Abstract
Background
Limited data are available on the adverse effects of new-onset diabetes after transplantation (NODAT) in solid organ transplantation (TPL) other than kidney. This study aimed to identify the risk of complications associated with NODAT in recipients of kidney, liver, or heart TPL.
Methods
Using the Korean National Health Insurance Service database, recipients of kidney, liver, or heart TPL between 2009 and 2015 were identified. The incidence of coronary artery disease (CAD), cerebrovascular accident (CVA), and malignancy was compared across groups with NODAT, pretransplant diabetes mellitus (DM), and without DM using Cox regression analysis.
Results
A total of 9,632 kidney, liver, or heart TPL recipients were included. During the median follow-up of 5.9 years, NODAT independently increased the incidence of CAD (hazard ratio [HR], 2.46; 95% confidence interval [CI], 1.39 to 4.30) and overall mortality (HR, 1.48; 95% CI, 1.14 to 1.95) compared to the reference group even after adjustment for confounders; this was more prominent in kidney TPL than in liver TPL. The risk of CVA was significantly increased by pretransplant DM but not by NODAT in both kidney and liver TPL (HR, 2.47; 95% CI, 1.68 to 3.65; and HR, 3.18; 95% CI, 1.07 to 9.48, respectively). NODAT increased the risk of malignancy in the crude model, which lost its statistical significance after confounder adjustment.
• NODAT patients had a 1.5-fold higher mortality risk than those without diabetes.
• NODAT patients had a 2.5-fold increased CAD risk, especially after kidney transplants.
• There was no significant increase in cerebrovascular accident risk in NODAT patients.
• There was no evidence that NODAT or pre-transplant diabetes increased malignancy risk.
In recent years, the number of organ transplants performed as a curative approach for failed organs has grown [1-4]. This increase can be attributed to advancements in transplant procedures and standardized protocols for immunosuppressant use, which have collectively led to progressive improvements in the survival rates of transplant recipients. With the prolonged survival of organ transplant recipients, addressing long-term posttransplant complications is imperative. New-onset diabetes after transplantation (NODAT), which is recognized as one of the predominant metabolic complications following transplantation (TPL) [5], has emerged as the foremost clinical concern.
NODAT is defined as diabetes that develops after TPL, specifically in those who did not have diabetes before the procedure. NODAT is not only associated with diabetic complications but is also closely linked with increased mortality [6-8]. In NODAT patients, an increased incidence of acute complications such as rejection, graft failure [9-11], infections [8], and chronic complications such as cardiovascular and cerebrovascular diseases [12,13] has been reported to be associated with increased mortality [14]. While the exact cause of increased cardiovascular and cerebrovascular diseases in NODAT patients is unclear, comorbid conditions of NODAT such as hypertension, increased insulin resistance, dyslipidemia, and the use of immunosuppressants, which is one of the causes of NODAT, are known to influence cardiovascular and cerebrovascular outcomes [15,16]. However, as the definition of NODAT have been diverse across the studies, the risk of these adverse events associated with NODAT varies [6-13].
Organ transplant recipients have been also reported to exhibit an elevated risk of malignancies, especially renal TPL patients [17-19]. However, the mechanisms underlying the increased risk remain largely unknown. Immunosuppressant use, underlying disease in transplant patients, and dialysis before TPL are suggested risk factors for malignancy in posttransplant patients [20,21]. Diabetes is recognized as a contributing factor to cancer risk. Diabetic patients face an approximately 20% increased risk of developing cancer compared to their non-diabetic counterparts [21-23]. However, limited information exists regarding whether NODAT is an independent risk factor for posttransplant malignancies in the recipients other than kidney TPL.
Therefore, this study aimed to investigate the impact of NODAT on the incidence of malignancy, coronary artery disease (CAD), cerebrovascular accident (CVA), and mortality in patients who underwent liver, and heart TPL as well as kidney TPL by adopting stringent definition of NODAT that excludes transient hyperglycemia requiring antidiabetic medications for less than 30 days using a Korean nationwide database.
The National Health Insurance Service (NHIS) of Korea encompasses a national health insurance system covering approximately 97% of the Korean population. In South Korea, the NHIS, operated by the Ministry of Health and Welfare, mandates that hospitals provide claims data for reimbursement purposes. The NHIS provides access to claims-based information, including age, sex, and socioeconomic status. Moreover, it enables a comprehensive understanding of the types and instances of surgeries performed, tests conducted, types and duration of drug prescriptions, and their frequencies. We utilized the NHIS database from 2007 to 2017 to assess the impact of NODAT on cardiovascular disease, cerebrovascular disease, malignancy, and mortality in patients following kidney, liver, and heart TPLs. This study was approved by the Institutional Review Board (IRB) of the Seoul Metropolitan Government Seoul National University Boramae Medical Center, Seoul, Korea (IRB no. 07-2019-34). Written informed consent by the patients was waived due to a retrospective nature of our study.
Utilizing the NHIS database from 2007 to 2017, we screened 18,763 patients aged 19 years or older out of 19,571 who had undergone kidney, liver, or heart TPL between 2009 and 2015. Patients who underwent kidney, liver, or heart TPL were respectively defined by the following specific NHIS claim codes (V-code) for rare incurable Korean diseases (V005 for kidney TPL, V013 for liver TPL, and V015 for heart TPL), and the date of TPL was defined as the first registration date of the V-code. The exclusion criteria were (1) pre-existing study outcomes, such as malignancy, CVA, and history of CAD (n=4,671) and (2) transient hyperglycemia taking antidiabetic agents less than 30 days after surgery (n=4,250). Employing a 1-year window period, we also excluded patients who developed malignancy, CVA, or CAD within 1 year after surgery (n=200). Finally, 9,632 patients were included in the final analysis. A flow diagram detailing the selection of study subjects is illustrated in Supplementary Fig. 1.
These patients were divided into three groups: non-diabetes mellitus (NonDM) group, patients without diabetes mellitus (DM) (n=4,548); NODAT group, patients with NODAT (n=1,415); and PretrDM group, patients with pretransplant DM (n=3,669). DM was defined as either receiving International Classification of Diseases 10th Revision (ICD-10) codes for DM (E11–E14) more than twice within 1 year or using one or more antidiabetic medications and having ICD-10 codes for DM (E11–E14) at least once within 6 months from the date of the first prescription for antidiabetic medication. The index date for DM was defined as the earlier of either the date when the ICD-10 code for DM was first administered or the date of the first prescription of antidiabetic medication. The NonDM group was defined as patients who had never been diagnosed with DM before or after TPL. The NODAT group included patients whose index date for DM was after TPL, and who had used antidiabetic medications for at least 30 days. The PretrDM group included patients whose index date for DM was before the TPL. The risks of cardiovascular and cerebrovascular events, malignancy, and mortality were compared between the groups.
Post-TPL data regarding the occurrence of CAD, CVA, malignancy, and mortality were also collected. CAD was defined as patients diagnosed with the ICD-10 codes I21 and I22 who had also received inpatient treatment. Stroke was defined as patients diagnosed with ICD-10 codes I63 or I64 who received inpatient care and underwent computed tomography or magnetic resonance image examinations. Malignancy was defined in patients who were assigned specific ICD-10 codes (C16, 18, 22, 34, 44, 50, 53, 61, 64, 73, 77, 78, 79, 83, and 90) and the V193 code. The V193 code is used for patients with cancer to reduce medical costs from the date of diagnosis in the NHIS. The first V193 registration date was defined as the diagnosis date of malignancy in the current study.
Continuous variables are described as mean±standard deviation, and categorical variables are presented as number (%). Comparisons of continuous variables were made using Student’s t-test; the chi-squared test was used for categorical variables. Bonferroni post hoc tests were used for pairwise comparisons among the three groups. The impact of NODAT on CAD, CVA, incident malignancy, and mortality was assessed using the Cox proportional hazards model. The hazard ratio (HR) was calculated for each model by sequentially adjusting for variables, such as age at TPL, sex, type of TPL organ, hypertension, dyslipidemia, and immunosuppressant use. The cumulative incidence curves for CAD, CVA, incident malignancy, and mortality were examined using Kaplan–Meier survival analysis; comparison between groups was performed using Poisson regression with Bonferroni correction for multiple comparison.
A total of 9,632 patients who underwent kidney (n=7,550), liver (n=1,828), or heart (n=254) TPL were analyzed. The proportions of patients with NODAT and PretrDM were 14.7% and 38.1%, respectively (Table 1). From 2009 to 2015, there was an increasing trend in the proportion of individuals with PretrDM and a decreasing trend in the proportion of those with NODAT (P=0.007) (Table 1).
The average age was 43.5±11.1, 50.5±9.9, and 50.7±9.8 years in NonDM, NODAT, and PretrDM groups, respectively. The proportions of males were 55.5%, 60.4%, and 66.7% in NonDM, NODAT, and PretrDM groups, respectively (P<0.001) (Table 1). Comparing the characteristics according to the transplanted organs, the NODAT and PretrDM groups comprised 12.5% and 37.5% of kidney TPL recipients, 21.7% and 41.8% of liver TPL recipients, and 29.9% and 29.1% of heart TPL recipients, respectively, significantly differing between the groups (P<0.001). At 1 year after TPL, tacrolimus usage was significantly higher in the NODAT group than in the NonDM and PretrDM groups (94.0% vs. 89.4% vs. 91.1%, respectively, P<0.001), and the NonDM group showed lower steroid usage than the NODAT and PretrDM groups, despite the small absolute difference (99.7% vs. 100% vs. 100%, P<0.001). The use of cyclosporine A was lower compared to the NonDM group (15.6% vs. 17.8%); however, this difference was not statistically significant (P=0.089). Hypertension and dyslipidemia were more prevalent in the PretrDM group (88.7% vs. 85.4% vs. 93.8%, P<0.001 for hypertension; 47.4% vs. 48.1% vs. 67.1%, P<0.001 for dyslipidemia) (Table 1).
The mean age of the subjects with NODAT was 50.5±9.9 years, and the proportion of males was 60.4% (Table 2). In patients who underwent kidney or liver TPL, the age of those diagnosed with NODAT showed a significant increasing trend (all P for trend <0.001) (Supplementary Table 1). More than 60% of NODAT was detected within 1 month after TPL (64.5%, 70.5%, and 65.8% in the kidney, liver, and heart, respectively), and 85.9% of NODAT developed within 3 months after TPL (82.8%, 92.9%, and 86.8% in the kidney, liver, and heart, respectively) (Table 2).
At the time of NODAT diagnosis, oral antidiabetics (OAD) were used in 64.7% of patients, and insulin was used in 69.5% of patients with NODAT to manage hyperglycemia. Three months after TPL, the prevalence of insulin use did not decrease (69.5% of all patients with NODAT), and OAD was prescribed to 85.2% of patients with NODAT (Table 2). The percentages of patients with NODAT receiving tacrolimus, cyclosporine, and mycophenolate mofetil were 89.5%, 11.4%, and 84.3%, respectively. Compared with patients who underwent kidney TPL, those who underwent liver or heart TPL tended to have a higher usage of tacrolimus, whereas cyclosporin A was more commonly used in kidney transplant patients. Pre-TPL hypertension and dyslipidemia were observed in 85.4% and 48.1% of the patients with NODAT, respectively (Table 2).
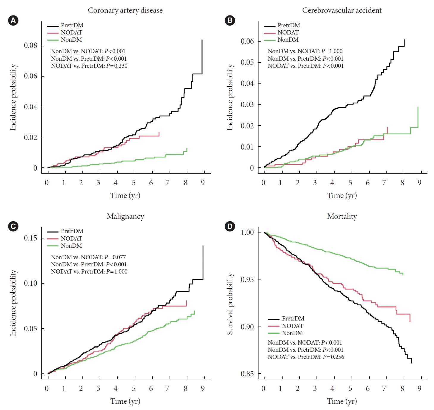
During the median follow-up of 5.9 years (interquartile range, 4.3 to 7.6), the incidence rate of CAD was 1.1/1,000 person-year (PY), 3.4/1,000 PY, and 5.1/1,000 PY in the NonDM-, NODAT-, and PretrDM groups, respectively (Table 3). The incidence of CAD was significantly higher in the NODAT group compared to that in the NonDM group (HR, 3.02; 95% confidence interval [CI], 1.73 to 5.25); the difference remained statistically significant after adjustment for age at TPL, sex, organ transplanted, hypertension, dyslipidemia, and immunosuppressant use (HR, 2.46; 95% CI, 1.39 to 4.33) (model 5 in Table 3 and Fig. 1A). In contrast, no difference was found in CVA between the NonDM and NODAT groups (Table 3 and Fig. 1B).
During the same period, the incidence rates of malignancy was 7.9/1,000 PY, 10.7/1,000 PY, and 11.7/1,000 PY in NonDM, NODAT, and PretrDM groups, respectively (Table 3). The significantly higher risk of malignancy found in the NODAT group and PretrDM group than in the NonDM group in the crude model was attenuated after adjusting for age and sex (model 2 in Table 3 and Fig. 1C).
In terms of mortality, NODAT as well as PretrDM was an independent risk factor: NODAT group and PretrDM group showed 48% and 97% higher risk of mortality compared to those in the NonDM group (HR, 1.48; 95% CI, 1.14 to 1.95; and HR, 1.97; 95% CI, 1.58 to 2.45, respectively) (model 5 in Table 3 and Fig. 1D).
Subsequent analysis of the outcomes according to the transplanted organs revealed that, among liver transplant recipients, the PretrDM group exhibited a significantly increased risk of CVA (HR, 3.18; 95% CI, 1.07 to 9.48). NODAT and PretrDM groups did not display statistically significant differences in CAD, malignancy, or mortality among liver transplant recipients, and the NODAT group did not show a similar increase in CVA risk as seen in the PretrDM group (Supplementary Table 2). As for kidney transplant recipients, after adjusting for age at TPL, sex, hypertension, dyslipidemia, and immunosuppressant use, they showed a similar trend to the overall transplant population with regard to increased CAD; a significant increase in CAD risk compared to NonDM was observed in the NODAT and PretrDM groups (model 4 in Supplementary Table 2), and only the PretrDM, but not the NODAT group, showed an increased risk of CVA (model 4 in Supplementary Table 2). Mortality was significantly increased in PretrDM group among kidney transplant recipients (HR, 2.70; 95% CI, 2.00 to 3.56 for the PretrDM group) (model 4 in Supplementary Table 2). NODAT demonstrated a non-significant trend towards increased mortality risk (HR, 1.47; 95% CI, 0.99 to 2.19) (model 4 in Supplementary Table 2).
This study examined 9,632 patients registered with the NHIS who underwent kidney, liver, or heart TPL, focusing on the incidence of NODAT and the associated risks of CAD, CVA, and malignancy. The prevalence of NODAT was highest in heart TPL recipients, followed by the liver and kidney TPL recipients. Compared with patients without DM, those with NODAT tended to show a higher usage rate of tacrolimus and a lower rate of cyclosporin A. Patients diagnosed with NODAT had an approximately 2.5-fold increased risk of CAD and a 1.5-fold increased risk of mortality. However, the risk of CVA and malignancy did not show statistically significant increases after adjusting for covariates.
The current study adopted a stringent definition of NODAT and excluded transient hyperglycemia requiring antidiabetic medications for <30 days. Using this definition, NODAT was identified in 14.7% of all posttransplant patients and in approximately 23.7% of patients without PretrDM. These findings are consistent with previously reported incidence rates, confirming the validity of our operational definition of NODAT [24]. The incidence of NODAT varies depending on its definition. NODAT occurs in approximately 4%–25% of kidney transplant recipients, 2.5%–25% of liver transplant recipients, and 4%–40% of heart transplant recipients [15,25]. In the current study, the prevalence of PretrDM was highest among liver transplant recipients, followed by those receiving kidney and heart transplants. In contrast, NODAT was observed in a different order: heart, liver, and then kidney transplant recipients. This suggests that the mechanisms underlying PretrDM and NODAT might differ. While both NODAT and type 2 DM share common risk factors such as obesity, family history, and low physical activity [26], NODAT is influenced by distinct risk factors. These include the use of immunosuppressants such as glucocorticoids and tacrolimus, infections such as cytomegalovirus and hepatitis, and posttransplant rejection [27,28]. In this study, patients who received heart or liver TPL showed a relatively higher usage rate of tacrolimus than those who received kidney TPL, whereas patients who received kidney TPL had a higher usage rate of cyclosporin A.
In the current study, compared with patients without DM, those with NODAT and PretrDM exhibited higher risks of CAD and mortality. Previous studies have shown that both patients with PretrDM and NODAT exhibit a higher cardiovascular risk than patients without DM [12,13,29,30]. Notably, the magnitude of the risk increase in patients with NODAT was relatively lower than that in those with PretrDM, which is consistent with our findings [29,30]. However, in previous studies, this increased cardiovascular risk in patients with NODAT was primarily observed in those undergoing kidney TPL [12,13,29,30]. In our study, when analyzing kidney transplant patients and liver transplant patients separately, the high risk for developing CAD in NODAT patients compared to NonDM was observed only in the kidney transplant group. In contrast, in the liver transplant group, the risk for CAD in patients with NODAT relative to those without DM was lower; although not statistically significant, it suggested a trend toward a decreased risk, which was consistent with a previous study that showed no increase in CAD risk in the presence of NODAT in liver transplant patients compared to those without DM [31]. In addition, another study demonstrated survival gain in liver transplant patients with NODAT [32], and confounding factors, such as recovery from cachexia, were suggested as the cause of survival gain. This suggests that the effects of NODAT vary depending on the organ.
Patients with PretrDM showed a significant increase in the risk of CVA; however, this trend was not observed in patients with NODAT. While NODAT is known to increase the risk of cardiovascular disease, previous reports suggest that this elevated risk is more attributable to an increase in cardiac and peripheral vascular disease rather than cerebrovascular disease [33,34]. The relatively stronger influence of diabetes on myocardial infarction risk compared to ischemic CVA might explain the absence of an observed increase in CVA risk in patients with NODAT, who typically experience comparatively short-term exposure to hyperglycemia [35,36].
Although DM is known to be associated with a higher risk of malignancy, in our study, neither PretrDM nor NODAT increased the risk of malignancy in posttransplant patients. Few studies have investigated the association between NODAT and malignancy in posttransplant patients, and the existing studies have produced controversial findings. In a Spanish cohort of patients without diabetes prior to TPL, NODAT was not significantly associated with malignancy [21]. However, when specifically considering the incidence of incident malignancy to renal cell carcinoma (RCC), NODAT was identified as an independent risk factor for RCC with an odds ratio of 2.9 [21]. However, a study analyzing 96,699 patients with and without NODAT registered in the United States Nationwide Inpatient Sample revealed that NODAT is not an independent risk factor for RCC [37]. Even when focusing solely on RCC, in our study, 44 cases of RCC occurred among kidney transplant patients. Of these, 20 patients had pretransplant DM, six had NODAT, and 18 had NonDM, indicating similar incidence rates across the groups. This finding supports the notion that NODAT has a limited effect on the development of malignancies, including RCC.
Our study has several strengths. First, we analyzed a large cohort of 9,632 post-TPL patients using the nationwide NHIS database. Second, while previous studies typically focused on either the kidney or liver individually, our study identified the potential for organ-specific differences in the impact of NODAT on CAD. Third, the current study adopted a stringent definition of NODAT by excluding transient hyperglycemia after TPL and employed 1-year window period after TPL to define malignancy, CVA, or CAD, which might provide a solid risk estimation associated with NODAT. Finally, we explored the association between NODAT and malignancy, an area that has not been elucidated in previous studies.
This study has also several limitations. First, we used data from the NHIS database, which does not provide access to individual patient medical records. Therefore, NODAT, CAD, CVA, and malignancy were operationally defined using the ICD-10 codes. Consequently, the study may have under- or overestimated the cohort with NODAT, as well as outcomes like CAD, CVA, and malignancy. However, the prevalence of NODAT identified in this study was 23.7% in patients without PretrDM. These numbers are consistent with previous reports, suggesting that our operational definition of NODAT is relatively reliable. Second, we utilized a database of recipients undergone kidney, liver, or heart TPL between 2009 and 2015 with a median follow-up period of 5.9 years, which might be a relatively short duration to observe the development of new malignancies. However, even over this roughly 6-year period, the HR remained at 1.0. This indicates that, regardless of statistical significance, there was no observable trend suggesting an increased risk of malignancy, which is notable. Finally, owing to the limited number of patients with heart TPL, the influence of NODAT on the incidence of CAD, CVA, malignancy, and mortality in post-heart TPL recipients remains unelucidated.
In conclusion, although NODAT notably increased the risk of CAD and mortality, its impact on the risk of CVA and malignancy was not pronounced. The increased risk of CAD in patients with NODAT is more evident in kidney transplant recipients than in those with underlying liver TPLs. To ensure the long-term survival of posttransplant patients, monitoring for incident CAD in patients with NODAT, particularly in kidney transplant recipients, should take precedence over concerns regarding potential CVD or malignancy development.
SUPPLEMENTARY MATERIALS
Supplementary materials related to this article can be found online at https://doi.org/10.4093/dmj.2024.0078.
Supplementary Table 1.
The proportion of NODAT at each year of TPL
Supplementary Table 2.
Hazard ratio for study outcomes in the kidney and liver transplantation
Supplementary Fig. 1.
Flow diagram of study subjects. TPL, transplantation; DM, diabetes mellitus; NODAT, new-onset diabetes after transplantation.
Notes
REFERENCES
1. Park S, Kim M, Kim JE, Kim K, Park M, Kim YC, et al. Characteristics of kidney transplantation recipients over time in South Korea. Korean J Intern Med. 2020; 35:1457–67.

2. Wang JH, Hart A. Global perspective on kidney transplantation: United States. Kidney360. 2021; 2:1836–9.

3. DeFilippis EM, Vaduganathan M, Machado S, Stehlik J, Mehra MR. Emerging trends in financing of adult heart transplantation in the United States. JACC Heart Fail. 2019; 7:56–62.

4. Kim IC, Youn JC, Lee SE, Jung SH, Kim JJ. Donor heart utilization in Korea. Int J Heart Fail. 2020; 2:254–63.

5. Wallia A, Illuri V, Molitch ME. Diabetes care after transplant: definitions, risk factors, and clinical management. Med Clin North Am. 2016; 100:535–50.
6. Bee YM, Tan HC, Tay TL, Kee TY, Goh SY, Kek PC. Incidence and risk factors for development of new-onset diabetes after kidney transplantation. Ann Acad Med Singap. 2011; 40:160–7.

7. Joss N, Staatz CE, Thomson AH, Jardine AG. Predictors of new onset diabetes after renal transplantation. Clin Transplant. 2007; 21:136–43.

8. Lv C, Zhang Y, Chen X, Huang X, Xue M, Sun Q, et al. Newonset diabetes after liver transplantation and its impact on complications and patient survival. J Diabetes. 2015; 7:881–90.

9. Moon JI, Barbeito R, Faradji RN, Gaynor JJ, Tzakis AG. Negative impact of new-onset diabetes mellitus on patient and graft survival after liver transplantation: long-term follow up. Transplantation. 2006; 82:1625–8.

10. Yagi S, Kaido T, Iida T, Yoshizawa A, Okajima H, Uemoto S. New-onset diabetes mellitus after living-donor liver transplantation: association with graft synthetic function. Surg Today. 2017; 47:733–42.

11. Kasiske BL, Snyder JJ, Gilbertson D, Matas AJ. Diabetes mellitus after kidney transplantation in the United States. Am J Transplant. 2003; 3:178–85.

12. Ojo AO. Cardiovascular complications after renal transplantation and their prevention. Transplantation. 2006; 82:603–11.

13. Hjelmesaeth J, Hartmann A, Leivestad T, Holdaas H, Sagedal S, Olstad M, et al. The impact of early-diagnosed new-onset posttransplantation diabetes mellitus on survival and major cardiac events. Kidney Int. 2006; 69:588–95.

14. Lin H, Yan J, Yuan L, Qi B, Zhang Z, Zhang W, et al. Impact of diabetes mellitus developing after kidney transplantation on patient mortality and graft survival: a meta-analysis of adjusted data. Diabetol Metab Syndr. 2021; 13:126.

15. Pham PT, Pham PM, Pham SV, Pham PA, Pham PC. New onset diabetes after transplantation (NODAT): an overview. Diabetes Metab Syndr Obes. 2011; 4:175–86.

16. Woodward RS, Schnitzler MA, Baty J, Lowell JA, Lopez-Rocafort L, Haider S, et al. Incidence and cost of new onset diabetes mellitus among U.S. wait-listed and transplanted renal allograft recipients. Am J Transplant. 2003; 3:590–8.

17. Rosales BM, De La Mata N, Vajdic CM, Kelly PJ, Wyburn K, Webster AC. Cancer mortality in kidney transplant recipients: an Australian and New Zealand population-based cohort study, 1980-2013. Int J Cancer. 2020; 146:2703–11.

18. Penn I. Post-transplant malignancy: the role of immunosuppression. Drug Saf. 2000; 23:101–13.
19. Acuna SA, Fernandes KA, Daly C, Hicks LK, Sutradhar R, Kim SJ, et al. Cancer mortality among recipients of solid-organ transplantation in Ontario, Canada. JAMA Oncol. 2016; 2:463–9.

20. Au E, Wong G, Chapman JR. Cancer in kidney transplant recipients. Nat Rev Nephrol. 2018; 14:508–20.

21. Porrini E, Montero N, Diaz JM, Lauzurrica R, Rodriguez JO, Torres IS, et al. Post-transplant diabetes mellitus and renal cell cancer after renal transplantation. Nephrol Dial Transplant. 2023; 38:1552–9.

22. Gallagher EJ, LeRoith D. Obesity and diabetes: the increased risk of cancer and cancer-related mortality. Physiol Rev. 2015; 95:727–48.

23. Scappaticcio L, Maiorino MI, Bellastella G, Giugliano D, Esposito K. Insights into the relationships between diabetes, prediabetes, and cancer. Endocrine. 2017; 56:231–9.

24. Kang E, Lee J, Kang DH, Park J, Park S, Kim YC, et al. Clinical outcomes of posttransplantation diabetes mellitus in kidney transplantation recipients: a nationwide population-based cohort study in Korea. Sci Rep. 2022; 12:21632.

25. Davidson JA, Wilkinson A; International Expert Panel on NewOnset Diabetes after Transplantation. New-Onset Diabetes After Transplantation 2003 International Consensus Guidelines: an endocrinologist’s view. Diabetes Care. 2004; 27:805–12.
26. Zielinska K, Kukulski L, Wrobel M, Przybylowski P, Zakliczynski M, Strojek K. Prevalence and risk factors of new-onset diabetes after transplantation (NODAT). Ann Transplant. 2020; 25:e926556.

27. Lv C, Chen M, Xu M, Xu G, Zhang Y, He S, et al. Influencing factors of new-onset diabetes after a renal transplant and their effects on complications and survival rate. PLoS One. 2014; 9:e99406.

28. Einollahi B, Motalebi M, Salesi M, Ebrahimi M, Taghipour M. The impact of cytomegalovirus infection on new-onset diabetes mellitus after kidney transplantation: a review on current findings. J Nephropathol. 2014; 3:139–48.
29. Lim WH, Lok CE, Kim SJ, Knoll G, Shah BR, Naylor K, et al. Impact of pretransplant and new-onset diabetes after transplantation on the risk of major adverse cardiovascular events in kidney transplant recipients: a population-based cohort study. Transplantation. 2021; 105:2470–81.

30. Wauters RP, Cosio FG, Suarez Fernandez ML, Kudva Y, Shah P, Torres VE. Cardiovascular consequences of new-onset hyperglycemia after kidney transplantation. Transplantation. 2012; 94:377–82.

31. Oommen T, Arun CS, Kumar H, Nair V, Jayakumar RV, Sudhindran S, et al. Incidence of new-onset diabetes and posttransplant metabolic syndrome after liver transplantation: a prospective study from South India. Indian J Endocrinol Metab. 2020; 24:165–9.
32. Darstein F, Konig C, Hoppe-Lotichius M, Grimm D, Knapstein J, Zimmermann A, et al. New onset of diabetes after transplantation is associated with improved patient survival after liver transplantation due to confounding factor. Eur J Intern Med. 2015; 26:439–44.

33. Sharif A, Baboolal K. Complications associated with new-onset diabetes after kidney transplantation. Nat Rev Nephrol. 2011; 8:34–42.

34. Cosio FG, Kudva Y, van der Velde M, Larson TS, Textor SC, Griffin MD, et al. New onset hyperglycemia and diabetes are associated with increased cardiovascular risk after kidney transplantation. Kidney Int. 2005; 67:2415–21.

35. Emerging Risk Factors Collaboration, Sarwar N, Gao P, Seshasai SR, Gobin R, Kaptoge S, et al. Diabetes mellitus, fasting blood glucose concentration, and risk of vascular disease: a collaborative meta-analysis of 102 prospective studies. Lancet. 2010; 375:2215–22.

Fig. 1.
Cumulative incidence curves of (A) coronary artery disease, (B) cerebrovascular accident, (C) malignancy, and (D) mortality according to diabetic mellitus status in patients without new-onset diabetes after transplantation (NODAT), patients with NODAT, and patients with pretransplant diabetes mellitus (PretrDM). Cumulative incidence curves represent the proportion of individuals in each group (PretrDM, without diabetes mellitus [NonDM], and NODAT) experiencing malignancy, mortality, coronary artery disease, and cerebrovascular accidents. Comparison between groups was performed using Poisson regression with Bonferroni correction for multiple comparison.
Table 1.
Characteristics of transplantation recipients without past medical history of coronary artery disease, cerebrovascular accident, and malignancy
Table 2.
Characteristics of transplantation recipients who developed NODAT without past medical history of coronary artery disease, cerebrovascular accident, and malignancy
Table 3.
Hazard ratio for coronary artery disease/cerebrovascular disease/malignancy after transplantation in the entire study population
Model 1, unadjusted; Model 2, adjusted for age and sex; Model 3, adjusted for transplantation organ in addition to model 2; Model 4, adjusted for hypertension, and dyslipidemia in addition to model 3; Model 5, adjusted for immunosuppressant in addition to model 4.
PY, person-year; HR, hazard ratio; CI, confidence interval; CAD, coronary artery disease; NonDM, without diabetes mellitus; NODAT, new-onset diabetes after transplantation; PretrDM, pretransplant diabetes mellitus; CVA, cerebrovascular accident.



PDF
Citation
Print



XML Download