Abstract
Background
Inhibitory effects of denosumab on bone remodeling are reversible and disappear once treatment is discontinued. Herein, we examined whether and to what extent delayed denosumab administration is also associated with fracture risk using nation-wide data.
Methods
The study cohort included women aged 45 to 89 years who were started on denosumab for osteoporosis between October 2017 and December 2019 using data from the Korean Health Insurance Review and Assessment service. Participants were stratified according to the time of their subsequent denosumab administration from the last denosumab administration, including those with within 30 days early dosing (ED30), within the planned time of 180–210 days (referent), within 30–90 days of delayed dosing (DD90), within 90–180 days of delayed dosing (DD180), and longer than 181 days of delayed dosing (DD181+). The primary outcome was the incidence of all clinical fractures.
Results
A total of 149,199 participants included and 2,323 all clinical fractures (including 1,223 vertebral fractures) occurred. The incidence of all fractures was significantly higher in the DD90 compared to reference group (hazard ratio [HR], 1.2; 95% confidence interval [CI], 1.1 to 1.4). The risk of all fracture was even higher in the longer delayed DD180 group (HR, 1.9; 95% CI, 1.6 to 2.3) and DD181+ group (HR, 1.8; 95% CI, 1.5 to 2.2). Increased risks of fractures with delayed dosing were consistently observed for vertebral fractures.
Denosumab is a fully humanized monoclonal antibody against receptor activator of nuclear factor kappa B ligand (RANKL), which prevents its binding to RANK receptor and thus inhibits osteoclastogenesis [1]. From its ability to inhibit osteoclast differentiation, survival, and function, denosumab has proven therapeutic efficacy in increasing bone mineral density (BMD) and decreasing the incidence of vertebral and non-vertebral fractures [2,3]. Based on accumulating evidence regarding denosumab’s ability to treat osteoporosis and prevent fractures, it has become one of the most widely used treatments for osteoporosis [4,5].
Denosumab does not incorporate into the bone matrix [1]; therefore, unlike bisphosphonates that bind to the bone matrix and maintain their effects, the effects of denosumab are reversible. Its effects on bone remodeling rapidly disappear once its administration is discontinued [6]. Accordingly, the bone remodeling activities of osteoclasts quickly recover to a level higher than the pre-treatment level [7,8]. This response, described as “rebound remodeling,” is thought to be due to the robust osteoclastogenesis of preosteoclasts [7]. Studies have reported that this rebound remodeling could lead to rapid bone loss and result in an increased risk of vertebral fractures following denosumab discontinuation [9-13]. Additionally, it is argued that that even delayed administration of denosumab, not discontinuation, may be also associated with rises in the fracture risks [14].
In osteoporosis treatment, poor medication compliance remains a challenge [15,16]. Considering that the inhibitory effects of denosumab on osteoclastogenesis can be reversed once its use is discontinued, delayed dosing may also be related to increased fracture risk. Therefore, we aimed to determine whether and to what extent delayed dosing of denosumab was associated with high fracture risk.
We used data from the Korean Health Insurance Review and Assessment (HIRA) service database. The HIRA is a Korean national database that contains longitudinal information on demographics, disease codes according to the International Classification of Disease, 10th Revision (ICD-10), medical procedures, hospitalization, prescribed drugs, and death records [17]. For this study, we extracted demographic data (age and sex) and data on diagnosis and medications pertaining to the period from October 2007 to December 2020.
This study was conducted in adherence to the ethical guidelines of the Declaration of Helsinki. The requirement for informed consent was waived because of the study’s retrospective nature. The Institutional Review Board waiver was certified by HIRA (No. 2021-082).
This study included female patients aged 45 to 89 years who were started on denosumab treatment for the management of osteoporosis between October 2017 and December 2019. For this study, the denosumab dosage was 60 mg every 180 days. An eligible index date was set as any denosumab administration date between October 2017 and December 2019, followed by subsequent denosumab administration, where each patient was followed for fracture incidence up to 6 months after their subsequent denosumab administration. All patients contributed to at least one index date with some having more than one. Considering a 6-month follow-up for fracture occurrence from the last administered time, subsequent denosumab administration and follow-up for fracture occurrence were observed until December 2020. Patients who received a subsequent denosumab injection within 150 days after the prior dose or those who received a dose higher than 60 mg per injection were excluded. In cases who had three or more multiple fractures in the past, there is a possibility of missing new fractures occurring in the same skeletal site. There was also a possibility of that past fractures were counted as a new fracture event. Therefore, we also excluded those with a history of ≥3 previous fractures prior to starting denosumab. If additional denosumab was not administered during the study period, it was considered discontinuation of denosumab. In cases where denosumab is discontinued, it was censored after 6 months from the last administration, but up to 6 months after the last administration are included in the study period, and the occurrence of fracture during that period is included in the analysis. Patients were censored when they switched to other medications (e.g., bisphosphonates, selective estrogen receptor modulators, teriparatide, or romosozumab) for osteoporosis within 180 days after their last denosumab injection. Delayed denosumab dosing was defined as the next dosing that occurred >210 days after the last dose. The delayed refill date was considered the date at which the delayed dose was administered (Fig. 1A).
All newly developed fractures were recorded in the HIRA database using ICD-10 codes. The primary outcome was a composite fracture that included all clinical fractures with the following diagnostic codes: S22.0 and S22.1 for thoracic spine fractures; S32.0 and S32.7 for lumbar spine fractures; S42.2 and S42.3 for proximal humerus fractures; S52.5 and S52.6 for distal radius fractures; S72.0 and S72.1 for hip fractures; and S82.3, S82.5, and S82.6 for lower leg or ankle fractures. In addition, the incidence of vertebral and non-vertebral fractures was analyzed separately as the secondary outcome.
Data are presented as mean±standard deviation (SD) for continuous values and number (%) for categorical values. The study cohort was stratified into five subgroups according to the date of their subsequent denosumab administration. Patients who received a subsequent denosumab dose during the recommended dosing time of 180–210 days were included in the reference group. Patients who received a subsequent denosumab dose within 30 days before, 30–90 days after, 90–180 days after, and ≥181 days after the recommended dosing time were stratified into the ED30 (early dosing), DD90 (delayed dosing), DD180, and DD181+ groups, respectively. The study selection is described in Fig. 1B. The incidence rates of fractures were calculated per 100 case-years, and the 95% confidence intervals (CIs) were calculated by Poisson distribution. We evaluated the relative risk of fracture for the delayed denosumab dosing group using the Cox proportional hazard model. The effect measures are presented as hazard ratios (HR) and 95% CIs. The Kaplan-Meier survival curve was used to plot cumulative incidence rates for all osteoporotic or vertebral fractures. Subgroup analyses were performed for patients with previous usage of bisphosphonates during the year before initiating denosumab dosing. Sensitivity analyses were performed for patients with no history of previous fractures. All analyses were performed using R statistics version 4.1.1 (R Foundation for Statistical Computing, Vienna, Austria).
Additional data are available through approval and oversight by the Korean National Health Insurance Service. The lead authors (K.M.K., G.H.S.) affirm that the manuscript is an honest, accurate and transparent account of the study being reported; that no important aspects of the study have been omitted; and that any discrepancies from the study as planned.
A total of 207,701 women were treated with denosumab for osteoporosis during the study period. After excluding 7,727 patients who already had ≥3 fractures, 362 patients who were administered the subsequent denosumab within 150 days of the previous dosing, 163 patients who did not meet the regular denosumab dosing amount (60 mg/6 months), and 50,250 patients who discontinued denosumab after initial injection, 149,199 patients, accounting for 218,823 denosumab administrations, were finally included in the analyses (Fig. 1A). The mean±SD age was 69.1±9.1 years. The average number of denosumab injections was 2.5±0.8, and most patients (67.9%) received two doses of denosumab. The average duration of treatment was and 484.4±170.4 days. Among all study participants, 55,804 (37.4%) and 36,405 (24.4%) had a previous history of osteoporotic and vertebral fractures, respectively. Regarding the usage of anti-osteoporotic medication, more than half of the patients (51.5%) had used bisphosphonates within 1 year of initiating denosumab (Table 1). The baseline clinical parameters according to the total eligible injections are presented in Supplemental Table S1.
During the study period, 2,323 clinical fractures, which included 1,223 vertebral fractures, occurred (Tables 2, 3). The incidence of fracture during the 6-month observation period was 2.06/100 case-year (95% CI, 1.96 to 2.16) and 2.06/100 case-year (95% CI, 1.82 to 2.32) in the reference and ED30 groups, respectively, and the risks of fractures were the same in both groups (HR, 1.00; 95% CI, 0.88 to 1.14; P=0.975) (Table 2). In contrast, the incidence of fractures was 2.55/100 case-year (95% CI, 2.24 to 2.88) in the DD90 group revealing the risk of having a fracture was higher in the DD90 group than in the reference group (HR, 1.24; 95% CI, 1.08 to 1.41; P=0.002). Furthermore, the incidence of fractures was higher in the longer-delayed DD180 group (3.92/100 case-year; 95% CI, 3.28 to 4.65), and the risk of having a fracture was further increased nearly two-fold (HR, 1.89; 95% CI, 1.58 to 2.26; P<0.001) than that in the reference group. The incidence of fractures in the longest delayed DD181+ group was 3.83/100 case-year (95% CI, 3.11 to 4.67), which was similar to that in the DD180 group, but was higher than that in the reference group (HR, 1.83; 95% CI, 1.49 to 2.24; P<0.001).
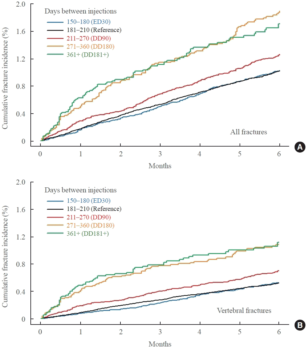
In terms of vertebral fractures, similar increases in risk were observed for the delayed dosing groups: compared with the reference group values, the HRs for vertebral fractures were 1.35 (95% CI, 1.13 to 1.61) in the DD90 group, 2.18 (95% CI, 1.73 to 2.75) in the DD180 group, and 2.41 (95% CI, 1.88 to 3.10) in the DD181+ group (Table 2). Fig. 2 presents the Kaplan-Meier survival curve for the cumulative incidence of fractures among the five subgroups during the 6-month observation period.
Subgroup analyses were performed for 76,818 (51.5%) patients who received bisphosphonate treatment within 1 year of denosumab initiation. Delayed dosing was associated with an increased risk of all clinical fractures and vertebral fractures. However, an increase in risk was not observed in the DD90 group but observed only in the DD180 and DD181+ groups (Table 3).
The sensitivity analyses of patients without any previous history of fractures provided similar trends of increasing risks of fractures, in both all clinical fractures and vertebral fractures, with delayed denosumab (Supplemental Table S2).
During the observation time, a total of 1,132 non-vertebral fractures occurred. The risk of non-vertebral fractures increased in the DD180 and DD181+ groups but was only statistically significant in the DD180 group (HR, 1.55; 95% CI, 1.17 to 2.04; P=0.002) (Supplemental Table S3).
We found that delayed denosumab dosing, even short-term delay of 30 to 90 days, was significantly associated with an increased risk of incident fracture for all clinical fractures as well as vertebral fractures in the following 6-month period. In addition, as the dosing time was further delayed, the risk increased even more. There did not appear to be a substantial influence on fracture risk if the administration was delayed within 30 days of the previous injection. This study further confirms that the timing of subsequent injection is critical in the management of osteoporosis for those treated with denosumab.
Pivotal clinical trials have proven the strong and consistent efficacy of denosumab in increasing BMD and decreasing osteoporotic fractures for both vertebral and non-vertebral fractures [2,3,18]. Based on this clear evidence of its efficacy, denosumab has become the one of main option as anti-resorptive agents for treating osteoporosis along with bisphosphonates [4,5]. Furthermore, given its advantage of requiring longer dosing intervals (6 months), it is preferred by patients who do not want to take the drug frequently and have poor adherence to frequent medications [19].
Unlike bisphosphonates, denosumab loses its effect quickly after its discontinuation [6,8]. Accordingly, bone remodeling processes suppressed by denosumab are rapidly restored and reach even higher levels than those at baseline [8]. This phenomenon is evidenced by the rapid decrease in BMD after denosumab discontinuation. According to the Fracture Reduction Evaluation of Denosumab in Osteoporosis Every 6 Months (FREEDOM) Extension study conducted to evaluate the long-term efficacy of denosumab, the increases in BMD achieved over 8 years disappeared within 1-year after its discontinuation [6]. This rapidly rebounded bone remodeling process has been reported to increase the risk of fractures in some patients [9,12,20]. Because of these characteristics of denosumab, most osteoporosis treatment guidelines are currently against denosumab discontinuation without replacement with other antiresorptive agents [4,5,21,22].
Despite the evidence supporting the significant association between denosumab discontinuation and increased fracture risk, studies have not sufficiently clarified whether and to what extent delayed administration of denosumab affects fracture risk in patients with delayed dosing. Recently, Lyu et al. [14] reported that delaying denosumab treatment for more than 16 weeks can increase the risk of vertebral fractures. This is consistent with our study results, and in the present study, we further confirmed that even a short-term delay of 30 to 90 days after the scheduled subsequent injection, significantly increased the risk of fractures. This result, along with those of previous studies, further supports that the positive effects of denosumab rapidly disappear and bone remodeling increases very rapidly if denosumab is not administered within 6-monthly intervals. This implies that timely dosing of denosumab is very critical. In addition, longer delays (the 90–180-day delay compared to the 30– 90-day delay) resulted in further increases of fracture risk, suggesting that even if subsequent dosing is delayed, prompt administration as early as possible could reduce additional fractures. However, although fracture risks were increased in the delayed dosing group, we cannot definitively ascertain whether the fractures were primarily caused by delayed denosumab administration or by the inherent severity of osteoporosis.
Fracture risk associated with delayed dosing was not significantly different between the 6-month delayed DD180 group and the ≥6-month delayed DD180+ group. This may mean that fracture risk may stabilize 12 months after the last injection. However, due to the nature of the dataset, we could not capture whether the subjects in the DD181+ group switched to other anti-osteoporotic medications without national insurance coverage, and whether this might have affected the results. Additionally, where previous studies have reported cases of rebound vertebral fractures associated with discontinuation of denosumab, most fractures occurred within 12 months of the last dose [11,13]. Increased bone remodeling activity after discontinuation of denosumab persists up to 2 years, but a rapid increase occurs during the first 1–6 months [8]. Therefore, this period is considered to be the most vulnerable to bone instability and subsequent fractures.
In the present study, patients previously treated with bisphosphonates were also at a higher risk of fractures with delayed subsequent dosing of denosumab. However, the increases in fracture risk could be delayed compared to that in patients not previously treated with bisphosphonates. In previous studies, in patients that were treated with bisphosphonates prior to denosumab the increase in osteoporotic fractures after its discontinuation appeared to be mitigated and their occurrence was delayed [12,23]. Because of the unique property of bisphosphonates remaining stored for long periods even after discontinuation [24,25], previous usage is expected to partially blunt the increase in bone remodeling activities occurring after denosumab discontinuation [26]. However, in the present study, we only confirmed the past 1-year exposure of bisphosphonates before denosumab administration, so we could not confirm whether there was a difference in the risk of fractures depending on the duration of bisphosphonate use.
Most of the previously reported rebound remodeling-associated fractures were vertebral fractures [12,27]. In some reports, the risk of non-vertebral fractures did not differ, even with delayed administration of denosumab [9,27]. In the present study, the risk of non-vertebral fractures increased, but only in the DD180 group. Since rapidly increasing remodeling activity affects trabecular bone-dominant vertebrae much faster than cortical bone-dominant sites, the vertebrae are expected to be affected more than other skeletal sites by delayed denosumab dosing. However, due to the small number of non-vertebral fractures and the short follow-up period, it might be inappropriate to conclude that fracture risk related to delayed denosumab administration increases only for vertebral fractures or, conversely, for all types of fractures.
Several clinical factors and circumstances can influence drug compliance [19]. Since osteoporosis is asymptomatic, drug compliance may appear more inadequate [28], and not only drug discontinuation but also delayed denosumab administration can be commonly occurred in routine clinical settings [15]. Therefore, drugs should be selected by considering not only the fracture risk but also the long-term compliance of patients, if initiated, patient education on administering denosumab at the recommended intervals of 6 months is important to improve drug adherence [28].
The key strength of this study was its use of nationally representative data on patients who started denosumab for treating osteoporosis. This study utilized data from the HIRA Database, which contains comprehensive longitudinal information on demographics, disease codes, medical procedures, prescribed drugs, and death records. A large study cohort of 149,199 participants was included, making the findings robust and generalizable. Furthermore, detailed baseline clinical characteristics of the study population were analyzed, including previous history of fractures and anti-osteoporotic medication usage, providing a comprehensive understanding of the participants. An advantage of using the national registry database is that it covers all fractures except those not recorded in the medical database system. In addition, the analysis is further enhanced by dividing the delay period into three distinct time points, allowing for a detailed examination of fracture differences based on these intervals. Furthermore, the study includes all clinical fractures in its analyses, rather than focusing solely on vertebral fractures. This broad inclusion provides a more holistic view of fracture risks and outcomes associated with denosumab treatment. However, there are some limitations to this study. First, the covariates that could affect bone strength, such as baseline BMD level, body mass index, or previous or concomitant use of other drugs, were not included in the analysis. Second, in this study, fracture diagnosis was based on an operational definition using ICD-10 codes but not following a review of X-rays or other imaging modalities, and evaluating clinical histories. Due to the nature of this health insurance claim database, it may not be possible to clearly differentiate between newly developed fractures and old fractures. Furthermore, there remains a possibility of over-detecting fractures. Therefore, we followed the patients until the first fracture occurred, and multiple fractures within the same patient could not be evaluated. Third, in this study, the observation period for fractures was up to 6 months from the time of subsequent dosing. Since the dosing interval for denosumab is 6 months and it is expected that another denosumab dosing will occur after 6 months, we only observed up to 6 months for the fracture occurrence. Therefore, this study was unable to determine whether the risk of fracture increased after 6 months when denosumab was discontinued in patients who received delayed denosumab. Fourth, most of the analyzed administrations were for the second dose, and there were few cases with three or more administrations. Therefore, it is insufficient to draw conclusions about whether there is a difference in fracture risk due to delayed administration depending on the number of administrations based on current data. Finally, each instance of delayed dosing in the same subjects was treated as an independent event, which may affect the independence of observations. This approach could potentially lead to an overestimation or underestimation of the true effect size.
In conclusion, although it is unclear whether the risk of fracture would be higher than the pre-treatment level risk, delayed administration of denosumab for longer than 30 days was associated with an increased risk of fractures for all clinical and vertebral fractures. Short delays of less than 30 days did not affect fracture risk. Therefore, on-time dosing at 6-month intervals is very important for managing denosumab-treated patients and the drug’s effect. It should be emphasized that in addition to drug discontinuation, delayed administration may increase fracture risk when using denosumab. Patients should be educated about the importance of their scheduled dosing. Furthermore, the longer the delay, the higher the fracture risk. Therefore, denosumab administration should be resumed as soon as possible if a subsequent dosing schedule is missed. Physicians’ awareness and efforts to maintain the recommended administration will considerably contribute to the success of denosumab treatment.
Supplementary Material
Supplemental Table S1.
Baseline Clinical Characteristics and Previous Uses of Anti-Osteoporotics in Total Eligible Injections (n=218,823)
Supplemental Table S2.
Risk of All Clinical Fractures or Vertebral Fractures according to the Timing of Subsequent Denosumab Injections in Subjects without Any Previous History of Fractures
Supplemental Table S3.
Risk of Non-Vertebral Fractures according to the Timing of Subsequent Denosumab Injections
ACKNOWLEDGMENTS
This study was supported by a faculty research grant of Yonsei University College of Medicine (6-2021-0137) and by a grant from Internal Medicine in Yongin Severance Hospital. The funders had no role in the study design, data collection, data analysis, data interpretation, or report writing.
REFERENCES
1. Baron R, Ferrari S, Russell RG. Denosumab and bisphosphonates: different mechanisms of action and effects. Bone. 2011; 48:677–92.

2. Papapoulos S, Lippuner K, Roux C, Lin CJ, Kendler DL, Lewiecki EM, et al. The effect of 8 or 5 years of denosumab treatment in postmenopausal women with osteoporosis: results from the FREEDOM Extension study. Osteoporos Int. 2015; 26:2773–83.

3. Bone HG, Wagman RB, Brandi ML, Brown JP, Chapurlat R, Cummings SR, et al. 10 Years of denosumab treatment in postmenopausal women with osteoporosis: results from the phase 3 randomised FREEDOM trial and open-label extension. Lancet Diabetes Endocrinol. 2017; 5:513–23.

4. Camacho PM, Petak SM, Binkley N, Diab DL, Eldeiry LS, Farooki A, et al. American Association of Clinical Endocrinologists/American College of Endocrinology clinical practice guidelines for the diagnosis and treatment of postmenopausal osteoporosis-2020 update. Endocr Pract. 2020; 26(Suppl 1):1–46.

5. Eastell R, Rosen CJ, Black DM, Cheung AM, Murad MH, Shoback D. Pharmacological management of osteoporosis in postmenopausal women: an Endocrine Society clinical practice guideline. J Clin Endocrinol Metab. 2019; 104:1595–622.

6. Popp AW, Varathan N, Buffat H, Senn C, Perrelet R, Lippuner K. Bone mineral density changes after 1 year of denosumab discontinuation in postmenopausal women with long-term denosumab treatment for osteoporosis. Calcif Tissue Int. 2018; 103:50–4.

7. Anastasilakis AD, Makras P, Yavropoulou MP, Tabacco G, Naciu AM, Palermo A. Denosumab discontinuation and the rebound phenomenon: a narrative review. J Clin Med. 2021; 10:152.

8. Bone HG, Bolognese MA, Yuen CK, Kendler DL, Miller PD, Yang YC, et al. Effects of denosumab treatment and discontinuation on bone mineral density and bone turnover markers in postmenopausal women with low bone mass. J Clin Endocrinol Metab. 2011; 96:972–80.

9. Cummings SR, Ferrari S, Eastell R, Gilchrist N, Jensen JB, McClung M, et al. Vertebral fractures after discontinuation of denosumab: a post hoc analysis of the randomized placebo-controlled FREEDOM trial and its extension. J Bone Miner Res. 2018; 33:190–8.

10. Popp AW, Zysset PK, Lippuner K. Rebound-associated vertebral fractures after discontinuation of denosumab: from clinic and biomechanics. Osteoporos Int. 2016; 27:1917–21.

11. Lamy O, Gonzalez-Rodriguez E, Stoll D, Hans D, AubryRozier B. Severe rebound-associated vertebral fractures after denosumab discontinuation: 9 clinical cases report. J Clin Endocrinol Metab. 2017; 102:354–8.

12. Burckhardt P, Faouzi M, Buclin T, Lamy O; The Swiss Denosumab Study Group. Fractures after denosumab discontinuation: a retrospective study of 797 cases. J Bone Miner Res. 2021; 36:1717–28.

13. Anastasilakis AD, Polyzos SA, Makras P, Aubry-Rozier B, Kaouri S, Lamy O. Clinical features of 24 patients with rebound-associated vertebral fractures after denosumab discontinuation: systematic review and additional cases. J Bone Miner Res. 2017; 32:1291–6.

14. Lyu H, Yoshida K, Zhao SS, Wei J, Zeng C, Tedeschi SK, et al. Delayed denosumab injections and fracture risk among patients with osteoporosis: a population-based cohort study. Ann Intern Med. 2020; 173:516–26.
15. Morley J, Moayyeri A, Ali L, Taylor A, Feudjo-Tepie M, Hamilton L, et al. Persistence and compliance with osteoporosis therapies among postmenopausal women in the UK Clinical Practice Research Datalink. Osteoporos Int. 2020; 31:533–45.

16. Gold DT. Understanding patient compliance and persistence with osteoporosis therapy. Drugs Aging. 2011; 28:249–55.

17. Kim JA, Yoon S, Kim LY, Kim DS. Towards actualizing the value potential of Korea Health Insurance Review and Assessment (HIRA) data as a resource for health research: strengths, limitations, applications, and strategies for optimal use of HIRA data. J Korean Med Sci. 2017; 32:718–28.

18. Cummings SR, San Martin J, McClung MR, Siris ES, Eastell R, Reid IR, et al. Denosumab for prevention of fractures in postmenopausal women with osteoporosis. N Engl J Med. 2009; 361:756–65.

19. World Health Organization. Assessment of fracture risk and its application to screening for postmenopausal osteoporosis: report of a WHO Study Group. Geneva: World Health Organization;1994.
20. Tripto-Shkolnik L, Fund N, Rouach V, Chodick G, Shalev V, Goldshtein I. Fracture incidence after denosumab discontinuation: real-world data from a large healthcare provider. Bone. 2020; 130:115150.

21. Lamy O, Stoll D, Aubry-Rozier B, Rodriguez EG. Stopping denosumab. Curr Osteoporos Rep. 2019; 17:8–15.

22. Tsourdi E, Langdahl B, Cohen-Solal M, Aubry-Rozier B, Eriksen EF, Guanabens N, et al. Discontinuation of denosumab therapy for osteoporosis: a systematic review and position statement by ECTS. Bone. 2017; 105:11–7.

23. Everts-Graber J, Reichenbach S, Gahl B, Ziswiler HR, Studer U, Lehmann T. Risk factors for vertebral fractures and bone loss after denosumab discontinuation: a real-world observational study. Bone. 2021; 144:115830.

24. Peris P, Torra M, Olivares V, Reyes R, Monegal A, Martinez-Ferrer A, et al. Prolonged bisphosphonate release after treatment in women with osteoporosis: relationship with bone turnover. Bone. 2011; 49:706–9.

25. Allen MR. Skeletal accumulation of bisphosphonates: implications for osteoporosis treatment. Expert Opin Drug Metab Toxicol. 2008; 4:1371–8.

26. Uebelhart B, Rizzoli R, Ferrari SL. Retrospective evaluation of serum CTX levels after denosumab discontinuation in patients with or without prior exposure to bisphosphonates. Osteoporos Int. 2017; 28:2701–5.

Fig. 1.
Study design and participants according to the timing of subsequent denosumab (DMAb) administration from the last DMAb injection. (A) Eligible participants and DMAb doses from October 2017 to December 2019 from the Health Insurance Review and Assessment service database. (B) The study participants were stratified into five subgroups according to when their subsequent DMAb was administered. Patients who received a subsequent DMAb dose during the recommended dosing time of 180–210 days were included in the reference group. Patients who received a subsequent DMAb dose within 30 days, 30–90 days after, 90–180 days after, and ≥181 days after the recommended dosing time were stratified into the ED30 (early dosing), DD90 (delayed dosing), DD180, and DD181+ groups, respectively.
Fig. 2.
Cumulative incidence (%) for all fractures (A) and vertebral fractures (B). Kaplan-Meier survival curves of fractures were plotted according to the study groups for the following 6 months. ED, early dosing; DD, delayed dosing.
Table 1.
Baseline Clinical Characteristics and Previous Usage of Anti-Osteoporotic Drugs among the Study Patients (n=149,199)
| Characteristic | Study subjects |
|---|---|
| Number | 149,199 |
| Age, yr | 69.1±9.1 |
| Min–max | 45–89 |
| No. of denosumab injections | 2.5±0.8 |
| Min–max | 2–7 |
| Duration of treatment, day | 484.4±170.4 |
| Min–max | 330–1,355 |
| Previous history of all fractures | 55,800 (37.4) |
| Previous history of vertebral fracture | 36,405 (24.4) |
| Previous usage of anti-osteoporotic drugsa | |
| SERMs | 13,310 (8.9) |
| Bisphosphonates | 76,818 (51.5) |
| Teriparatide | 1,383 (0.9) |
| None | 57,688 (38.7) |
Table 2.
Risk of All Clinical Fractures and Vertebral Fractures according to the Timing of the Subsequent Denosumab Injections
Table 3.
Risk of All Clinical Fractures or Vertebral Fractures according to the Timing of the Subsequent Denosumab Injections in Patients with a History of Bisphosphonate Usage



PDF
Citation
Print



XML Download