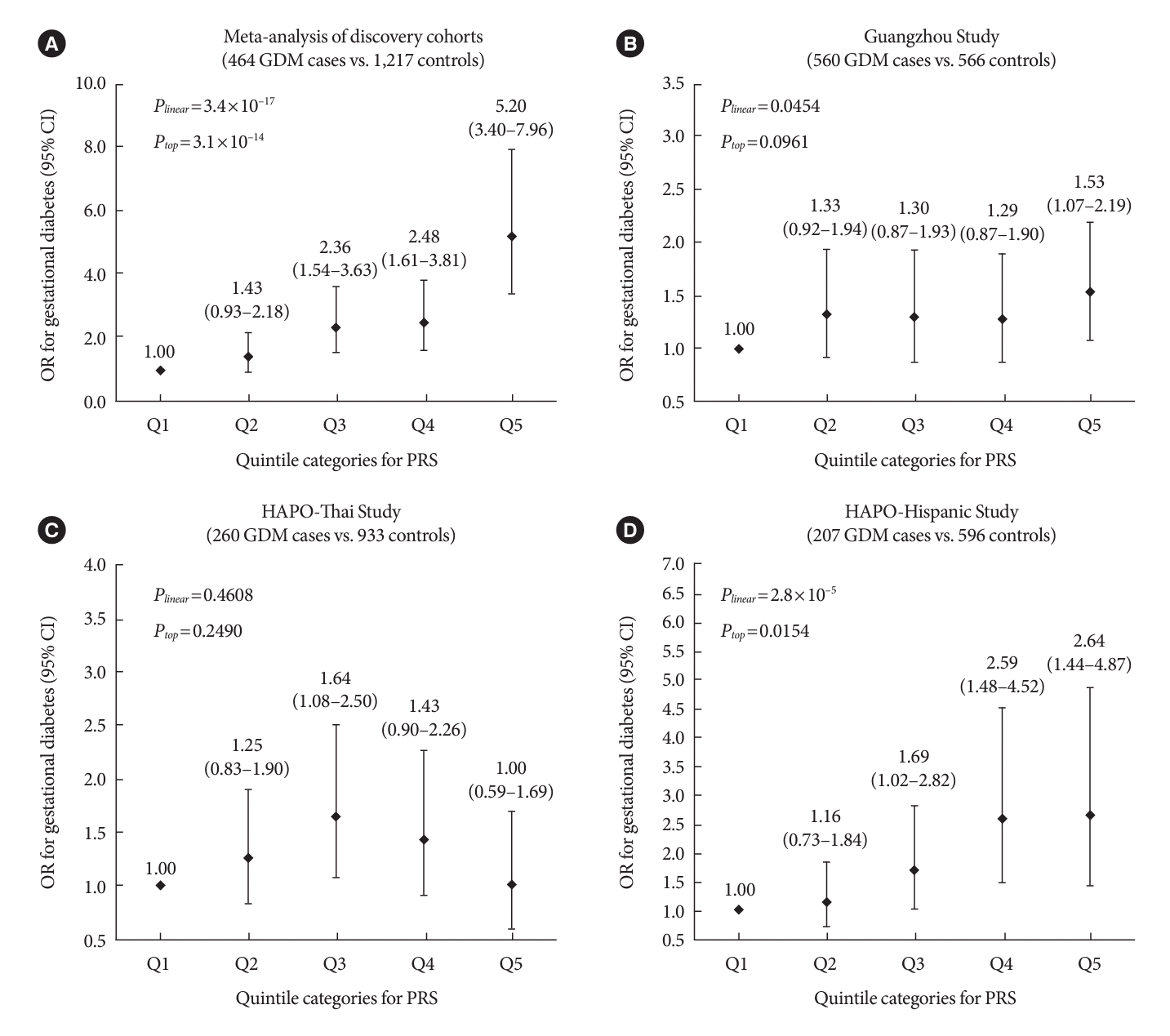
Fig. 1.
Fig. 2.
Fig. 3.
Fig. 4.
Fig. 5.
Table 1.
| Ref | Discovery population | Chr | SNP | Nearest genes(s) | Risk/non-risk allele | Cohort | Imputation quality, Rsq |
Number |
RAF |
Association test |
||||
|---|---|---|---|---|---|---|---|---|---|---|---|---|---|---|
| GDM case | Non-GDM control | GDM case | Non-GDM control | OR (95% CI) | Padditive | PQ | ||||||||
| [19] | Finnish | 2 | rs780094 | GCKR | C/T | HAPO-HK Study | 0.998 | 149 | 811 | 0.560 | 0.527 | 1.21 (0.93–1.57) | 0.1493 | - |
| Tianjin Study | 0.999 | 229 | 226 | 0.491 | 0.433 | 1.28 (0.98–1.68) | 0.0736 | - | ||||||
| TGDM-NDM Study | 0.997 | 86 | 180 | 0.536 | 0.564 | 0.97 (0.66–1.44) | 0.8922 | - | ||||||
| Meta-analysis | - | 464 | 1,217 | - | - | 1.19 (1.00–1.41) | 0.0462 | 0.5160 | ||||||
| [9] | Finnish | 2 | rs780093 | GCKR | C/T | HAPO-HK Study | 1.000 | 149 | 811 | 0.560 | 0.526 | 1.22 (0.94–1.58) | 0.1397 | - |
| Tianjin Study | 1.000 | 229 | 226 | 0.489 | 0.434 | 1.27 (0.97–1.66) | 0.0883 | - | ||||||
| TGDM-NDM Study | 1.000 | 86 | 180 | 0.535 | 0.564 | 0.97 (0.65–1.43) | 0.8678 | - | ||||||
| Meta-analysis | - | 464 | 1,217 | - | - | 1.18 (1.00–1.40) | 0.0511 | 0.5193 | ||||||
| [9] | Finnish | 2 | rs1402837 | SPC25 | T/C | HAPO-HK Study | 0.999 | 149 | 811 | 0.406 | 0.386 | 1.03 (0.79–1.35) | 0.8012 | - |
| Tianjin Study | 1.000 | 229 | 226 | 0.389 | 0.369 | 1.11 (0.85–1.45) | 0.4487 | - | ||||||
| TGDM-NDM Study | 0.999 | 86 | 180 | 0.384 | 0.342 | 1.31 (0.86–1.99) | 0.2120 | - | ||||||
| Meta-analysis | - | 464 | 1,217 | - | - | 1.11 (0.93–1.32) | 0.2453 | 0.6553 | ||||||
| [9] | Finnish | 5 | rs1820176 | PCSK1 | T/C | HAPO-HK Study | 0.978 | 149 | 811 | 0.663 | 0.645 | 1.06 (0.81–1.38) | 0.6835 | |
| Tianjin Study | 0.975 | 229 | 226 | 0.701 | 0.635 | 1.32 (1.01–1.74) | 0.0456 | - | ||||||
| TGDM-NDM Study | 0.982 | 86 | 180 | 0.699 | 0.704 | 0.95 (0.60–1.50) | 0.8133 | - | ||||||
| Meta-analysis | - | 464 | 1,217 | - | - | 1.14 (0.96–1.36) | 0.1434 | 0.3541 | ||||||
| [18] | Korean | 6 | rs7754840a | CDKAL1 | C/G | HAPO-HK Study | 0.989 | 149 | 811 | 0.451 | 0.361 | 1.47 (1.14–1.90) | 3.4×10–3 | - |
| Tianjin Study | 1.000 | 229 | 226 | 0.465 | 0.381 | 1.41 (1.08–1.84) | 0.0110 | - | ||||||
| TGDM-NDM Study | 0.983 | 86 | 180 | 0.353 | 0.346 | 0.92 (0.61–1.38) | 0.6836 | - | ||||||
| Meta-analysis | - | 464 | 1,217 | - | - | 1.33 (1.13–1.58) | 7.9×10–4 | 0.1400 | ||||||
| [8] | Multi-ethnicities | 6 | rs9348441a | CDKAL1 | A/T | HAPO-HK Study | 0.989 | 149 | 811 | 0.445 | 0.341 | 1.59 (1.22–2.06) | 4.9×10–4 | - |
| Tianjin Study | 0.999 | 229 | 226 | 0.445 | 0.376 | 1.34 (1.02–1.75) | 0.0340 | - | ||||||
| TGDM-NDM Study | 0.985 | 86 | 180 | 0.403 | 0.341 | 1.16 (0.79–1.71) | 0.4565 | - | ||||||
| Meta-analysis | - | 464 | 1,217 | - | - | 1.40 (1.18–1.65) | 9.4×10–5 | 0.3808 | ||||||
| [8] | Multi-ethnicities | 9 | rs10811662 | CDKN2A/CDKN2B | G/A | HAPO-HK Study | 0.883 | 149 | 811 | 0.586 | 0.601 | 0.89 (0.68–1.17) | 0.4150 | - |
| Tianjin Study | 0.991 | 229 | 226 | 0.522 | 0.505 | 1.08 (0.83–1.39) | 0.5703 | - | ||||||
| TGDM-NDM Study | 0.869 | 86 | 180 | 0.660 | 0.564 | 1.84 (1.17–2.90) | 0.0084 | - | ||||||
| Meta-analysis | - | 464 | 1,217 | - | - | 1.08 (0.91–1.29) | 0.3789 | 0.0278 | ||||||
| [9] | Finnish | 9 | rs1333051 | CDKN2B | A/T | HAPO-HK Study | 0.873 | 149 | 811 | 0.885 | 0.872 | 1.07 (0.71–1.61) | 0.7449 | - |
| Tianjin Study | 0.996 | 229 | 226 | 0.830 | 0.843 | 0.93 (0.65–1.31) | 0.6688 | - | ||||||
| TGDM-NDM Study | 0.867 | 86 | 180 | 0.901 | 0.861 | 1.57 (0.77–3.19) | 0.2161 | - | ||||||
| Meta-analysis | - | 464 | 1,217 | - | - | 1.04 (0.81–1.33) | 0.7458 | 0.4245 | ||||||
| [8] | Multi-ethnicities | 10 | rs9663238 | HKDC1 | G/A | HAPO-HK Study | 0.990 | 149 | 811 | 0.294 | 0.274 | 1.11 (0.84–1.47) | 0.4693 | - |
| Tianjin Study | 0.996 | 229 | 226 | 0.260 | 0.292 | 0.84 (0.62–1.12) | 0.2343 | - | ||||||
| TGDM-NDM Study | 0.980 | 86 | 180 | 0.339 | 0.271 | 1.40 (0.87–2.24) | 0.1646 | - | ||||||
| Meta-analysis | - | 464 | 1,217 | - | - | 1.03 (0.85–1.24) | 0.7825 | 0.1501 | ||||||
| [9] | Finnish | 10 | rs34872471 | TCF7L2 | C/T | HAPO-HK Study | 0.993 | 149 | 811 | 0.020 | 0.022 | 1.01 (0.41–2.50) | 0.9767 | - |
| Tianjin Study | 0.993 | 229 | 226 | 0.048 | 0.049 | 0.99 (0.53–1.86) | 0.9782 | - | ||||||
| TGDM-NDM Study | 0.990 | 86 | 180 | 0.052 | 0.030 | 1.10 (0.39–3.13) | 0.8543 | - | ||||||
| Meta-analysis | - | 464 | 1,217 | - | - | 1.02 (0.64–1.62) | 0.9391 | 0.9854 | ||||||
| [8] | Multi-ethnicities | 10 | rs7903146 | TCF7L2 | T/C | HAPO-HK Study | 1.000 | 149 | 811 | 0.020 | 0.022 | 1.01 (0.41–2.48) | 0.9823 | - |
| Tianjin Study | 1.000 | 229 | 226 | 0.048 | 0.049 | 0.99 (0.53–1.86) | 0.9804 | - | ||||||
| TGDM-NDM Study | 1.000 | 86 | 180 | 0.052 | 0.031 | 1.10 (0.39–3.11) | 0.8533 | - | ||||||
| Meta-analysis | - | 464 | 1,217 | - | - | 1.02 (0.64–1.62) | 0.9395 | 0.9853 | ||||||
| [18] | Korean | 11 | rs10830962a | MTNR1B | G/C | HAPO-HK Study | 0.879 | 149 | 811 | 0.522 | 0.439 | 1.52 (1.16–2.00) | 2.4×10–3 | - |
| Tianjin Study | 0.995 | 229 | 226 | 0.505 | 0.421 | 1.36 (1.05–1.76) | 0.0180 | - | ||||||
| TGDM-NDM Study | 0.874 | 86 | 180 | 0.504 | 0.384 | 2.01 (1.28–3.16) | 2.6×10–3 | - | ||||||
| Meta-analysis | - | 464 | 1,217 | - | - | 1.51 (1.27–1.79) | 2 | 0.3381 | ||||||
| [8] | Multi-ethnicities | 11 | rs10830963a | MTNR1B | G/C | HAPO-HK Study | 0.775 | 149 | 811 | 0.498 | 0.426 | 1.51 (1.13–2.01) | 5.3×10–3 | - |
| Tianjin Study | 0.812 | 229 | 226 | 0.478 | 0.393 | 1.47 (1.11–1.96) | 7.9×10–3 | - | ||||||
| TGDM-NDM Study | 0.779 | 86 | 180 | 0.486 | 0.357 | 2.22 (1.37–3.60) | 1.2×10–3 | - | ||||||
| Meta-analysis | - | 464 | 1,217 | - | - | 1.58 (1.31–1.91) | 1.5×10–6 | 0.3257 | ||||||
| [9] | Finnish | 16 | rs2926003 | CMIP | C/T | HAPO-HK Study | 0.982 | 149 | 811 | 0.666 | 0.718 | 0.75 (0.57–1.00) | 0.0511 | - |
| Tianjin Study | 0.824 | 229 | 226 | 0.659 | 0.673 | 0.93 (0.68–1.27) | 0.6588 | - | ||||||
| TGDM-NDM Study | 0.987 | 86 | 180 | 0.733 | 0.735 | 0.95 (0.58–1.54) | 0.8255 | - | ||||||
| Meta-analysis | - | 464 | 1,217 | - | - | 0.85 (0.70–1.03) | 0.0919 | 0.5472 | ||||||
ORs were estimated according to the reported risk allele. Padditive was obtained from individual cohort using logistic regression model with the adjustments of age and principal components. PQ was obtained from heterogeneity test (Cochran’s Q test).
Chr, chromosome; SNP, single nucleotide polymorphism; RAF, risk allele frequency; GDM, gestational diabetes mellitus; OR, odds ratio; CI, confidence interval; GCKR, glucokinase regulator; HAPO-HK, Hyperglycemia and Adverse Pregnancy Outcome-Hong Kong; TGDM-NDM, Treated GDM Cases vs. Non-diabetes Controls; SPC25, SPC25 component of NDC80 kinetochore complex; PCSK1, proprotein convertase subtilisin/kexin type 1; CDKAL1, CDK5 regulatory subunit-associated protein 1-like 1; CDKN2A, cyclin dependent kinase inhibitor 2A; HKDC1, hexokinase domain containing 1; TCF7L2, transcription factor 7 like 2; MTNR1B, melatonin receptor 1B; CMIP, c-Maf inducing protein.



PDF
Citation
Print



XML Download