초록
배경
동맥혈가스분석은 생명이 위급한 환자에게 혈액가스 및 산-염기 평형, 전해질 수치를 제공하는 매우 중요한 검사이며 정확한 결과가 요구된다. 동맥혈가스분석용 주사기의 여러 요인이 결과에 영향을 미칠 수 있지만 주사기를 도입하기 전에 이를 평가하는 임상 검사실은 거의 없다. 우리는 임상 검사실에서 널리 사용되고 있는 동맥혈가스분석용 안전주사기인 Greenmedi 헤파린안전주사기(GRS; SANG-A FRONTEC, Korea) 및 Portex 동맥혈용안전주사기(POS; Smiths Medical, USA)에 대해 성능을 평가하였다.
방법
서울아산병원 진단검사의학과 중앙검사실로 접수된 검체를 대상으로 응괴 발생률, 용혈 발생률을 평가하였고, 3가지 농도의 정도관리물질을 사용하여 가스투과도, 검체량에 의한 영향, 정밀도, 일치도를 평가하였다. 정도관리물질을 실온 보관 후 pO2, pCO2, pH를 측정하여 가스 투과도를 평가하였고. 여러 용량의 정도관리물질로 검체량에 의한 영향을 평가하였다. 검사를 반복하여 정밀도를 평가하였고, 두 주사기의 결과값의 일치도를 분석하였다.
Abstract
Background
Arterial blood gas (ABG) analysis is a crucial test providing vital information for patients who are critically ill. Accurate results are essential; however, pre-implementation evaluation of ABG syringes is uncommon. We evaluated the performance of the Greenmedi heparin syringe (GRS; SANG-A FRONTEC, Korea) and the Portex arterial blood sampling kit (POS; Smiths Medical, USA), which are widely used in clinical laboratories.
Methods
Samples from Asan Medical Center were assessed for clotting rate and hemolysis rate. Gas permeability, sample volume impact, precision, and concordance were evaluated using quality control materials. Gas permeability was assessed by measuring pO2, pCO2, and pH after storing the materials for different time periods. The influence of sample volume was tested at various quantities. Precision was evaluated through repeated tests, and concordance between the two syringes’ results was analyzed.
Results
GRS had a clotting rate of 1.07% (51/4,769), exceeding the acceptable range, whereas POS had no clotted samples (0/387). Hemolysis rates were 14.9% (14/94) for GRS and 10.0% (8/80) for POS, both higher than the acceptable rate. Both syringes had a storage time of less than 10 minutes and required a minimum sample volume above 0.6 mL. Precision was noteworthy, but there was a relatively weak concordance between pO2 values obtained with the two syringes.
Conclusions
Both syringes demonstrated notable precision but had high hemolysis rates. Results showed low concordance and were influenced by storage time and sample volume. Caution should be exercised when using these syringes, and it is recommended to assess their quality before implementation in each laboratory.
동맥혈가스분석은 생명이 위급한 환자의 혈액가스 및 산-염기 평형, 전해질 수치를 신속하게 제공하므로 응급실 및 중환자실에서 매우 중요한 검사이다[1, 2]. 동맥혈가스분석은 산-염기 이상과 호흡기계 이상 치료의 기본이 되는 검사이므로 정확한 결과를 보고해야 한다[2]. 정확한 결과를 얻기 위해서는 적절한 도구로 채혈한 후 정해진 방법대로 운반 및 보관하여 검사전단계의 오류를 줄여야 한다. 동맥혈가스검사를 위한 이상적인 동맥혈 채혈도구는 1–3 mL 플라스틱 재질에 동결건조 헤파린과 같은 소량의 항응고제가 들어있는 자동 채움식(self-filling) 일회용 주사기이다[3].
동맥혈가스분석용 주사기(이하 주사기)의 여러 요소들이 혈액가스 결과에 영향을 미친다. 동맥혈가스분석은 전혈을 이용하기 때문에 혈액의 응고를 억제하기 위해 항응고제가 첨가된 주사기를 사용한다. Ethylene-diamine-tetraacetic acid (EDTA), 구연산, 옥살산 등과 같은 항응고제는 칼슘과 직접 결합하여 항응고작용을 하므로 전해질 결과값에 영향을 미친다. 따라서 동맥혈가스분석 검사에서는 이들 항응고제 대신 헤파린을 사용하게 된다. 하지만 헤파린 또한 결과에 영향을 미칠 수 있다. 예를 들어, 건조 헤파린은 빨리 녹지 않아 응괴가 형성될 수 있고, 액체 헤파린의 경우, 혈액 채취량이 적으면 상대적으로 헤파린의 양이 많아서 생기는 희석효과 및 헤파린과 이온화 칼슘의 결합하는 화학적 효과로 인해 혈액가스 및 전해질 결과값이 감소될 수 있다[4, 5]. 주사기마다 응괴 발생률과 검체량이 결과에 미치는 효과가 다를 수 있으므로 주사기를 사용하기 전에 이에 대해 파악하는 것이 중요하다.
동맥혈가스분석은 전혈을 사용하기 때문에 혈액 내 백혈구가 일정 비율로 계속 산소를 소모하는데, 이에 따라 보관 온도가 높을수록, 보관 시간이 길어질수록, 검체 내 처음 산소량이 많을수록 산소 감소량이 커진다[6, 7]. 또한 현재 많이 사용하는 플라스틱 주사기는 폴리프로필렌 및 다합체 물질을 주성분으로 하기 때문에 기체가 통한다[8]. 따라서 혈액 내 세포 작용과 주사기의 성분으로 인해 주사기 내 보관 시간이 길어질수록 동맥혈가스분석 결과는 pO2는 감소하고 pCO2는 증가하는 양상을 보인다[9, 10]. 따라서 주사기를 사용하기 전에 통기성 정도를 파악하는 것이 중요하다.
주사바늘의 길이가 길수록, 사면(bevel) 각도가 작을수록, 바늘구멍이 작을수록(게이지 수치가 클수록) 용혈 가능성이 높다[11]. Clinical and Laboratory Standards Institute (CLSI) 가이드라인에서는 짧은 사면(short-bevel), 20–25 게이지 및 5/8에서 1½인치의 길이를 가진 주사바늘을 동맥혈가스분석용 주사기에 적합하다고 제시한다[12]. 하지만 실제 주사기는 다양한 환자 혈관 상태 및 채혈할 혈관 종류에 맞출 수 있도록 각 제조사별로 주사바늘의 길이, 사면 각도, 바늘구멍 직경 정도가 각기 다른 모델을 생산하고 있으므로 주사기를 선택하기 전에 구체적 사양을 확인해야 하고 용혈 발생률도 파악해 두는 것이 좋다.
이처럼 주사기의 용기 성분, 항응고제의 종류 및 농도, 주사바늘의 규격, 채혈량 등이 결과에 영향을 줄 수 있으므로 임상검사실에서는 적절한 성능을 갖춘 주사기를 사용해야 한다. 그러나 임상 검사실에서 평가를 하기 위한 적절한 평가 방법이 표준화되어 있지 않아 실제로 평가를 시행하기에 어려움이 있다.
이에 우리 연구는 실제 임상 검사실에서 많이 사용되는 동맥혈가스분석용 안전주사기 중 해외 및 국내에서 각각 출시된 두 가지 제품의 성능을 평가하기 위해 결과에 영향을 미칠 수 있는 주요 요소인 응괴 발생률, 용혈 발생률, 가스투과도, 검체량에 의한 영향, 정밀도 및 두 주사기 간의 일치도를 분석하였다.
응괴 발생률 및 용혈 발생률은 연구 기간 동안 Greenmedi 헤파린주사기(SANG-A FRONTEC, Incheon, Korea, 이하 GRS로 요약함) 및 Portex arterial blood sampling kit (Smiths Medical, MN, USA, 이하 POS로 요약함)의 2가지 안전주사기로 채취하여 서울아산병원 진단검사의학과 중앙검사실로 접수된 검체를 대상으로 하였다.
가스투과도, 검체량이 결과에 미치는 영향, 정밀도 및 일치도를 평가하기 위해 3가지 농도의 정도관리물질(Liquicheck™ Blood Gas Plus EGL Control, Bio-Rad, Marnes-la-Coquette, France)을 사용하였다.
모든 연구과정은 서울아산병원 연구심의위원회의 승인(IRB과제번호: 20211867)을 받아 진행되었다.
응괴 발생률 및 용혈 발생률, 가스투과도, 검체량에 의한 영향, 정밀도, 일치도를 비교 분석하였다.
응괴 발생률(%)은 다음과 같이 확인하였다(Fig. 1A). 2022년 4월 한 달간 동맥혈가스분석 검사를 위하여 호흡기내과 일반병동에서 GRS로 동맥혈을 채취하였고, 중환자실에서 POS로 동맥혈을 채취하였다. 응괴 발생률을 확인하기 위해 지정한 병동 간의 거리 차이가 있으나, 수집된 검체는 채취 후 30분 이내에 중앙검사실로 기송관을 통해 운반되어 접수되었고, 접수 즉시 검사가 진행되었다. GEM Premier 5000 (Instrumentation Laboratory, MA, United States) 동맥혈가스분석검사 장비에서 응괴 플래그(flag)가 발생한 검체를 후향적으로 취합하여 주사기 종류별로 응괴가 발생한 검체의 비율을 계산한 후 카이제곱 통계로 비교하였다. 응괴 발생률의 허용기준에 대한 가이드라인이 없으므로 기존 연구에서 제시한 병동 채혈 후 검체의 응괴 발생률을 참고하여 0.5%를 기준으로 삼았다[14].
용혈 발생률(%)은 다음과 같이 확인하였다(Fig. 1B). 호흡기내과 일반병동에서 2022년 5월 한 달간 GRS로, 같은 병동에서 6월 한 달간은 POS로 동맥혈 채혈을 하였고 채혈 후 30분 이내에 중앙검사실로 운반되었다. 접수된 검체 중 검사 후 검체 잔여량이 0.5 mL 미만이거나 총 빌리루빈 수치가 10.0 g/dL 이상인 검체는 배제하였다. 선정된 검체에서 혈장을 분리하여 혈장 헤모글로빈(plasma hemoglobin, pHb)을 분광광도계(Hitachi U-3310; Hitachi, Tokyo, Japan)로 측정하였다. 혈장 헤모글로빈 측정값이 33.2 mg/dL를 초과하는 경우 용혈이 있다고 판정하였다[15]. 각 주사기 종류별로 용혈된 검체의 비율을 계산한 후 카이제곱 통계로 비교하였다. 용혈 발생률의 허용기준에 대한 가이드라인이 없으므로 기존 연구에서 제시한 병동 채혈 후 검체의 용혈 발생률을 참고하여 0.5%를 기준으로 삼았다[14].
주사기의 시간에 따른 가스투과도를 다음과 같이 평가하였다. 세 농도의 정도관리물질을 각각 160개씩 준비하여 두 가지 주사기로 정도관리물질을 1.0 mL씩 채취하고 마개로 막아 실온에서 0, 10, 20, 30분간 보관 후(정도관리물질 농도별로 각각 40개씩 보관시간을 달리 함), GEM Premier 5000 동맥혈가스분석 장비로 pO2, pCO2, pH를 측정하여 결과 변화를 확인하였다. 각 주사기의 결과가 보관 시간에 따라 차이가 있는지 확인하기 위해 일원분산분석(one-way analysis of variance, ANOVA) 통계로 비교 평가 후, Tukey-Kramer 검정법으로 사후분석(post-hoc analysis)하였다. 세 농도의 정도관리물질 중 하나 이상에서 기준값(assigned value)을 벗어나는 최소 시간을 해당 주사기의 허용최대보관시간으로 정하였다.
혈액가스 결과에 대한 채취한 검체량의 영향을 다음과 같이 평가하였다. 세 농도의 정도관리물질을 각각 40개씩 준비하여 두 가지 주사기로 1.0 mL, 0.6 mL, 0.3 mL씩 각각 채취하고 즉시 GEM Premier 5000 동맥혈가스분석 장비로 pO2, pCO2, pH를 측정하였다. 각 주사기의 결과가 검체량에 따라 차이가 있는지 확인하기 위해 일원분산분석 통계로 비교 평가 후, Tukey-Kramer 검정법으로 사후분석(post-hoc analysis)하였다. 세 농도의 정도관리물질 중 하나 이상에서 기준값(assigned value)을 벗어나는 최대 용량을 해당 주사기의 허용최소검체량으로 정하였다.
두 주사기의 정밀도 확인을 위해 가스투과도 및 검체량 영향 평가 항목의 모든 조건에서 정도관리물질을 40회씩 측정하여 평균 및 coefficient of variation (CV)를 구하여 총 허용오차와 비교하였다. 정밀도 허용범위(allowable total error)는 Westgard 및 EFLM (European Federation of Clinical Chemistry and Laboratory Medicine)에서 제시하는 생물학적 변이 데이터베이스를 기준으로 pO2는 2.0%, pCO2는 1.8%, pH 0.1로 설정하였다[16-18].
마지막으로 두 주사기 간의 검사 결과값의 일치도를 분석하기 위해서 세 가지 농도의 정도관리물질을 1.0 mL씩 각 주사기로 채취 후 즉시 검사를 시행한 결과값을 CLSI EP09c 지침에 맞추어 비교 분석하였다[19].
응괴 발생률과 용혈 발생률은 카이제곱 통계로 비교하였다. 각 주사기의 시간에 따른 가스투과도 및 검체량에 따른 결과 차이가 있는지를 확인하기 위해 일원분산분석 통계로 비교 평가 후, Tukey-Kramer 검정법으로 사후분석(post-hoc analysis)하였다. 두 주사기의 결과값의 상관관계는 Passing-Bablok 회귀분석을 시행하여 회귀선의 기울기, 절편, 상관계수(r)를 구하였고, Bland-Altman plot을 이용하여 분석하였다. 통계분석은 SPSS 소프트웨어패키지(Version 23.0; SPSS Inc., Chicago, IL, USA)와 Microsoft Excel (Microsoft, Redmond, WA, USA)을 이용하였다. P 값이 0.05 미만일 때 통계적으로 의미 있는 것으로 판단하였다.
호흡기내과 일반병동에서 2022년 4월 한 달간 채취한 GRS 검체 4,769건 중에서 51건(1.07%)에서 응괴가 발생하여 허용범위 0.5%보다 높았다. 같은 기간 동안 중환자실에서 채취한 POS 검체 387건 중에서 응괴가 발생한 검체 수는 0건이었다. 카이제곱 검정에서 두 그룹 간 응괴 발생률에 차이가 있었다(P=0.0409).
호흡기내과 일반병동에서 5월에 채취한 GRS 검체 100개 중에서 6건은 용량 부족 또는 총 빌리루빈 수치가 10.0 이상으로 대상에서 제외되었고, 포함된 94개의 검체 중 14개(14.9%)의 검체에서 용혈이 발생하여 허용범위 0.5%보다 높았다. 같은 병동에서 6월에 채취한 POS 검체 100개 중에서 20개의 검체가 같은 이유로 대상에서 제외되었고, 포함된 80개의 검체 중 8개(10.0%)의 검체에서 용혈이 확인되어 허용범위 0.5%보다 높았다. 카이제곱 검정에서 두 그룹 간 용혈 발생률에 차이가 없었다(P=0.3344).
각 보관시간대에서의 주사기별 측정값 평균과 CV (%), 보관시간에 따른 결과 증감률을 보관시간 0분을 기준으로 계산하였다(Table 2). 검체 채취 후 보관 시간이 길어질수록 pO2 평균이 증가하였다. GRS의 경우, 보관시간 10분 후 평균값부터 허용범위보다 큰 값을 나타냈다. 고농도의 산소분압을 가지는 농도 3 정도관리물질에서는 모든 시간에서 허용범위보다 작게 측정되었다. 반면에 POS의 경우 0분부터 정도관리물질의 허용범위보다 높은 값을 보였고, 농도 3 물질에서는 30분까지 모두 허용범위 내에 들어왔다.
pCO2 평균은 보관 시간에 따라 값이 감소하는 경향을 보였고, 이런 경향은 GRS보다 POS에서 더 크게 나타났으나, 두 주사기 모두 보관 시간 30분까지는 허용범위 이내였다.
pH 평균은 보관 시간에 따라 증가하는 경향을 보이나, 두 주사기 모두 보관 시간 30분까지는 허용범위 이내였다.
pCO2와 pH의 경우 보관 시간에 따라 증감하여도 30분까지는 허용범위 이내의 변화였으나, pO2 항목은 낮은 산소분압의 물질(농도 1 정도관리물질)에서는 10분 뒤에도 두 주사기 모두 증가량이 20% 이상으로 나타났다. 따라서 허용최대보관시간은 10분 미만으로 정하였다. 즉시 채취한 검체의 검사 값이 허용 범위를 벗어난 항목의 경우 허용최대보관시간 분석에서 제외하였다.
각 주사기에서 채취 검체량별로 결과 평균값과 CV (%), 검체량 감소에 따른 결과 증감률을 검체량 1.0 mL를 기준으로 계산하였다(Table 3). pO2의 경우 검체량이 적을수록 평균이 증가하였고, 증가율은 산소분압이 낮을수록, GRS에서 더 컸다. 농도마다 증가율의 차이가 나타났으나, GRS의 경우 0.6 mL의 용량부터 평균값이 허용범위보다 컸으며, 고농도 물질(농도 3)에서는 1.0 mL 용량의 평균이 허용범위보다 작았고, 검체량 감소에 따라 측정값이 증가하며 허용범위 안에 들어가는 결과를 보였다. pCO2 및 pH의 경우 검체량 감소에 따라 감소 및 증가하는 경향이 나타나나 모두 허용범위 이내였다.
pCO2와 pH의 경우 검체량 감소에 따라 값이 증감하여도 0.3 mL 이상에서는 허용범위 이내의 변화였으나, pO2 항목은 낮은 산소 분압의 물질(농도 1 정도관리물질)에서는 두 주사기 모두 0.6 mL의 검체량에서 허용범위를 벗어난 증가가 관찰되었으므로 허용 최소 검체량은 0.6 mL 초과로 정하였다. 1.0 mL 검체량에서의 평균값이 허용범위를 벗어난 항목의 경우 허용최소검체량 분석에서 제외하였다.
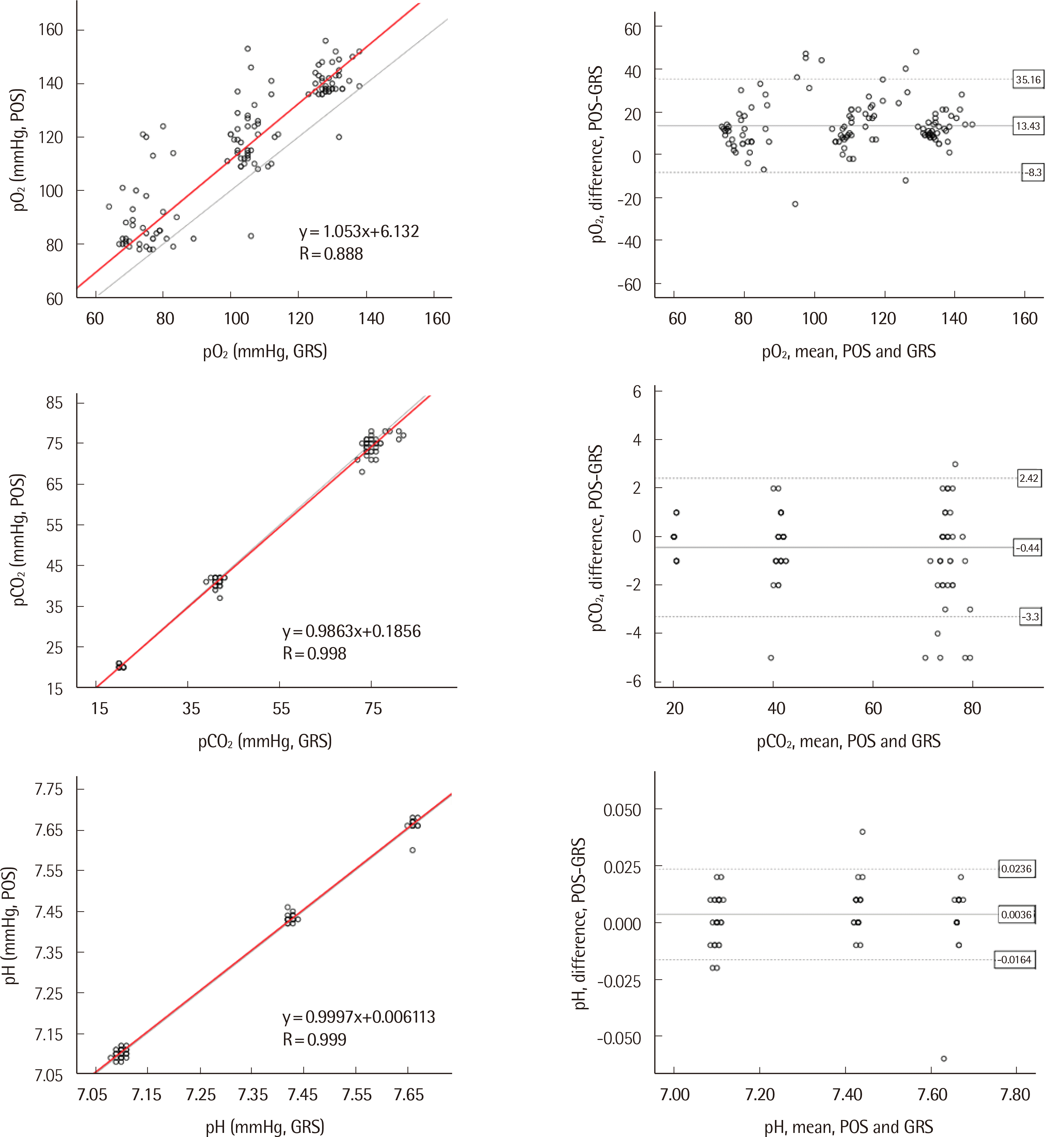
GRS에 대한 POS의 pO2 및 pCO2, pH 값을 Passing-Bablok 회귀분석과 Bland-Altman 분석을 통해 결과를 비교하였다(Fig. 2). pO2의 경우, 회귀 방정식은 y=21.41+0.923x (R=0.888, R2=0.788), 두 주사기간 평균 바이어스는 13.43 mmHg (SD=11.09 mmHg)로, 비교적 높은 상관성을 보였지만, 바이어스로 인해 비교적 낮은 일치도를 보였다. pCO2의 경우, 회귀 방정식은 y=0.1856+0.9863x (R=0.998, R2=0.996), 두 주사기 간 평균 바이어스는 -0.44 mmHg (SD=1.46 mmHg)로, 두 주사기 간 높은 일치도를 보여주었다. pH의 경우, 두 주사기 간 가장 높은 일치도를 보여주었다. 회귀 방정식은 y=0+1x (R=0.999, R2=0.999)였고, 두 주사기 간 평균 바이어스는 0.0036 (SD=0.0102)였다. 농도에 따른 계통오차는 없는 것으로 판단하였다.
동맥혈가스분석용 주사기는 채혈도구이면서 검체 보관용 튜브(tube) 역할을 동시에 하기 때문에 동맥혈가스분석 검사 결과에 중요한 영향을 미칠 수 있다. 그러나 식품의약품안전처의 채혈 및 생체 검사용 기구로서의 허가 시 시행되는 성능 평가 항목들은 정량성, 감도, 특이성, 선형성, 반복성, 검체 간 차이, 교차 반응, 상호 작용 등이 있으나, 분석 전 단계에서 결과에 영향을 미치는 요인들에 대해서는 적절히 점검되지 않고 있으며, 임상 검사실에서도 동맥혈가스분석용 주사기의 도입 및 변경 시 제대로 된 평가가 이루어지지 않고 있다[13]. 정맥혈 및 모세혈에 비해 동맥혈은 환자에게 위험도가 비교적 크기 때문에 반복적인 채혈이나 많은 양의 채혈이 힘들어 검사법 평가를 수행하기가 까다롭다. 그래서 지금까지 동맥혈가스분석용 주사기의 비교를 위한 연구는 동일한 환자 검체로 수행하기 어려웠고 대부분 대상 검체가 동일하지 않았기에 정확한 비교가 가능하지 않았다[20, 21]. 이전 연구들에서는 항응고제인 헤파린을 첨가하는 방식의 차이나, 플라스틱 또는 유리의 주사기 재질의 차이, 보관 온도 및 시간, 검체 용량에 의한 검사 결과값의 영향 등 일부 주제에 국한된 연구들이 다수였고[21-24], 실무 사용 전 전반적인 성능평가를 진행한 연구는 거의 없다. 우리 연구는 GRS와 POS 두 제품에 대하여 사용 전 성능평가 목적으로 실제 환자 검체 및 정도관리물질을 이용하여 각 주사기의 응괴 발생률 및 용혈 발생률, 가스투과도, 검체량에 따른 영향, 정밀도, 일치도를 평가하였다.
본 연구의 응괴 발생률에서 POS에서는 응괴가 생긴 검체가 없었으나, GRS에서는 주사기 내 헤파린 도포함량이 30.0 IU로 POS의 23.5 IU보다 더 높음에도 불구하고 1.07% 검체에서 응괴가 나타났다. 응괴 발생률의 차이는 주사기별 헤파린 도포 균질성 문제를 원인으로 볼 수도 있으나, 두 주사기를 다른 병동에서 평가하였기 때문에 환자의 질병 특성 및 채혈 수행자의 차이도 배제할 수 없다. 특히 중환자실의 경우 항응고제 사용 및 동맥관을 가지고 있는 환자 비율이 높아 POS 검체의 응괴 발생률이 낮게 나타났을 수 있다. 같은 조건에서 비교하지 못한 것은 이 연구의 한계점이다[25].
용혈 발생률은 GRS가 14.9%, POS 10.0%로 기존에 알려진 일반적인 병동 채혈 후 검체의 용혈 발생률(약 0.5%)보다 매우 높았다[14]. 검체에서 용혈이 발생하는 원인은 다양한데, 주사기 바늘의 사이즈가 작을수록 채혈하는 과정에서 적혈구에 압력이 가해져 적혈구가 파손되며 생길 수 있다. 연구대상인 GRS 및 POS 두 주사기는 모두 23 게이지였고, 바늘의 사면 각도는 각각 11±2° 및 13°, 바늘의 길이는 모두 25 mm로 두 제품의 바늘 규격에 큰 차이는 없었다. 그러나 CLSI C46-A2 지침에서 권고하는 짧은 사면의 각도보다 더 낮은 각도, 즉 날카로운 바늘 끝을 갖고 있어 용혈의 위험성이 높았을 수 있다. 작은 혈관에서 채혈할 경우 및 헤파린과 잘 섞이게 하기 위해 검체를 격하게 흔들 경우에도 용혈이 발생할 가능성이 있다. 하지만 본 연구에서는 혈장 분리를 위한 원심분리 과정에서 다수의 용혈이 발생했을 가능성이 높다. 용혈을 확인하기 위해 혈장 헤모글로빈(pHb)을 측정하였는데, 이 과정에서 시행된 원심분리가 워낙 적은 양의 검체에 시행되어 다수의 용혈이 발생한 것으로 판단된다. 각 주사기에서 용혈여부에 따른 혈액가스분석 결과를 독립표본 t-검정으로 분석하였다(Table 4). 두 주사기의 pO2, pCO2, pH 모든 항목에서 용혈된 검체와 용혈되지 않은 검체 간 통계적인 차이는 나타나지 않았다. 이는 가스분석검사 후 원심분리 과정에서 용혈이 일어난 것을 뒷받침해준다. 따라서 동맥혈가스분석용 주사기의 용혈 발생률을 확인하기 위해서는 다른 방법을 모색할 필요가 있다.
시간에 따른 혈액가스의 투과성을 확인한 결과, 이전 연구 결과처럼 검체 채취 후 보관 시간이 길어질수록 주사기를 통한 가스 투과로 인해 산소 분압이 현저하게 높아지고, 이산화탄소 분압은 조금 낮아지는 경향이 관찰되었다[24]. pO2에서 POS가 0분을 기준으로 시간당 변화는 GRS와 비교했을 때 더 크지 않으나 더 높은 pO2 값을 보였다. 이는 정도관리물질 채취 시 POS에서 기포 발생률이 높았고, 검체 채취 후 바로 기포를 제거하였음에도 상대적으로 공기의 노출이 많아 높은 결과를 보인 것으로 판단된다. 이러한 오류는 폴리프로필렌으로 구성된 주사기의 가스투과성에 의한 것보다는 주사기의 흡자(고무패킹) 결함으로 인한 가능성이 더 높다고 추정된다. 하지만 이러한 현상은 환자의 동맥혈 채혈 시에는 관찰되지 않아 기포 발생 원인에 대해 추가적인 자세한 연구가 필요한 것으로 보인다.
두 제품의 내재된 헤파린은 모두 칼슘균형리튬헤파린(calcium-balanced lithium heparin)으로 그 양은 GRS는 30 IU, POS는 23.5 IU이고, 권장 동맥혈 채취 용량은 GRS가 0.6–1.0 mL, POS가 0.25–1.0 mL이다. 하지만 두 주사기 모두 0.6 mL의 검체량에서도 허용 범위를 벗어난 증가가 관찰되었다. 따라서 임상 검사실에서는 주사기를 도입하기 전에 허용최소검체량에 대한 분석이 필요하다.
두 주사기에서 정밀도는 매우 우수한 결과를 보여 사용에 적절했다. 두 주사기의 일치도에 대한 평가에서 pCO2 및 pH에서는 매우 높은 일치도를 가지나, pO2 항목에서는 비교적 낮은 일치도를 보였다. 이는 pO2의 경우 다른 항목에 비해서 예민한 항목으로 공기 노출에 대해 큰 폭으로 값이 변화하기 때문에 상대적으로 공기 노출이 많았던 POS는 GRS와 결과값의 차이가 나타난 것으로 판단된다.
주사는 병의원에서 행해지는 환자 치료 처방 중 가장 기본적인 의료행위임에도 불구하고, 의료진들의 각종 주사바늘 자상사고 경험은 약 50%에 달한다. 에이즈, C형 간염, B형 간염, 매독 등 4대 혈액매개 질환의 위험성을 가지는 주사바늘 자상사고는 예방이 매우 중요하다[26, 27]. 이에 의료진들의 주사바늘 찔림과 혈액감염을 방지하는 감염예방 의료기기가 각종 제조사에서 개발 및 공급되고 있고, 동맥혈가스분석용 주사기에서도 주사바늘 찔림 예방을 위해 여러 가지 안전 장치를 도입한 안전주사기들이 널리 시판되고 있다. 이에 따라 병원에서 동맥혈가스분석용 주사기의 교체가 빈번하게 일어나고 있다. 본 연구의 결과로 미루어, 동맥혈가스분석용 주사기의 검체 채취 및 보관에 영향을 미치는 주사바늘, 용기 성분, 헤파린의 양 및 균질도, 흡자 성능 등의 여러가지 요인이 혈액가스 결과값에 영향을 미치게 되어 품질의 차이가 각양각색으로 나타나나 이를 평가하기 위한 표준화된 기준은 미흡하다[28]. 따라서 정확한 동맥혈가스분석 검사 결과를 보고하기 위해 두 가지 이상의 동맥혈가스분석용 주사기를 사용하거나 주사기 변경 시에는 주사기 간 비교 평가가 필수적이다.
결론적으로, 본 연구에서는 기존 연구들과 임상적 필요성에 근거하여 응괴 발생률 및 용혈 발생률, 가스투과도, 채혈량에 의한 영향, 정밀도, 일치도 등의 항목에 대해 각 주사기를 평가하였다. 두 제품 모두 정밀도는 우수하였으나, 용혈 발생률이 높았다. 보관시간 및 채취용량에 의한 영향도 확인되었으므로 사용 시 유의해야 한다. 각 검사실에서는 주사기 도입 전에 주사기의 품질 평가를 선행할 것을 제안한다.
REFERENCES
1. Lippi G, Panteghini M, Bernardini S, Bonfanti L, Carraro P, Casagranda I, et al. 2018; Laboratory testing in the emergency department: an Italian Society of Clinical Biochemistry and Clinical Molecular Biology (SIBioC) and Academy of Emergency Medicine and Care (AcEMC) consensus report. Clin Chem Lab Med. 56:1655–9. DOI: 10.1515/cclm-2017-0077. PMID: 28361782.
2. Shapiro BA, Peruzzi WT, editors. 1994. Clinical Application of Blood Gases. 5th ed. Chicago, IL: Mosby.
3. Clinical and Laboratory Standards Institute. 2009. Blood gas and pH analysis and related measurements; Approved guideline-second edition. CLSI document C46-A2. Clinical and Laboratory Standards Institute;Wayne, PA:
4. Küme T, Sişman AR, Solak A, Tuğlu B, Cinkooğlu B, Coker C. 2012; The effects of different syringe volume, needle size and sample volume on blood gas analysis in syringes washed with heparin. Biochem Med (Zagreb). 22:189–201. DOI: 10.11613/BM.2012.022. PMID: 22838185.
5. Kim HS, Lee KC, Jung WS, Chang YJ. 2012; Effects of different sample volumes on arterial blood gas and electrolytes testing. Anesth Pain Med. 7:121–4.
6. Cho NS, KIM CH. 2000; The study on changes in arterial blood gas finding with time interval. J Korean Soc Emerg Med. 11:27–34.
7. Hess CE, Nichols AB, Hunt WB, Suratt PM. 1979; Pseudohypoxemia secondary to leukemia and thrombocytosis. N Engl J Med. 301:361–3. DOI: 10.1056/NEJM197908163010706. PMID: 460325.
8. Aminabhavi TM, Aithal US. 1991; Molecular transport of oxygen and nitrogen through polymer films. Journal of Macromolecular Science, Part C. 31:117–63. DOI: 10.1080/15321799108021922.
9. Schmidt C, Müller-Plathe O. 1992; Stability of pO2, pCO2 and pH in heparinized whole blood samples: influence of storage temperature with regard to leukocyte count and syringe material. Eur J Clin Chem Clin Biochem. 30:767–73. DOI: 10.1515/cclm.1992.30.11.767. PMID: 1489849.
10. Pretto JJ, Rochford PD. 1994; Effects of sample storage time, temperature and syringe type on blood gas tensions in samples with high oxygen partial pressures. Thorax. 49:610–2. DOI: 10.1136/thx.49.6.610. PMID: 8016801. PMCID: PMC474964.
11. New PF, Baker E. 1963; Technique of arterial puncture: a new needle-cannula for arteriography. J Neurosurg. 20:390–6. DOI: 10.3171/jns.1963.20.5.0390. PMID: 14186055.
12. Clinical and Laboratory Standards Institute. 2004. Procedures for the collection of arterial blood specimens; Approved standard-Fourth edition. CLSI document GP43-A4. Clinical and Laboratory Standards Institute;Wayne, PA:
13. Ministry of Food and Drug Safety. Guidelines for certification of blood collection sets and preparation of technical documents. https://www.mfds.go.kr/brd/m_1060/view.do?seq=14719&srchFr=&srchTo=&srchWord=%EC%B1%84%ED%98%88&srchTp=1&itm_seq_1=0&itm_seq_2=0&multi_itm_seq=0&company_cd=&company_nm=&Data_stts_gubun=C9999&page=1. Update on Sep 2020.
14. Chang J, Kim S, Yoo SJ, Park EJ, Um TH, Cho CR. 2020; Preanalytical errors in the central laboratory of a university hospital based on the analysis of year-round data. Clin Lab. 66:1783–91. DOI: 10.7754/Clin.Lab.2020.200110. PMID: 32902239.
15. Jang H, Cho Y, Rim JH, Kang H, Lee SG, Lim JB. 2021; Measurement of plasma free hemoglobin using hemolysis index and bilirubin interference. Lab Med Qual Assur. 43:208–13. DOI: 10.15263/jlmqa.2021.43.4.208.
16. Westgard QC. Desirable biological variation database specifications. https://www.westgard.com/biodatabase1.htm. Last accessed on Jan 2023.
17. European Federation of Clinical Chemistry and Laboratory Medicine. EFLM Biological Variation Database. https://biologicalvariation.eu/. Last accessed on Jan 2023.
18. Kofstad J. 1993; Quality specifications for pH and blood gases. Upsala Journal of Medical Sciences. 98:381–5. DOI: 10.3109/03009739309179336. PMID: 7974869.
19. Clinical and Laboratory Standards Institute. 2018. Measurement procedure comparison and bias estimation using patient samples. 3rd ed. CLSI guideline EP09c. Clinical and Laboratory Standards Institute;Wayne, PA:
20. Calaf N, Giner J, Codina E, Feixas T, González M, Casan P. 2004; Comparison of arterial blood sample kits. Arch Bronconeumol. 40:378–80. DOI: 10.1016/S0300-2896(04)75548-9. PMID: 15274868.
21. Bosch M, Bauzá F, Togores B, Agustí AG. 1997; Comparative evaluation of 3 types of syringes routinely used for arterial gas analysis. Arch Bronconeumol. 33:331–4. DOI: 10.1016/S0300-2896(15)30580-9. PMID: 9410433.
22. Park JM, Park WB, Kim JJ, Min KJ, Choi WS, Jang JH, et al. 2017; Comparison of the accuracy of syringes washed with heparin, manually and heparin coated product for Arterial Blood Gas Analysis on electrolytes and hemoglobin. Journal of The Korean Society of Emergency Medicine. 28:431–40.
23. Picandet V, Jeanneret S, Lavoie JP. 2007; Effects of syringe type and storage temperature on results of blood gas analysis in arterial blood of horses. J Vet Intern Med. 21:476–81. DOI: 10.1111/j.1939-1676.2007.tb02993.x. PMID: 17552454.
24. Knowles TP, Mullin RA, Hunter JA, Douce FH. 2006; Effects of syringe material, sample storage time, and temperature on blood gases and oxygen saturation in arterialized human blood samples. Respir care. 51:732–6.
25. Gershengorn HB, Garland A, Kramer A, Scales DC, Rubenfeld G, Wun-sch H. 2014; Variation of arterial and central venous catheter use in United States intensive care units. Anesthesiology. 120:650–64. DOI: 10.1097/ALN.0000000000000008. PMID: 24424071. PMCID: PMC4145875.
26. Cho GL, Choi JS. 2010; Knowledge of and compliance with standard precautions by nurses in intensive care unit. J Korean Acad Fundam Nurs. 17:73.
27. Yu JW, Yang NY. 2017; Characteristics and knowledge of needlestick injuries and compliance with standard precautions in healthcare workers. Journal of Korean Academic Society of Home Health Care Nursing. 24:275–83.
28. Lima-Oliveira G, Lippi , Salvagno GL, Montagnana M, Picheth G, Guidi GC. 2012; Different manufacturers of syringes: a new source of variability in blood gas, acid-base balance and related laboratory test? Clin biochem. 45:683–7. DOI: 10.1016/j.clinbiochem.2012.03.007. PMID: 22440459.
Fig. 1
Study flow diagram for arterial blood gas analysis of GRS and POS samples. (A) Clotting rate and (B) hemolysis rate.
Abbreviations: GRS, Greenmedi heparin syringe; POS, Portex arterial blood sampling kit; ABGA, arterial blood gas analysis; ICU, intensive care unit; pHb, plasma hemoglobin.
Fig. 2
Passing–Bablok regression and Bland-Altman analysis of 120 QC materials. The pO2, pCO2, and pH results obtained using the Portex arterial blood sampling kit (POS) compared with those obtained using the Greenmedi heparin syringe (GRS) were plotted with the passing-Bablok regression and identity lines (left). The equations of the regression lines are shown (left) and the Bland-Altman plots are displayed on the right side.
Abbreviations: pO2, partial pressure of oxygen; pCO2, partial pressure of carbon dioxide.
Table 1
The assigned mean and range of Liquicheck™ blood gas plus EGL control levels 1, 2 and, 3 for IL GEM Premier
| Parameter | Level 1 | Level 2 | Level 3 | |||
|---|---|---|---|---|---|---|
| Mean | Range | Mean | Range | Mean | Range | |
| pO2 (mmHg) | 72 | 60–84 | 108 | 97–119 | 146 | 133–159 |
| pCO2 (mmHg) | 73 | 64–82 | 43 | 36–50 | 20 | 14–26 |
| pH | 7.12 | 7.08–7.16 | 7.42 | 7.38–7.46 | 7.67 | 7.63–7.71 |
Table 2
Blood gas analysis results of two ABGA syringes (GRS and POS) according to sample storage ti
| Q C material | Storage time (min) | pO2 | pCO2 | pH | |||||||||||||||||||||
|---|---|---|---|---|---|---|---|---|---|---|---|---|---|---|---|---|---|---|---|---|---|---|---|---|---|
| GRS | POS | GRS | POS | GRS | POS | ||||||||||||||||||||
| Mean (mmHg) | CV (%) | Change rate (%)‡ | Acceptance | Mean (mmHg) | CV (%) | Change rate (%) | Acceptance | Mean (mmHg) | CV (%) | Change rate (%) | Acceptance | Mean (mmHg) | CV (%) | Change rate (%) | Acceptance | Mean (mmHg) | CV (%) | Change rate (%) | Acceptance | Mean (mmHg) | CV (%) | Change rate (%) | Acceptance | ||
| Level 1 | 0’ | 75.4 | 0.10 | N/A | A | 89.0 | 0.14 | N/A | U | 75.4 | 0.03 | N/A | A | 74.6 | 0.03 | N/A | A | 7.100 | 0.00 | N/A | A | 7.103 | 0.00 | N/A | A |
| 10’ | 92.6 | 0.06 | 22.8 | U | 111.1 | 0.09 | 24.8 | U | 74.3 | 0.01 | -1.4 | A | 71.9 | 0.03 | -3.6 | A | 7.105 | 0.00 | 0.07 | A | 7.114 | 0.00 | 0.16 | A | |
| 20’ | 96.9 | 0.05 | 28.5 | U | 114.8 | 0.08 | 28.9 | U | 74.3 | 0.02 | -1.4 | A | 72.5 | 0.03 | -2.8 | A | 7.105 | 0.00 | 0.07 | A | 7.114 | 0.00 | 0.15 | A | |
| 30’ | 108.2 | 0.06 | 43.5 | U | 121.0 | 0.08 | 35.9 | U | 74.5 | 0.03 | -1.1 | A | 73.1 | 0.05 | -1.9 | A | 7.100 | 0.00 | 0.00 | A | 7.105 | 0.00 | 0.09 | A | |
| P* | <0.05 | N/A | N/A | N/A | <0.05 | N/A | N/A | N/A | <0.05 | N/A | N/A | N/A | <0.05 | N/A | N/A | N/A | <0.05 | N/A | N/A | N/A | <0.05 | N/A | N/A | N/A | |
| Post hoc† | 0 min<10 min<20 min<30 min | 0 min<10 min<20 min<30 min | 0 min> 10, 20 min§ | 0 min> 10, 20, 30 min | 0, 30 min< 10, 20 min | 0, 30 min< 10, 20 min | |||||||||||||||||||
| Level 2 | 0’ | 106.1 | 0.05 | N/A | A | 120.7 | 0.09 | N/A | U | 41.5 | 0.02 | N/A | A | 41.1 | 0.03 | N/A | A | 7.427 | 0.00 | N/A | A | 7.432 | 0.00 | N/A | A |
| 10’ | 113.9 | 0.05 | 7.3 | A | 130.0 | 0.04 | 7.7 | U | 40.7 | 0.12 | N/A | A | 40.7 | 0.02 | -1.0 | A | 7.427 | 0.00 | N/A | A | 7.432 | 0.00 | 0.00 | A | |
| 20’ | 119.9 | 0.04 | 13.0 | U | 136.6 | 0.04 | 12.9 | U | 41.5 | 0.02 | N/A | A | 40.6 | 0.02 | -1.2 | A | 7.428 | 0.00 | N/A | A | 7.435 | 0.00 | 0.03 | A | |
| 30’ | 129.2 | 0.04 | 21.8 | U | 142.5 | 0.04 | 18.0 | U | 40.8 | 0.11 | N/A | A | 39.5 | 0.05 | -4.0 | A | 7.429 | 0.00 | N/A | A | 7.444 | 0.00 | 0.16 | A | |
| P* | <0.05 | N/A | N/A | N/A | <0.05 | N/A | N/A | N/A | 0.576 | N/A | N/A | N/A | <0.05 | N/A | N/A | N/A | 0.118 | N/A | N/A | N/A | <0.05 | N/A | N/A | N/A | |
| Post hoc† | 0 min<10 min<20 min<30 min | 0 min<10 min<20 min<30 min | N/A | 0, 10, 20 min>30 min | N/A | 0, 10, 20 min<30 min | |||||||||||||||||||
| Level 3 | 0’ | 129.3 | 0.03 | N/A | U | 141.3 | 0.04 | N/A | A | 20.3 | 0.02 | N/A | A | 20.1 | 0.02 | N/A | A | 7.661 | 0.00 | N/A | A | 7.663 | 0.00 | N/A | A |
| 10’ | 129.9 | 0.03 | 0.5 | U | 147.7 | 0.02 | 4.5 | A | 20.2 | 0.02 | N/A | A | 20.3 | 0.02 | 0.7 | A | 7.660 | 0.00 | -0.02 | A | 7.663 | 0.00 | 0.00 | A | |
| 20’ | 134.0 | 0.02 | 3.6 | U | 152.6 | 0.02 | 8.0 | A | 20.1 | 0.02 | N/A | A | 20.0 | 0.02 | -0.5 | A | 7.658 | 0.00 | -0.04 | A | 7.667 | 0.00 | 0.05 | A | |
| 30’ | 145.5 | 0.04 | 12.5 | U | 156.1 | 0.03 | 10.5 | A | 20.2 | 0.02 | N/A | A | 19.8 | 0.02 | -1.5 | A | 7.665 | 0.00 | 0.05 | A | 7.678 | 0.00 | 0.20 | A | |
| P* | <0.05 | N/A | N/A | N/A | <0.05 | N/A | N/A | N/A | 0.219 | N/A | N/A | N/A | <0.05 | N/A | N/A | N/A | <0.05 | N/A | N/A | N/A | <0.05 | N/A | N/A | N/A | |
| Post hoc† | 0, 10 min<20 min<30 min | 0 min<10 min<20 min<30 min | N/A | 0, 10 min>20, 30 min | 0, 10, 20 min<30 min | 0, 10, 20 min<30 min | |||||||||||||||||||
Table 3
Blood gas analysis results according to sample volume of two ABGA syringes (GRS and POS)
| Q C material | Volume (mL) | pO2 | pCO2 | pH | |||||||||||||||||||||
|---|---|---|---|---|---|---|---|---|---|---|---|---|---|---|---|---|---|---|---|---|---|---|---|---|---|
| GRS | POS | GRS | POS | GRS | POS | ||||||||||||||||||||
| Mean (mmHg) | CV (%) | Change rate (%)‡ | Acceptance | Mean (mmHg) | CV (%) | Change rate (%)‡ | Acceptance | Mean (mmHg) | CV (%) | Change rate (%)‡ | Acceptance | Mean (mmHg) | CV (%) | Change rate (%)‡ | Acceptance | Mean (mmHg) | CV (%) | Change rate (%)‡ | Acceptance | Mean (mmHg) | CV (%) | Change rate (%)‡ | Acceptance | ||
| Level 1 | 1.0 | 75.4 | 0.10 | N/A | A | 89.0 | 0.14 | N/A | A | 75.4 | 0.03 | N/A | A | 74.6 | 0.03 | N/A | A | 7.100 | 0.00 | N/A | A | 7.103 | 0.00 | N/A | A |
| 0.6 | 94.6 | 0.07 | 25.5 | U | 96.1 | 0.07 | 7.9 | U | 73.9 | 0.02 | -1.9 | A | 74.9 | 0.18 | N/A | A | 7.105 | 0.00 | 0.07 | A | 7.106 | 0.00 | 0.04 | A | |
| 0.3 | 97.4 | 0.08 | 29.2 | U | 102.8 | 0.08 | 15.5 | U | 73.9 | 0.02 | -1.9 | A | 73.5 | 0.02 | N/A | A | 7.107 | 0.00 | 0.09 | A | 7.109 | 0.00 | 0.08 | A | |
| P* | <0.05 | N/A | N/A | N/A | <0.05 | N/A | N/A | N/A | <0.05 | N/A | N/A | N/A | 0.122 | N/A | N/A | N/A | <0.05 | N/A | N/A | N/A | <0.05 | N/A | N/A | N/A | |
| Post hoc† | 1.0, 0.6 mL < 0.3 mL | 1.0 mL < 0.6 mL < 0.3 mL | 1.0 mL > 0.6, 0.3 mL | N/A | 1.0 mL < 0.6, 0.3 mL | 1.0 mL < 0.3 mL§ | |||||||||||||||||||
| Level 2 | 1.0 | 106.1 | 0.05 | N/A | A | 120.7 | 0.09 | N/A | U | 41.5 | 0.02 | N/A | A | 41.1 | 0.03 | N/A | A | 7.427 | 0.00 | N/A | A | 7.432 | 0.00 | N/A | A |
| 0.6 | 120.6 | 0.04 | 13.7 | U | 123.7 | 0.04 | 2.5 | U | 41.8 | 0.02 | N/A | A | 41.2 | 0.03 | N/A | A | 7.429 | 0.00 | N/A | A | 7.434 | 0.00 | 0.02 | A | |
| 0.3 | 118.3 | 0.05 | 11.5 | A | 127.0 | 0.05 | 5.2 | U | 41.7 | 0.02 | N/A | A | 41.0 | 0.02 | N/A | A | 7.429 | 0.00 | N/A | A | 7.438 | 0.00 | 0.08 | A | |
| P* | <0.05 | N/A | N/A | N/A | <0.05 | N/A | N/A | N/A | 0.110 | N/A | N/A | N/A | 0.656 | N/A | N/A | N/A | 0.294 | N/A | N/A | N/A | <0.05 | N/A | N/A | N/A | |
| Post hoc† | 1.0 mL < 0.6, 0.3 mL | 1.0 mL < 0.6 mL < 0.3 mL | N/A | N/A | N/A | 1.0, 0.6 mL < 0.3 mL | |||||||||||||||||||
| Level 3 | 1.0 | 129.3 | 0.03 | N/A | U | 141.3 | 0.04 | N/A | A | 20.3 | 0.02 | N/A | A | 20.1 | 0.02 | N/A | A | 7.661 | 0.00 | N/A | A | 7.663 | 0.00 | N/A | A |
| 0.6 | 137.8 | 0.03 | 6.6 | A | 143.3 | 0.03 | 1.4 | A | 20.7 | 0.02 | 2.3 | A | 20.0 | 0.00 | -0.5 | A | 7.660 | 0.00 | N/A | A | 7.670 | 0.00 | 0.08 | A | |
| 0.3 | 132.8 | 0.04 | 2.7 | A | 144.8 | 0.03 | 2.5 | A | 20.4 | 0.02 | 0.6 | A | 20.0 | 0.00 | -0.5 | A | 7.660 | 0.00 | N/A | A | 7.670 | 0.00 | 0.08 | A | |
| P* | <0.05 | N/A | N/A | N/A | <0.05 | N/A | N/A | N/A | <0.05 | N/A | N/A | N/A | <0.05 | N/A | N/A | N/A | 0.797 | N/A | N/A | N/A | <0.05 | N/A | N/A | N/A | |
| Post hoc† | 1.0 mL < 0.3 mL < 0.6 mL | 1.0 mL < 0.3 mL§ | 1.0, 0.3 mL < 0.6 mL | 1.0 mL > 0.6, 0.3 mL | N/A | 1.0 mL < 0.6, 0.3 mL | |||||||||||||||||||
Table 4
Mean, SD, and t(P) of pO2, pCO2, and pH according to the hemolysis of the two syringes (GRS and POS)



PDF
Citation
Print



XML Download